Aprendizaje, Control y Desarrollo Motor en la Actividad Física y el Deporte

chevron_left
chevron_right
Todo
Apuntes
Exámenes
Otros
Trabajos
chevron_left
chevron_right

He publicado nuevos apuntes de 2º Aprendizaje, Control y Desarrollo Motor en la Actividad Física y el Deporte: Trabajo-individual.pdf

28 páginas

He publicado nuevos apuntes de 2º Aprendizaje, Control y Desarrollo Motor en la Actividad Física y el Deporte: Teoria.pdf

53 páginas

He publicado nuevos trabajos de 2º Aprendizaje, Control y Desarrollo Motor en la Actividad Física y el Deporte: MelendezRobertoTI-4.pdf

25 páginas

He publicado nuevos apuntes de 2º Aprendizaje, Control y Desarrollo Motor en la Actividad Física y el Deporte: Diario-de-practicas-ACD.pdf

22 páginas

apuntes

-

Temas Aprendizaje, control y desarrollo motor en la actividad física y el deporte

He publicado nuevos apuntes de 2º Aprendizaje, Control y Desarrollo Motor en la Actividad Física y el Deporte: Temas Aprendizaje, control y desarrollo motor en la actividad física y el deporte

TEMA-1-COMPORTAMIENTO-MOTOR.pdf
TEMA-2-PRINCIPIOS-DEL-COMPORTAMIENTO-MOTOR.pdf
TEMA-3-CONTROL-MOTOR-CONCEPTOS-MECANISMOS-Y-MODELOS.pdf
TEMA-4-APRENDIZAJE-MOTOR.pdf
TEMA-5-DESARROLLO-MOTOR.pdf

apuntes

-

Apuntes Acd Ignacio

He publicado nuevos apuntes de 2º Aprendizaje, Control y Desarrollo Motor en la Actividad Física y el Deporte: Apuntes Acd Ignacio

Tema-1.pdf
Tema-2-1.pdf
Tema-2.2.pdf
Tema-3.pdf
Tema-3.2.pdf
Tema-3.3.pdf

He publicado nuevos trabajos de 2º Aprendizaje, Control y Desarrollo Motor en la Actividad Física y el Deporte: Trabajo-individual-gesto-tecnico.pdf

pdf

He publicado nuevos trabajos de 2º Aprendizaje, Control y Desarrollo Motor en la Actividad Física y el Deporte: Trabajo-invididual-diario-de-practicas.pdf

pdf

He publicado nuevos apuntes de 2º Aprendizaje, Control y Desarrollo Motor en la Actividad Física y el Deporte: Trabajo-individual.pdf

9 páginas

apuntes

-

Completo ACD

He publicado nuevos apuntes de 2º Aprendizaje, Control y Desarrollo Motor en la Actividad Física y el Deporte: Completo ACD

Tema-1-ACD.pdf
Tema-2-ACD.pdf
Tema-3-ACD.pdf
Tema-4-ACD.pdf

He publicado nuevos apuntes de 2º Aprendizaje, Control y Desarrollo Motor en la Actividad Física y el Deporte: CaroValverde1de9.pdf

25 páginas

He publicado nuevos apuntes de 2º Aprendizaje, Control y Desarrollo Motor en la Actividad Física y el Deporte: APUNTES-ACD.pdf

85 páginas

apuntes

-

ANALISIS Y SISTEMÁTICA DEL MOVIMIENTO

He publicado nuevos apuntes de 2º Aprendizaje, Control y Desarrollo Motor en la Actividad Física y el Deporte: ANALISIS Y SISTEMÁTICA DEL MOVIMIENTO

Tema-7.docx
Tema-7.docx
tema-5.pdf
Tema-8.docx
tema-3.pdf
tema-2.pdf

apuntes

-

Aprendizaje y Desarrollo (Desarrollo)

He publicado nuevos apuntes de 2º Aprendizaje, Control y Desarrollo Motor en la Actividad Física y el Deporte: Aprendizaje y Desarrollo (Desarrollo)

TEMA-4.pdf
T1FernandezSolanoElenaBalbina.pdf
Tema-5.pdf
Tema-2-crecimiento-maduracion-e-involucion-.docx
Tema-3-DESARROLLO-MOTOR-Y-CONDUCTAS-MOTRICES-DESDE-LA-INFANCIA-A-LA-ADOLESCENCIA.pdf

apuntes

-

Aprendizaje y Desarrollo

He publicado nuevos apuntes de 2º Aprendizaje, Control y Desarrollo Motor en la Actividad Física y el Deporte: Aprendizaje y Desarrollo

Tema-5.pdf
Tema-2-ADMINISTRACION-DE-LA-INFORMACION-Y-CONOCIMIENTO-DE-RESULTADOS-LA-ADQUISICION-DE-HABILIDADES.pdf
Tema-1-CONTROL-Y-APRENDIZAJE-.pdf
Tema-8.pdf
TEMA-3.pdf
Tema-4.pdf

apuntes

-

TEMARIO DESARROLLO MOTOR RESUMIDO

He publicado nuevos apuntes de 2º Aprendizaje, Control y Desarrollo Motor en la Actividad Física y el Deporte: TEMARIO DESARROLLO MOTOR RESUMIDO

TEMA-4-DESARROLLO-MOTOR.docx
TEMA-1-DESARROLLO.docx
TEMA-5.docx
TEMA-3-DE-DESARROLLO-.docx
TEMA-2-DE-DESARROLLO-MOTOR.docx

apuntes

-

TEMARIO APRENDIZAJE MOTOR RESUMIDO

He publicado nuevos apuntes de 2º Aprendizaje, Control y Desarrollo Motor en la Actividad Física y el Deporte: TEMARIO APRENDIZAJE MOTOR RESUMIDO

APRENDIZAJE-TEMA-6.docx
TEMA-2-APRENDIZAJE.docx
TEMA-4-APRENDIZAJE-MOTOR.docx
TEMA-3-APRENDIZAJE.docx
TEMA-7-APRENDIZAJE-MOTOR.docx
TEMA-8-DE-APRENDIZAJE.docx

apuntes

-

Apren, Ctrl y Drllo - Apuntes completos

He publicado nuevos apuntes de 2º Aprendizaje, Control y Desarrollo Motor en la Actividad Física y el Deporte: Apren, Ctrl y Drllo - Apuntes completos

DESARROLLO-TEMA-4.pdf
DESARROLLO-TEMA-3.pdf
DESARROLLO-TEMA-2.pdf
APRENDIZAJE-TEMA-1.pdf
DESARROLLO-TEMA-1.pdf
APRENDIZAJE-TEMA-2.pdf

apuntes

-

AM. en la Actividad Física y el Deporte

He publicado nuevos apuntes de 2º Aprendizaje, Control y Desarrollo Motor en la Actividad Física y el Deporte: AM. en la Actividad Física y el Deporte

AP-Tema-1.pdf
AP-Tema-5.pdf
AP-Tema-7.pdf
AP-Tema-6.pdf
AP-Tema-2.pdf
AP-Tema-4.pdf

apuntes

-

DM. en la Actividad Física y el Deporte

He publicado nuevos apuntes de 2º Aprendizaje, Control y Desarrollo Motor en la Actividad Física y el Deporte: DM. en la Actividad Física y el Deporte

DS-Tema-1.pdf
DS-Tema-4.pdf
DS-Tema-2.pdf
DS-Tema-5.pdf
DS-Tema-3.pdf

He publicado nuevos apuntes de 2º Aprendizaje, Control y Desarrollo Motor en la Actividad Física y el Deporte: DM-APUNTES-APRENDIZAJE-CONTROL-Y-DESARROLLO-MOTOR-TEORIA.pdf

26 páginas

He publicado nuevos apuntes de 2º Aprendizaje, Control y Desarrollo Motor en la Actividad Física y el Deporte: AM-APUNTES-APRENDIZAJE-CONTROL-Y-DESARROLLO-MOTOR-PRACTICA.pdf

40 páginas

apuntes

-

Apuntes de ACD por temas

He publicado nuevos apuntes de 2º Aprendizaje, Control y Desarrollo Motor en la Actividad Física y el Deporte: Apuntes de ACD por temas

ACD-Tema-2-DM.pdf
ACD-Tema-2-AM.pdf

apuntes

-

Resúmenes y esquemas

He publicado nuevos apuntes de 2º Aprendizaje, Control y Desarrollo Motor en la Actividad Física y el Deporte: Resúmenes y esquemas

Tema-5.pdf
tema-1.pdf
tema-7.pdf
Tema-1-.pdf
tema-4.pdf
tema-3.pdf
Anónimo

@Anónimo

He publicado nuevos examenes de 2º Aprendizaje, Control y Desarrollo Motor en la Actividad Física y el Deporte: v.zip

zip
Anónimo

@Anónimo

He publicado nuevos apuntes de 2º Aprendizaje, Control y Desarrollo Motor en la Actividad Física y el Deporte: examen-70-preguntas-tipo.docx

word
Anónimo

@Anónimo

He publicado nuevos examenes de 2º Aprendizaje, Control y Desarrollo Motor en la Actividad Física y el Deporte: examen-3.docx

word
Anónimo

@Anónimo

examenes

-

examen 1

He publicado nuevos examenes de 2º Aprendizaje, Control y Desarrollo Motor en la Actividad Física y el Deporte: examen 1

examen-1.docx

apuntes

-

TRABAJOS

He publicado nuevos apuntes de 2º Aprendizaje, Control y Desarrollo Motor en la Actividad Física y el Deporte: TRABAJOS

FINAL-TRABAJO-MONOGRAFICO.pdf
FINAL-TRABAJO-MONOGRAFICO.pdf
Anónimo

@Anónimo

He publicado nuevos examenes de 2º Aprendizaje, Control y Desarrollo Motor en la Actividad Física y el Deporte: examenes-adm.pdf

26 páginas

apuntes

-

APRENDIZAJE MOTOR

He publicado nuevos apuntes de 2º Aprendizaje, Control y Desarrollo Motor en la Actividad Física y el Deporte: APRENDIZAJE MOTOR

TEMA 2. AM.pdf
TEMA 5. AM.pdf
TEMA 4. AM.pdf
TEMA 1. AM.pdf
TEMA 3. AM.pdf
TEMA 7. AM.pdf

apuntes

-

DESARROLLO MOTOR

He publicado nuevos apuntes de 2º Aprendizaje, Control y Desarrollo Motor en la Actividad Física y el Deporte: DESARROLLO MOTOR

TEMA 4 D.pdf
TEMA 5 D.pdf
TEMA 1.pdf
TEMA 2 D.pdf
TEMA 3 D.pdf
TEMA 6 D.pdf

apuntes

-

APRENDIZAJE Y CONTROL MOTOR

He publicado nuevos apuntes de 2º Aprendizaje, Control y Desarrollo Motor en la Actividad Física y el Deporte: APRENDIZAJE Y CONTROL MOTOR

TEMA 8.pdf
TEMA 7 A.pdf
TEMA 2 A.pdf
TEMA 4 A.pdf
TEMA 3A.pdf
TEMA 6 A.pdf

apuntes

-

TEMA 7-8

He publicado nuevos apuntes de 2º Aprendizaje, Control y Desarrollo Motor en la Actividad Física y el Deporte: TEMA 7-8

TEMA8.pdf
TEMA7.pdf

apuntes

-

TEMA 6

He publicado nuevos apuntes de 2º Aprendizaje, Control y Desarrollo Motor en la Actividad Física y el Deporte: TEMA 6

TEMA6AM.pdf
TEMA6DM.pdf

apuntes

-

DESARROLLO MOTOR

He publicado nuevos apuntes de 2º Aprendizaje, Control y Desarrollo Motor en la Actividad Física y el Deporte: DESARROLLO MOTOR

TEMA 1. DM.pdf
TEMA 6. DM.pdf
TEMA 3. DM .pdf
TEMA 2. DM.pdf
TEMA 4. DM.pdf
TEMA 5. DM.pdf

apuntes

-

Desarrollo motor

He publicado nuevos apuntes de 2º Aprendizaje, Control y Desarrollo Motor en la Actividad Física y el Deporte: Desarrollo motor

Tema 4 Conductas motrices y procesamiento de la información.pdf
Tema 3 Desarrollo motor y conductas motrices desde la infancia a la adolescencia.pdf
Tema 2 Crecimiento- maduración e involución.pdf
Tema 1 Práctica. Bases conceptuales y terminológicas del desarrollo motor.pdf
Tema 5 La motricidad en la madurez y veje.pdf
Tema 6 Desarrollo motor y psicomotricidad.pdf

apuntes

-

Aprendizaje motor

He publicado nuevos apuntes de 2º Aprendizaje, Control y Desarrollo Motor en la Actividad Física y el Deporte: Aprendizaje motor

Tema 2 Administración de la formación y conocimientos de resultados.pdf
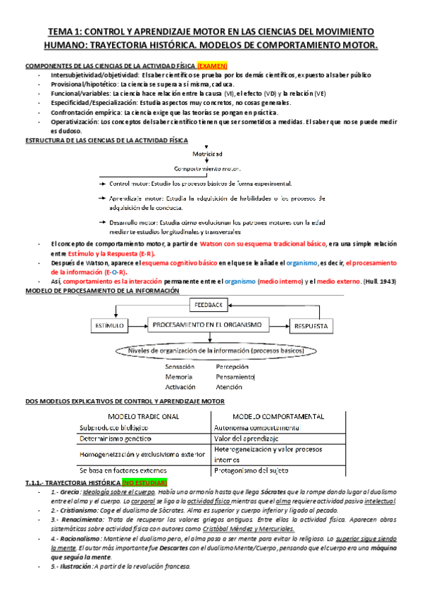
Tema 1 Control y aprendizaje en las ciencias del movimiento humano. Modelos de comportamiento moto.pdf
Tema 4 Recepción de la información motora vs sensación. Proceso perceptivo motor.pdf
Tema 3 Clasificación y análisis de las habilidades motrices.pdf

apuntes

-

TEMA 5

He publicado nuevos apuntes de 2º Aprendizaje, Control y Desarrollo Motor en la Actividad Física y el Deporte: TEMA 5

TEMA5AM.pdf
TEMA5DM.pdf

apuntes

-

TEMAS 4

He publicado nuevos apuntes de 2º Aprendizaje, Control y Desarrollo Motor en la Actividad Física y el Deporte: TEMAS 4

TEMA4AM.pdf
TEMA4DM.pdf

apuntes

-

TEMA 3

He publicado nuevos apuntes de 2º Aprendizaje, Control y Desarrollo Motor en la Actividad Física y el Deporte: TEMA 3

TEMA3AM.pdf
TEMA3DM.pdf

apuntes

-

TEMA 2

He publicado nuevos apuntes de 2º Aprendizaje, Control y Desarrollo Motor en la Actividad Física y el Deporte: TEMA 2

TEMA2AM.pdf
TEMA2DM.pdf

apuntes

-

TEMA 1

He publicado nuevos apuntes de 2º Aprendizaje, Control y Desarrollo Motor en la Actividad Física y el Deporte: TEMA 1

TEMA1DM.pdf
TEMA1AM.pdf

He publicado nuevos apuntes de 2º Aprendizaje, Control y Desarrollo Motor en la Actividad Física y el Deporte: RESUMEN TEMA 3 ALBERTO SILVA MUÑOZ.docx

word

He publicado nuevos apuntes de 2º Aprendizaje, Control y Desarrollo Motor en la Actividad Física y el Deporte: RESUMEN TEMA 6 ALBERTO SILVA MUÑOZ.docx

word

He publicado nuevos apuntes de 2º Aprendizaje, Control y Desarrollo Motor en la Actividad Física y el Deporte: RESUMEN TEMA 1 DM ALBERTO SILVA MUÑOZ.docx

word

He publicado nuevos apuntes de 2º Aprendizaje, Control y Desarrollo Motor en la Actividad Física y el Deporte: RESUMEN TEMA 2 ALBERTO SILVA MUÑOZ.docx

word

He publicado nuevos apuntes de 2º Aprendizaje, Control y Desarrollo Motor en la Actividad Física y el Deporte: RESUMEN TEMA 4 DM ALBERTO SILVA MUÑOZ.docx

word

He publicado nuevos apuntes de 2º Aprendizaje, Control y Desarrollo Motor en la Actividad Física y el Deporte: RESUMEN TEMA 5 DM ALBERTO SILVA MUÑOZ.docx

word

He publicado nuevos trabajos de 2º Aprendizaje, Control y Desarrollo Motor en la Actividad Física y el Deporte: TRABAJO MONOGRÁFICO ATENCIÓN ALBERTO SILVA MUÑOZ.pdf

6 páginas

He publicado nuevos apuntes de 2º Aprendizaje, Control y Desarrollo Motor en la Actividad Física y el Deporte: RESUMEN TEMA 4 ALBERTO SILVA MUÑOZ.docx

word

He publicado nuevos apuntes de 2º Aprendizaje, Control y Desarrollo Motor en la Actividad Física y el Deporte: RESUMEN TEMA 3 DM ALBERTO SILVA MUÑOZ.docx

word

He publicado nuevos apuntes de 2º Aprendizaje, Control y Desarrollo Motor en la Actividad Física y el Deporte: RESUMEN TEMA 1 ALBERTO SILVA MUÑOZ.docx

word

He publicado nuevos apuntes de 2º Aprendizaje, Control y Desarrollo Motor en la Actividad Física y el Deporte: RESUMEN TEMA 5 ALBERTO SILVA MUÑOZ.docx

word

He publicado nuevos trabajos de 2º Aprendizaje, Control y Desarrollo Motor en la Actividad Física y el Deporte: TRABAJO MONOGRÁFICO LEY DE HICK ALBERTO SILVA MUÑOZ.pdf

6 páginas

He publicado nuevos apuntes de 2º Aprendizaje, Control y Desarrollo Motor en la Actividad Física y el Deporte: RESUMEN TEMA 7 ALBERTO SILVA MUÑOZ.docx

word

He publicado nuevos apuntes de 2º Aprendizaje, Control y Desarrollo Motor en la Actividad Física y el Deporte: RESUMEN TEMA 2 DM ALBERTO SILVA MUÑOZ.docx

word

He publicado nuevos apuntes de 2º Aprendizaje, Control y Desarrollo Motor en la Actividad Física y el Deporte: Tema 1. DM. Resumen.pdf

6 páginas