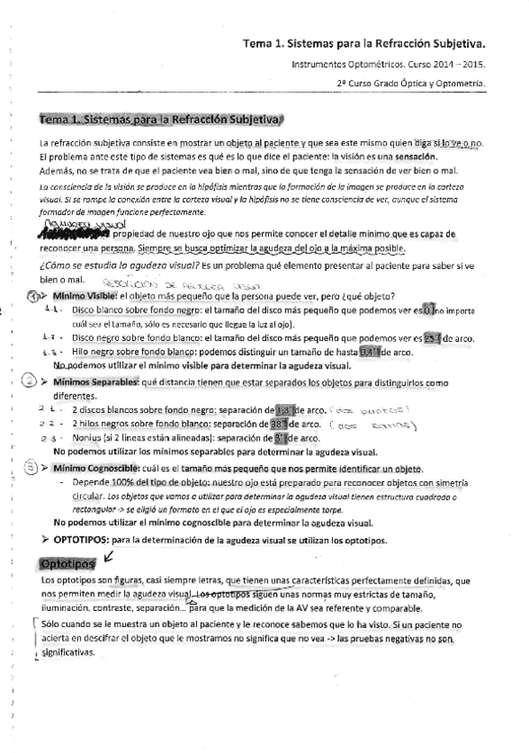
Apuntes Variados
Todo
Apuntes
chevron_left
chevron_right
He publicado nuevos apuntes de 4º Apuntes Variados: TEMARIO-INSTRUMENTOS-.pdf
He publicado nuevos apuntes de 4º Apuntes Variados: Tema 1. Generalidades Anatómicas..docx
He publicado nuevos apuntes de 4º Apuntes Variados: TEMARIO-INSTRUMENTOS-.pdf
He publicado nuevos apuntes de 4º Apuntes Variados: Tema-4-Final.pdf
He publicado nuevos apuntes de 4º Apuntes Variados: tema-3-final-.pdf
He publicado nuevos apuntes de 4º Apuntes Variados: tema-2-final-.pdf
He publicado nuevos apuntes de 4º Apuntes Variados: Tema-1-final-.pdf
He publicado nuevos apuntes de 4º Apuntes Variados: Tema 1. Generalidades Anatómicas..docx