chevron_left
chevron_right
Todo
Apuntes
Exámenes
Prácticas
chevron_left
chevron_right

He publicado nuevos apuntes de 1º Anatomia Animal I: TEJIDO-EPITELIAL.pdf

11 páginas

He publicado nuevos apuntes de 1º Anatomia Animal I: PERIODE-GERMINAL.pdf

18 páginas

He publicado nuevos apuntes de 1º Anatomia Animal I: TOPOGRAFIA.pdf

4 páginas

He publicado nuevos apuntes de 1º Anatomia Animal I: EMBRIOLOGIA.pdf

6 páginas

He publicado nuevos apuntes de 1º Anatomia Animal I: EMBIOLOGIA-3.pdf

6 páginas

He publicado nuevos apuntes de 1º Anatomia Animal I: EMBRIOLOGIA-2.pdf

19 páginas

He publicado nuevos apuntes de 1º Anatomia Animal I: EL-TEJIDO-CONJUNTIVO.pdf

14 páginas

He publicado nuevos apuntes de 1º Anatomia Animal I: EL-TEJIDO-NERVIOSO.pdf

9 páginas

He publicado nuevos apuntes de 1º Anatomia Animal I: EL-TEJIDO-MUSCULAR.pdf

7 páginas

He publicado nuevos apuntes de 1º Anatomia Animal I: CHARLA-ANATOMIA.pdf

2 páginas

He publicado nuevos apuntes de 1º Anatomia Animal I: APARATOS-Y-SISTEMAS.pdf

26 páginas
Anónimo

@Anónimo

examenes

-

EXAMENS ANATO-EMBRIO

He publicado nuevos examenes de 1º Anatomia Animal I: EXAMENS ANATO-EMBRIO

EXAM-FINAL-ANATO-EMBRIO.pdf
examen-anato-2-parcial-2020.pdf
examen-embrio-general-con-respuestas.pdf
examen-embrio-general-sin-respuestass.pdf
ExamenEmbriologaAnatomaI.pdf
examenfinal-2014.pdf

He publicado nuevos apuntes de 1º Anatomia Animal I: LACTACION.pdf

12 páginas

He publicado nuevos practicas de 1º Anatomia Animal I: Anatomia-Animal-IOstelogia.pdf

15 páginas

He publicado nuevos apuntes de 1º Anatomia Animal I: Anatomia-animal-IHistologia.pdf

23 páginas
Anónimo

@Anónimo

He publicado nuevos apuntes de 1º Anatomia Animal I: 1.pdf

19 páginas
Anónimo

@Anónimo

apuntes

-

Embriologia

He publicado nuevos apuntes de 1º Anatomia Animal I: Embriologia

6.pdf
2-CELS.pdf
5.pdf
1-INTRODUCCIO-EMBRIOLOGIA.pdf
4.pdf
Anónimo

@Anónimo

apuntes

-

HISTO CARDIO, EPITELIAL Y OSTEOLOGIA

He publicado nuevos apuntes de 1º Anatomia Animal I: HISTO CARDIO, EPITELIAL Y OSTEOLOGIA

apuntes-cardiovascular.pdf
Epitelial.pdf
FICHA-OSTEOLOGIA-ESCAPULAS-COSTILLAS-Y-ESTERNON.pdf

apuntes

-

anato 1 els meus apunts

He publicado nuevos apuntes de 1º Anatomia Animal I: anato 1 els meus apunts

Anatomia-I-HISTOLOGIA.docx
Tejido-nervioso-RESUM-BO.docx
Tejido-epitelial-e-introduccion-RESUM-BO.docx
EMBRIOLOGIA-bo.pdf
Tejido-conjuntivo-RESUM-BO.docx
Tejido-muscular-RESUM-BO.docx

apuntes

-

Embriologia (català) (docx i pdf)

He publicado nuevos apuntes de 1º Anatomia Animal I: Embriologia (català) (docx i pdf)

Anomalies-de-la-gestacio.pdf
Embriologia-part-2-i-desenvolupament.pdf
Embriologia-examen-final.docx
Anomalies-de-la-gestacio.docx
Embriologia-daparells-i-sistemes.docx
Embriologia-daparells-i-sistemes.pdf
Anónimo

@Anónimo

apuntes

-

EMBRIO

He publicado nuevos apuntes de 1º Anatomia Animal I: EMBRIO

embrio-aparato-y-sistemas.odt
PERIODO-GERMINAL.odt
OVULACION-FEC.odt

apuntes

-

EMBRIOLOGIA

He publicado nuevos apuntes de 1º Anatomia Animal I: EMBRIOLOGIA

INTRODUCCION-Y-ESPERMATOZOIDE.pdf
EL-OVOCITO.pdf
OVULACION--FECUNDACION--PERIODO-GERMINAL.pdf
embriologia-periodo-germinal.pdf
EMBRIO-periodo-germinal-fetal-aparatos-y-sistemas.pdf
Anónimo

@Anónimo

He publicado nuevos apuntes de 1º Anatomia Animal I: P7-HUESO-TARSO-Y-METATARSIANOS-OSTEO.pdf

15 páginas

ERROR: LAS HIENAS TIENEN PLACENTA HEMOCORIAL, NO ENDOTELIOCORIAL, LO SIENTO

14 páginas
Anónimo

@Anónimo

He publicado nuevos apuntes de 1º Anatomia Animal I: topografia2-copia.pdf

24 páginas

apuntes

-

Osteologia (pdf y docx)

En el fémur hay un fallo, la parte proximal es caudal y la distal es craneal, tengo que arreglarlo y volverlo a subir.

Femur.docx
Femur.pdf
Coxal.pdf
Coxal.docx
Tibia-y-perone.pdf
Tibia-y-perone.docx
Anónimo

@Anónimo

He publicado nuevos apuntes de 1º Anatomia Animal I: TIBIA-y-PERONE-practica-6.pdf

8 páginas
Anónimo

@Anónimo

He publicado nuevos apuntes de 1º Anatomia Animal I: EMBRIOLOGIAIRINA021220.pdf

6 páginas
Anónimo

@Anónimo

He publicado nuevos apuntes de 1º Anatomia Animal I: Practica-5.pdf

8 páginas
Anónimo

@Anónimo

He publicado nuevos apuntes de 1º Anatomia Animal I: COXAL-I-PELVIS-PER-IMPRIMIR.pdf

7 páginas
Anónimo

@Anónimo

He publicado nuevos apuntes de 1º Anatomia Animal I: TESTSISTEMAMUSCULARBEA.pdf

4 páginas
Anónimo

@Anónimo

He publicado nuevos apuntes de 1º Anatomia Animal I: TESTSISTEMANERVIOSBEA.pdf

5 páginas
Anónimo

@Anónimo

He publicado nuevos apuntes de 1º Anatomia Animal I: FEMUR.pdf

7 páginas
Anónimo

@Anónimo

He publicado nuevos apuntes de 1º Anatomia Animal I: HUESOS-DE-LA-PELVIS.pdf

1 página
Anónimo

@Anónimo

He publicado nuevos apuntes de 1º Anatomia Animal I: Tej-nervioso.pdf

22 páginas

apuntes

-

Embriologia

He publicado nuevos apuntes de 1º Anatomia Animal I: Embriologia

PERIODE-GERMINAL.pdf
APARELLS-I-SISTEMES.pdf
EL-ESPERMATOZOIDE.pdf
INTRODUCCIO-A-LA-ANATOMIA-ANIMAL.pdf
EMBRIOLOGIA.pdf
Procesos-y-mecanismos-que-intervienen-en-el-desarrollo.pdf

He publicado nuevos apuntes de 1º Anatomia Animal I: Practica-5.pdf

12 páginas

He publicado nuevos apuntes de 1º Anatomia Animal I: Humero-imagenes-osteologia.pdf

7 páginas

He publicado nuevos apuntes de 1º Anatomia Animal I: GREFACSA.pdf

13 páginas

He publicado nuevos apuntes de 1º Anatomia Animal I: FEMUR-Tibia-perone-tarso-1.pdf

23 páginas

He publicado nuevos apuntes de 1º Anatomia Animal I: ESCAPULA-y-HUMERO.pdf

5 páginas

He publicado nuevos apuntes de 1º Anatomia Animal I: Escapula-imagenes-osteologia.pdf

7 páginas

He publicado nuevos apuntes de 1º Anatomia Animal I: CUBITO-Y-RADIO.pdf

20 páginas

He publicado nuevos apuntes de 1º Anatomia Animal I: COSTILLAS-Pelvis-y-hueso-coxal-practica-osteologia.pdf

12 páginas

He publicado nuevos apuntes de 1º Anatomia Animal I: Columna-vertebral-y-esqueleto-toracico.pdf

21 páginas

He publicado nuevos apuntes de 1º Anatomia Animal I: Aparatos-y-sistemas.pdf

27 páginas

apuntes

-

3r parcial Fisiologia

He publicado nuevos apuntes de 1º Anatomia Animal I: 3r parcial Fisiologia

Endocrinologia Veterinària.pdf
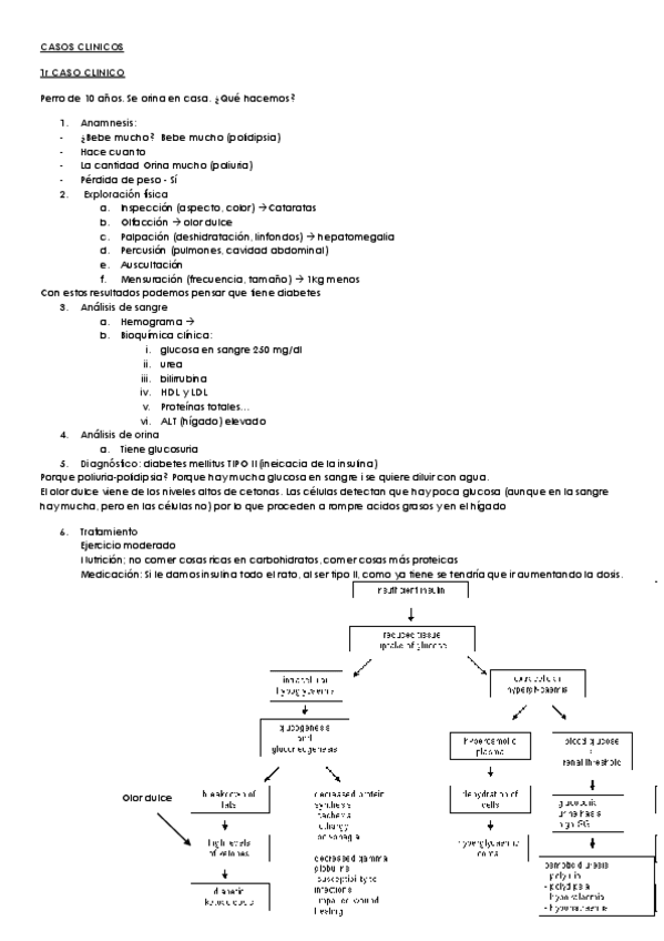
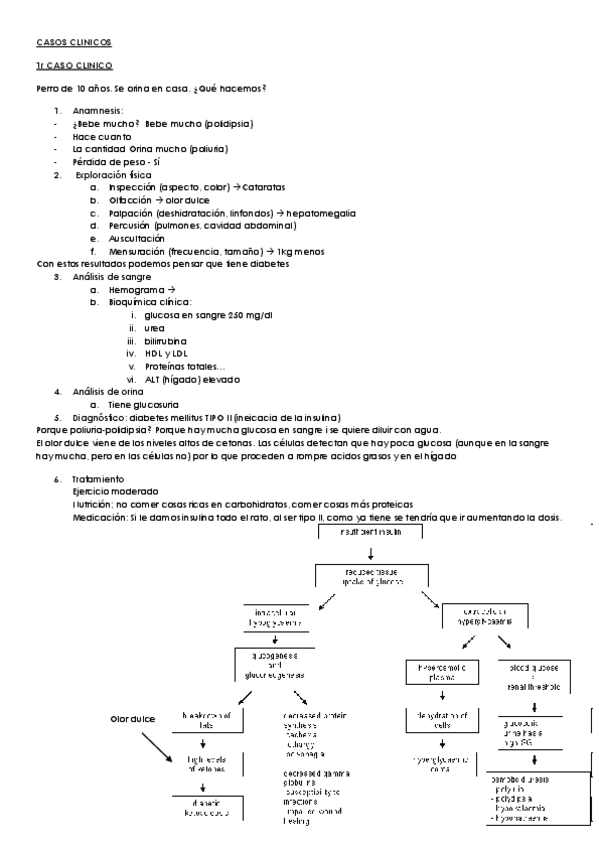
Casos clínicos endocrinología.pdf
GLANDULAS ENDOCRINAS.docx
SISTEMA TEGUMENTARIO.docx

apuntes

-

ANATOMÍA ANIMAL I - EMBRIOLOGÍA

He publicado nuevos apuntes de 1º Anatomia Animal I: ANATOMÍA ANIMAL I - EMBRIOLOGÍA

TEMA 4- PERIODO GERMINAL.docx
TEMA 3- introducción a la embriología.docx
TEMA 5- MECANISMOS.docx
TEMA 1- introducción a la anatomía animal..docx
TEMA 6- ANOMALÍAS DE GESTACIÓN..pdf
TEMA 7- EMBRIO APARATO LOCOMOTOR..pdf

Castellano (alguna que otra cosa en catalan)

33 páginas

(falta algo pero hay gran parte de los huesos)

word

He publicado nuevos apuntes de 1º Anatomia Animal I: EMBRIOLOGÍA bo.pdf

25 páginas

apuntes

-

ANATOMIA I

He publicado nuevos apuntes de 1º Anatomia Animal I: ANATOMIA I

Tejido nervioso RESUM BO.docx
Tejido muscular RESUM BO.docx
Tejido epitelial e introducción RESUM BO.docx
Tejido conjuntivo RESUM BO.docx

Apuntes en castellano

29 páginas

He publicado nuevos practicas de 1º Anatomia Animal I: escàpula.pdf

3 páginas
¡Estás al día!

¡Estás al día!

Has visto todos los archivos