ANIMACIÓN

chevron_left
chevron_right
Todo
Apuntes
Ejercicios
Exámenes
Otros
chevron_left
chevron_right

apuntes

-

Lecturas - libros

He publicado nuevos apuntes de 3º ANIMACIÓN: Lecturas - libros

lecturesANI.pdf
Rick-Parent-Computer-animation-algorithms-and-techniques-Elsevier--Morgan-Kaufmann-2012.pdf
The-art-of-3-D-computer-animation-and-effects-Isaac-Victor-Kerlow-4th-ed-Hoboken-NJ-New-Jersey-2009-John-Wiley-and-Sons-Incorporated-9780470084908-4e6a30b0445b66cd18221b6cd4a41832-Annas-Archive-1.pdf

apuntes

-

APUNTES

He publicado nuevos apuntes de 3º ANIMACIÓN: APUNTES

Tema-1-Introduccion.pdf
Tema-2-Interpolacion.pdf
Tema-3-Cuaterniones.pdf
Tema-4-Reparametrizacion.pdf
Tema-5-Rigging.pdf

He publicado nuevos examenes de 3º ANIMACIÓN: Cuestiones-2024-2025.pdf

4 páginas

apuntes

-

APUNTES CÓDIGO

He publicado nuevos apuntes de 3º ANIMACIÓN: APUNTES CÓDIGO

Python.pdf
Blender.pdf

He publicado nuevos apuntes de 3º ANIMACIÓN: Examenes-resueltos.pdf

13 páginas

He publicado nuevos otros de 2º ANIMACIÓN: Animacion-2024-UOC-Plan-Docente.pdf

10 páginas

He publicado nuevos otros de 2º ANIMACIÓN: Animacion-2024-Bienvenida.pdf

2 páginas

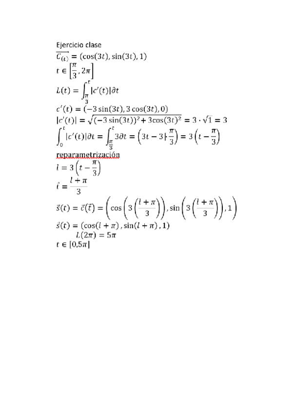
He publicado nuevos ejercicios de 3º ANIMACIÓN: EjercicioCinematicInversa.png

Imagen

He publicado nuevos apuntes de 3º ANIMACIÓN: Preguntas-Foro-23/24-resueltas.pdf

5 páginas

He publicado nuevos examenes de 3º ANIMACIÓN: examen17.pdf

3 páginas

He publicado nuevos examenes de 3º ANIMACIÓN: examen16.pdf

3 páginas

He publicado nuevos examenes de 3º ANIMACIÓN: examen18.pdf

3 páginas

He publicado nuevos examenes de 3º ANIMACIÓN: Examen-inicial-de-nivel.pdf

2 páginas

He publicado nuevos apuntes de 3º ANIMACIÓN: ApuntsInterpolacio.pdf

7 páginas

He publicado nuevos apuntes de 3º ANIMACIÓN: ResumIntroduccioAnimacio.pdf

4 páginas

examenes

-

preguntesAnimacioExamen

He publicado nuevos examenes de 3º ANIMACIÓN: preguntesAnimacioExamen

preguntesAnimacioExamen.pdf

He publicado nuevos apuntes de 3º ANIMACIÓN: Ejercicioaparteclasecorregido.pdf

1 página
Anónimo

@Anónimo

He publicado nuevos apuntes de 3º ANIMACIÓN: EJERCICIOS-TEMA-5-RESUELTOS.pdf

5 páginas
Anónimo

@Anónimo

He publicado nuevos apuntes de 3º ANIMACIÓN: QUATERNIONESSOLUCION.pdf

5 páginas
Anónimo

@Anónimo

apuntes

-

preproducion y storyboard

He publicado nuevos apuntes de 7º ANIMACIÓN: preproducion y storyboard

introduccion-a-preproducion-y-storyboard.pdf

apuntes

-

Resúmenes

He publicado nuevos apuntes de 3º ANIMACIÓN: Resúmenes

PREGUNTAS-ANIMACION-TERCER-PARCIAL.pdf
preguntas-examentotal.pdf
ANI-examen-1.pdf
Formulas.pdf
Preguntas-Examen-FORO.pdf
preguntasparte2.pdf

He publicado nuevos apuntes de 3º ANIMACIÓN: ANIMACION-BASADA-EN-INTERPOLACION.pdf

4 páginas

examenes

-

Exámenes ANI

He publicado nuevos examenes de 3º ANIMACIÓN: Exámenes ANI

examen16-07.pdf
WhatsApp-Image-2019-10-18-at-18.jpg
examen13-07.pdf
examen1707.pdf
examen13-02.pdf
examen14-02.pdf

examenes

-

Parciales Animación

He publicado nuevos examenes de 3º ANIMACIÓN: Parciales Animación

a01a388a-0cab-4115-b8c6-b807306740f0.jpg
Examen-Parcial-2.jpg
1ac38cde-fa8a-4f77-a470-669365384081.jpg
Examen-Parcial-1.jpg
a69c9d46-286e-4e65-84df-66a4e522c9a3.jpg
examen13-02.pdf

He publicado nuevos apuntes de 2º ANIMACIÓN: ANIMACIÓN.pdf

9 páginas
¡Estás al día!

¡Estás al día!

Has visto todos los archivos