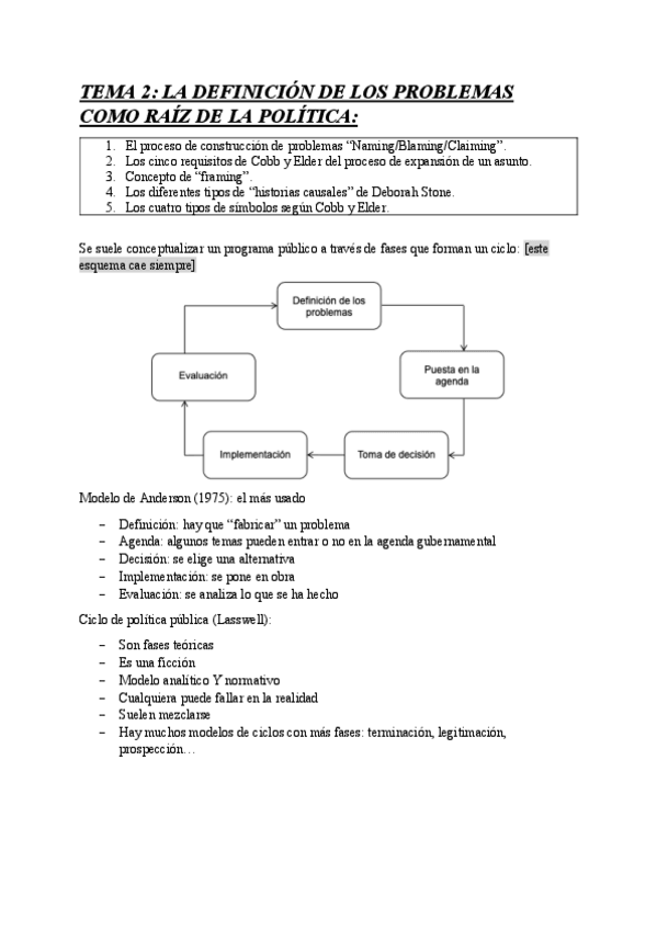
Analisis y Evaluacion de las Politicas Publicas
Estoy flipando con los tests de proxus.es para estudiar Derecho. Te genera exámenes reales y te ayuda a repasar las falladas. Recomendado 100%.
He empezado a usar proxus.es para Derecho y wow, los tests con IA son perfectos para simulacros de examen realistas. Solo hay que subir los apuntes o exámenes pasados.
He empezado a usar proxus.es para Derecho y wow, los tests con IA son perfectos para simulacros de examen realistas. Solo hay que subir los apuntes o exámenes pasados.
He publicado nuevos apuntes de 3º Analisis y Evaluacion de las Politicas Publicas: Temas-11-a-13-guia-estudio.pdf
apuntes
-
Análisis y evaluación de Políticas Públicas
He publicado nuevos apuntes de 3º Analisis y Evaluacion de las Politicas Publicas: Análisis y evaluación de Políticas Públicas
apuntes
-
Análisis y Evaluación de las Políticas Públicas
He publicado nuevos apuntes de 3º Analisis y Evaluacion de las Politicas Publicas: Análisis y Evaluación de las Políticas Públicas
apuntes
-
Apuntes jean batiste
He publicado nuevos apuntes de 3º Analisis y Evaluacion de las Politicas Publicas: Apuntes jean batiste
He publicado nuevos apuntes de 3º Analisis y Evaluacion de las Politicas Publicas: Apuntes-Analisis-de-Politicas-Publicas.pdf
He publicado nuevos apuntes de 3º Analisis y Evaluacion de las Politicas Publicas: Guia-de-estudio-AEPP-2020-2021.pdf
apuntes
-
Sesión 11 a 15
He publicado nuevos apuntes de 3º Analisis y Evaluacion de las Politicas Publicas: Sesión 11 a 15
apuntes
-
Sesión 1 a 10
He publicado nuevos apuntes de 3º Analisis y Evaluacion de las Politicas Publicas: Sesión 1 a 10
apuntes
-
analisis
He publicado nuevos apuntes de 3º Analisis y Evaluacion de las Politicas Publicas: analisis
apuntes
-
Apuntes Análisis y evaluación de políticas públicas Jean Baptiste Harguindenguy
He publicado nuevos apuntes de 3º Analisis y Evaluacion de las Politicas Publicas: Apuntes Análisis y evaluación de políticas públicas Jean Baptiste Harguindenguy
¡Estás al día!
Has visto todos los archivos

