APARATO RESPIRATORIO Y SISTEMA NERVIOSO

Todo
Apuntes
Ejercicios
Exámenes
publication
Test
chevron_left
chevron_right
Anónimo

@Anónimo

apuntes

-

TEMAS SUELTOS NEURO 2025

He publicado nuevos apuntes de 4º APARATO RESPIRATORIO Y SISTEMA NERVIOSO: TEMAS SUELTOS NEURO 2025

PATOLOGIA-PARES-CRANEALES-2025.pdf
TRASTORNOS-DINAMICA-LCR-2025.pdf
TRASTORNOS-DEL-SUENO-Y-COMA-2025.pdf
Anónimo

@Anónimo

apuntes

-

TEMAS RESPIRATORIO 2025

He publicado nuevos apuntes de 4º APARATO RESPIRATORIO Y SISTEMA NERVIOSO: TEMAS RESPIRATORIO 2025

AOS-2025.pdf
BRONQUIECTASIAS-Y-FQ-2025.pdf
CIRUGIA-CA-PULMON-2025.pdf
ENF-NEUROMUSCULARES-2025.pdf
EOSINOFILIAS-PULMONARES-2025.pdf
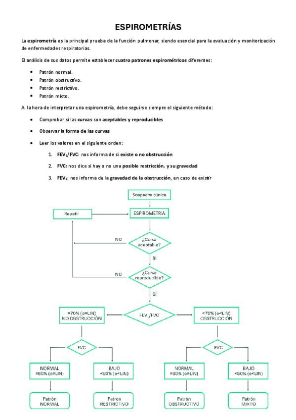
ESPIROMETRIAS-2025.pdf
Anónimo

@Anónimo

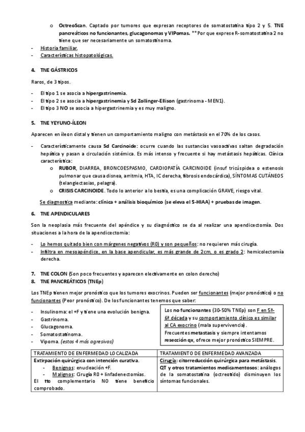
He publicado nuevos apuntes de 4º APARATO RESPIRATORIO Y SISTEMA NERVIOSO: TUMORES-NEUROENDOCRINOS-SEMINARIO.pdf

3 páginas
Anónimo

@Anónimo

apuntes

-

TEMAS SUELTOS CARDIO 2025

He publicado nuevos apuntes de 4º APARATO RESPIRATORIO Y SISTEMA NERVIOSO: TEMAS SUELTOS CARDIO 2025

T13-CARDIOPATIA-ISQUEMICA-ESTABLE.pdf
T14-Y-T15.-SCA-e-IAM.pdf
t26-ISQUEMIA-EEII.pdf
TABLA-ATEROSCLEROSIS.pdf

He publicado nuevos examenes de 4º APARATO RESPIRATORIO Y SISTEMA NERVIOSO: RECOPILACION-DE-EXAMENES-DE-CArDIO-ORDENADO-POR-TEMAS-respuestas-1.pdf

22 páginas

He publicado nuevos examenes de 4º APARATO RESPIRATORIO Y SISTEMA NERVIOSO: RECOPILACION-DE-EXAMENES-DE-CArDIO-ORDENADO-POR-TEMAS-respuestas-2.pdf

23 páginas

He publicado nuevos examenes de 4º APARATO RESPIRATORIO Y SISTEMA NERVIOSO: RECOPILACION-DE-EXAMENES-DE-CArDIO-ORDENADO-POR-TEMAS-sin-respuestas-2.pdf

22 páginas

He publicado nuevos examenes de 4º APARATO RESPIRATORIO Y SISTEMA NERVIOSO: RECOPILACION-DE-EXAMENES-DE-CArDIO-ORDENADO-POR-TEMAS-sin-respuestas-1.pdf

22 páginas

EXAMEN ENDOCRINO ENERO 2025, CON RESPUESTAS. SUBIDO AQUI AL NO HABER CARPETA ESPECIFICA

11 páginas

EXAMEN ENDOCRINO ENERO 2025, SIN RESPUESTAS. EL DOCUMENTO CON RESPUESTAS SE ENCUENTRA TAMBÉN SUBIDO A WUOLAH. LO SUBO EN ESTA CARPETA PQ NO HAY DE ENDOCRINO

11 páginas
Anónimo

@Anónimo

test

-

PREGUNTAS MIR NEUROLOGÍA

PREGUNTAS DEL MIR DE NEUROLOGÍA Y NEUROCIRUGÍA DE LOS ÚLTIMOS 10 AÑOS. MUY ÚTILES PARA CONSOLIDAR CONCEPTOS Y REFORZAR EL ESTUDIO.

Tema-1.-Semiologia.pdf
Tema-2.-Enfermedad-cerebrovascular.pdf
Tema-3.-Neurocirugia.pdf
Tema-4.-Trastornos-del-movimiento.pdf
Tema-5.-Enfermedades-autoinmunes-del-sistema-nervioso-central.pdf
Tema-6.-Enfermedades-de-la-placa-motora.pdf
Anónimo

@Anónimo

test

-

PREGUNTAS MIR NEUMOLOGÍA

PREGUNTAS DEL MIR DE NEUMOLOGÍA DE LOS ÚLTIMOS 10 AÑOS. MATERIAL MUY ÚTIL PARA REFORZAR Y COMPLEMENTAR EL ESTUDIO.

Tema-1.-Fisiologia-y-fisiopatologia.pdf
Tema-2.-Neoplasias-pulmonares.pdf
Tema-3.-Enfermedades-de-la-pleura.pdf
Tema-4.-Enfermedad-pulmonar-obstructiva-cronica-EPOC.pdf
Tema-5.-Asma.pdf
Tema-6.-Tromboembolismo-pulmonar.pdf
Anónimo

@Anónimo

He publicado nuevos examenes de 4º APARATO RESPIRATORIO Y SISTEMA NERVIOSO: Neuro-2020.pdf

5 páginas
Anónimo

@Anónimo

He publicado nuevos examenes de 4º APARATO RESPIRATORIO Y SISTEMA NERVIOSO: Examen-enero-2021-neuro.pdf

19 páginas
Anónimo

@Anónimo

He publicado nuevos apuntes de 4º APARATO RESPIRATORIO Y SISTEMA NERVIOSO: Clase-NAC-2019-2020.pdf

155 páginas
Anónimo

@Anónimo

He publicado nuevos apuntes de 4º APARATO RESPIRATORIO Y SISTEMA NERVIOSO: 2019-sin-videos.pdf

54 páginas
Anónimo

@Anónimo

examenes

-

EXAMEN NEUMOLOGÍA FEB 2020

EXAMEN NEUMOLOGÍA 2021

1.pdf
2.pdf
3.pdf
4.pdf
5.pdf
6.pdf
Anónimo

@Anónimo

He publicado nuevos examenes de 4º APARATO RESPIRATORIO Y SISTEMA NERVIOSO: 15.pdf

1 página
Anónimo

@Anónimo

He publicado nuevos examenes de 4º APARATO RESPIRATORIO Y SISTEMA NERVIOSO: 14.pdf

1 página
Anónimo

@Anónimo

He publicado nuevos examenes de 4º APARATO RESPIRATORIO Y SISTEMA NERVIOSO: 13.pdf

1 página
Anónimo

@Anónimo

He publicado nuevos examenes de 4º APARATO RESPIRATORIO Y SISTEMA NERVIOSO: 11.pdf

1 página
Anónimo

@Anónimo

He publicado nuevos examenes de 4º APARATO RESPIRATORIO Y SISTEMA NERVIOSO: 12.pdf

1 página
Anónimo

@Anónimo

He publicado nuevos examenes de 4º APARATO RESPIRATORIO Y SISTEMA NERVIOSO: 10.pdf

1 página
Anónimo

@Anónimo

He publicado nuevos examenes de 4º APARATO RESPIRATORIO Y SISTEMA NERVIOSO: 9.pdf

1 página
Anónimo

@Anónimo

He publicado nuevos examenes de 4º APARATO RESPIRATORIO Y SISTEMA NERVIOSO: 8.pdf

1 página
Anónimo

@Anónimo

He publicado nuevos examenes de 4º APARATO RESPIRATORIO Y SISTEMA NERVIOSO: 7.pdf

1 página
Anónimo

@Anónimo

He publicado nuevos examenes de 4º APARATO RESPIRATORIO Y SISTEMA NERVIOSO: 6.pdf

1 página
Anónimo

@Anónimo

He publicado nuevos examenes de 4º APARATO RESPIRATORIO Y SISTEMA NERVIOSO: 5.pdf

1 página
Anónimo

@Anónimo

He publicado nuevos examenes de 4º APARATO RESPIRATORIO Y SISTEMA NERVIOSO: 4.pdf

1 página
Anónimo

@Anónimo

He publicado nuevos examenes de 4º APARATO RESPIRATORIO Y SISTEMA NERVIOSO: 2.pdf

1 página
Anónimo

@Anónimo

He publicado nuevos examenes de 4º APARATO RESPIRATORIO Y SISTEMA NERVIOSO: 3.pdf

1 página
Anónimo

@Anónimo

He publicado nuevos examenes de 4º APARATO RESPIRATORIO Y SISTEMA NERVIOSO: 1.pdf

1 página

He publicado nuevos examenes de 4º APARATO RESPIRATORIO Y SISTEMA NERVIOSO: EXAMEN-RESPIRATORIO-ORDENADOS-POR-TEMAS-3-.pdf

29 páginas

He publicado nuevos examenes de 4º APARATO RESPIRATORIO Y SISTEMA NERVIOSO: EXAMEN-RESPIRATORIO-ORDENADOS-POR-TEMAS-2-.pdf

27 páginas

He publicado nuevos examenes de 4º APARATO RESPIRATORIO Y SISTEMA NERVIOSO: EXAMEN-RESPIRATORIO-ORDENADOS-POR-TEMAS-1-.pdf

24 páginas
Anónimo

@Anónimo

He publicado nuevos apuntes de 4º APARATO RESPIRATORIO Y SISTEMA NERVIOSO: POST-IT-NEUROLOGIA-MIR.pdf

16 páginas
Anónimo

@Anónimo

He publicado nuevos apuntes de 4º APARATO RESPIRATORIO Y SISTEMA NERVIOSO: POST-IT-NEUMOLOGIA-MIR.pdf

18 páginas
Anónimo

@Anónimo

He publicado nuevos apuntes de 4º APARATO RESPIRATORIO Y SISTEMA NERVIOSO: APUNTES-NEUROLOGIA-MIR.pdf

62 páginas
Anónimo

@Anónimo

He publicado nuevos apuntes de 4º APARATO RESPIRATORIO Y SISTEMA NERVIOSO: APUNTES-NEUMOLOGIA-2-MIR.pdf

24 páginas
Anónimo

@Anónimo

He publicado nuevos apuntes de 4º APARATO RESPIRATORIO Y SISTEMA NERVIOSO: APUNTES-NEUMOLOGIA-1-MIR.pdf

36 páginas

He publicado nuevos examenes de 4º APARATO RESPIRATORIO Y SISTEMA NERVIOSO: Recopilatorio-De-Examenes-De-Endocrino-No-Corregido.pdf

35 páginas

He publicado nuevos examenes de 4º APARATO RESPIRATORIO Y SISTEMA NERVIOSO: Recopilatorio-De-Examenes-De-Endocrino-Corregido.pdf

34 páginas

He publicado nuevos examenes de 4º APARATO RESPIRATORIO Y SISTEMA NERVIOSO: Recopilatorio-De-Examenes-De-Cardiologia-Corregido.pdf

44 páginas

He publicado nuevos examenes de 4º APARATO RESPIRATORIO Y SISTEMA NERVIOSO: Recopilatorio-De-Examenes-De-Cardiologia-No-Corregido.pdf

44 páginas

He publicado nuevos examenes de 4º APARATO RESPIRATORIO Y SISTEMA NERVIOSO: Recopilatorio-Examenes-de-Neuro-Corregido-1.pdf

47 páginas

He publicado nuevos examenes de 4º APARATO RESPIRATORIO Y SISTEMA NERVIOSO: Recopilatorio-Examenes-Respi-Corregido.pdf

88 páginas

He publicado nuevos examenes de 4º APARATO RESPIRATORIO Y SISTEMA NERVIOSO: Recopilatorio-De-Examenes-Neuro-No-Corregido-2.pdf

60 páginas

He publicado nuevos examenes de 4º APARATO RESPIRATORIO Y SISTEMA NERVIOSO: Recopilatorio-De-Examenes-Respi-No-Corregido.pdf

86 páginas

He publicado nuevos examenes de 4º APARATO RESPIRATORIO Y SISTEMA NERVIOSO: Recopilatorio-De-Examenes-De-Neuro-No-Corregido-1.pdf

48 páginas

He publicado nuevos examenes de 4º APARATO RESPIRATORIO Y SISTEMA NERVIOSO: Recopilatorio-De-Examenes-De-Neuro-Corregido-2.pdf

60 páginas

He publicado nuevos examenes de 4º APARATO RESPIRATORIO Y SISTEMA NERVIOSO: Preguntas-Quizz-neuro.pdf

7 páginas

He publicado nuevos examenes de 4º APARATO RESPIRATORIO Y SISTEMA NERVIOSO: RECOPILATORIO-DE-PREGUNTAS-DE-NEUROLOGIA-Y-NEUROCIRUGIA-27-53.pdf

27 páginas

He publicado nuevos examenes de 4º APARATO RESPIRATORIO Y SISTEMA NERVIOSO: RECOPILATORIO-DE-PREGUNTAS-DE-NEUROLOGIA-Y-NEUROCIRUGIA-1-26.pdf

26 páginas

He publicado nuevos apuntes de 4º APARATO RESPIRATORIO Y SISTEMA NERVIOSO: TIPOS-DE-CEFALEA.pdf

1 página

He publicado nuevos apuntes de 4º APARATO RESPIRATORIO Y SISTEMA NERVIOSO: Trastornos-del-sueno-y-Coma.pdf

9 páginas

Apuntes de Cardiología: pericardio

7 páginas

temas que no coinciden con apuntes

25 páginas

apuntes

-

Esquemas Endocrino

He publicado nuevos apuntes de 4º APARATO RESPIRATORIO Y SISTEMA NERVIOSO: Esquemas Endocrino

1.1-Diabetes-mellitus-I.jpg
4.1-Hiperprolactinemia.jpg
4.2-Exceso-de-GH.jpg
4.3-Deficit-de-GH.jpg
4.4-Alteracion-en-gonadotropinas-LH-FSH.jpg
5.1-Tiroides-I.jpg

apuntes

-

Esquemas Cardio

He publicado nuevos apuntes de 4º APARATO RESPIRATORIO Y SISTEMA NERVIOSO: Esquemas Cardio

1.1-Intro-a-la-IC.jpg
1.2-IC-Aguda.jpg
2.1-IC-cronica.jpg
2.2-Tratamiento-IC-cronica.jpg
3.1-Arritmias-cardiacas.jpg
3.2-Arritmias-cardiacas-II.jpg

apuntes

-

Esquemas Neuro

He publicado nuevos apuntes de 4º APARATO RESPIRATORIO Y SISTEMA NERVIOSO: Esquemas Neuro

1.-Dx-en-Neurologia-I.jpg
2.1-Vias-nerviosas.jpg
2.2-Clinica-prosencefalica-I.jpg
2.3-Clinica-prosencefalica-II.jpg
3.-Dx-en-Neurologia-II.jpg
4.1-Neurofisio.-EEG.jpg