chevron_left
chevron_right
Todo
Apuntes
Ejercicios
chevron_left
chevron_right
Anónimo

@Anónimo

apuntes

-

Curso Universitario en Gestión de la Farmacia Comunitaria y Marketing Farmacéutico

He publicado nuevos apuntes de 1º Apuntes Variados: Curso Universitario en Gestión de la Farmacia Comunitaria y Marketing Farmacéutico

Clase-1-Tipos-de-trabajadores-y-contratos-en-la-Oficina-de-Farmacia.pdf
Clase-2-Nominas-Seguridad-Social-y-Cuenta-de-Perdidas-y-Ganancias.pdf

He publicado nuevos apuntes de 1º Apuntes Variados: FORMULACION-INORGANICA-.pdf

21 páginas

apuntes

-

APUNTES POR TEMAS

He publicado nuevos apuntes de 1º Apuntes Variados: APUNTES POR TEMAS

Elasticidad.pdf
Dinamica-del-solido-rigido.pdf
Cinematica-.pdf
sonido-.pdf
movimiento-circular.pdf
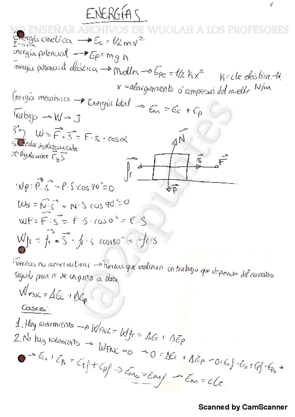
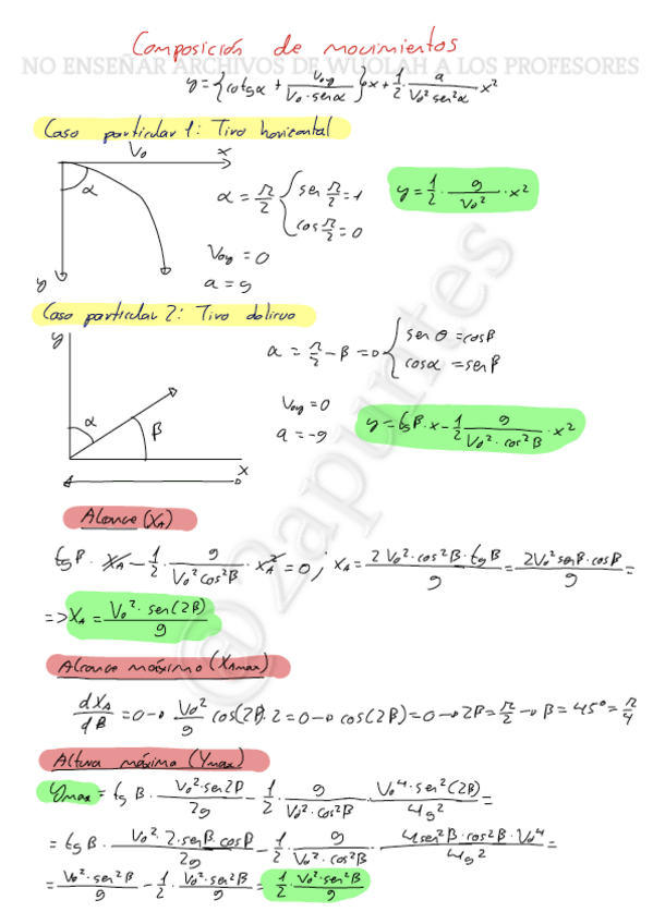
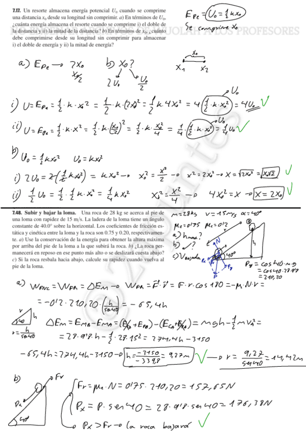
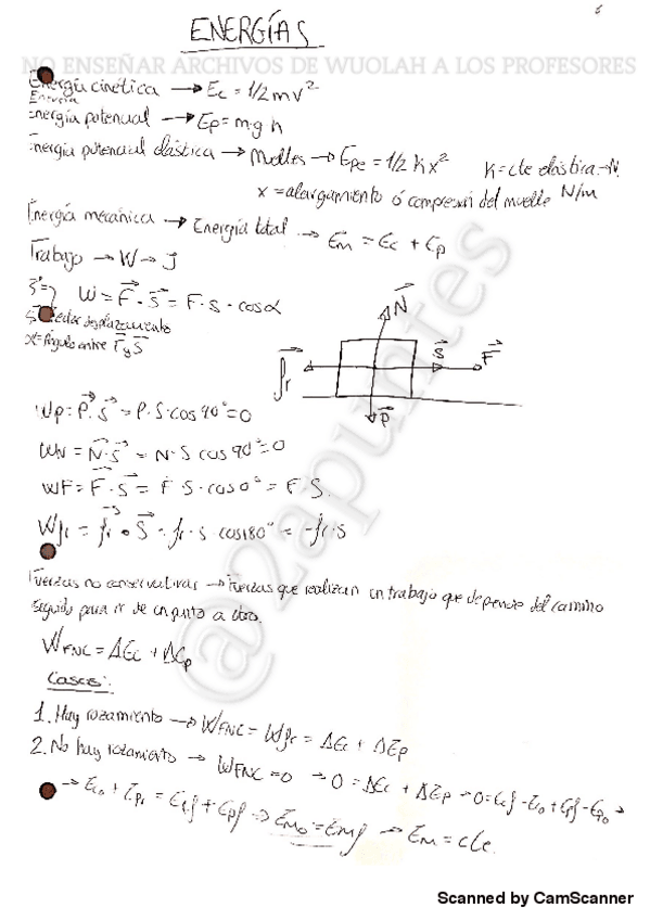
energias.pdf

He publicado nuevos apuntes de 1º Apuntes Variados: FORMULARIO-FISICA.pdf

2 páginas

He publicado nuevos apuntes de 1º Apuntes Variados: Apuntes-fisica-resumen-completo.pdf

16 páginas

He publicado nuevos ejercicios de 1º Apuntes Variados: Ejercicios-tipo-EXAMEN.pdf

16 páginas

He publicado nuevos apuntes de 1º Apuntes Variados: apuntes-teoria-de-medida.pdf

12 páginas
Anónimo

@Anónimo

He publicado nuevos apuntes de 1º Apuntes Variados: tema 1 de biologia.docx

word
Anónimo

@Anónimo

He publicado nuevos apuntes de 1º Apuntes Variados: tema 1 de biologia.docx

word
¡Estás al día!

¡Estás al día!

Has visto todos los archivos