chevron_left
chevron_right
Todo
Apuntes
Ejercicios
Exámenes
Otros
Prácticas
Test
Trabajos
chevron_left
chevron_right

ejercicios

-

Prácticas Ajustes y Tolerancias

He publicado nuevos ejercicios de 1º Apuntes Variados: Prácticas Ajustes y Tolerancias

PRACTICA-4.2.pdf
PRACTICA-4.1.pdf
PRACTICA-5.5.pdf
PRACTICA-5.1.pdf
PRACTICA-5.2.pdf
PRACTICA-5.3.pdf

apuntes

-

APUNTES Y EJERCICIOS (GIOI)

He publicado nuevos apuntes de 1º Apuntes Variados: APUNTES Y EJERCICIOS (GIOI)

QUIMICA-EJERCICIOS-CINETICA.pdf
QUIMICA-APUNTES-CINETICA.pdf
QUIMICA-APUNTES-LIQUIDOS-Y-SOLUCIONES.pdf
QUIMICA-EQUILIBRIO-QUIMICO.pdf
QUIMICA-PROBLEMA-BALANCE-DE-MATERIA.pdf
QUIMICA-EJERCICIOS-LIQUIDOS-Y-SOLUCIONES.pdf

apuntes

-

Apuntes y ejercicios resueltos

He publicado nuevos apuntes de 1º Apuntes Variados: Apuntes y ejercicios resueltos

Apuntes-Quimica-General.pdf
Apuntes-formulacion-inorganica.pdf

examenes

-

TESTS RESISTENCIA RESUELTOS

He publicado nuevos examenes de 1º Apuntes Variados: TESTS RESISTENCIA RESUELTOS

PREGUNTAS-TIPO-TEST-RESISTENCIA-61-73.pdf
PREGUNTAS-TIPO-TEST-RESISTENCIA-21-40.pdf
PREGUNTAS-TIPO-TEST-RESISTENCIA-1-20.pdf
PREGUNTAS-TIPO-TEST-RESISTENCIA-41-60.pdf

He publicado nuevos ejercicios de 1º Apuntes Variados: referencias.pdf

1 página

examenes

-

TESTS ELASTICIDAD RESUELTOS

He publicado nuevos examenes de 1º Apuntes Variados: TESTS ELASTICIDAD RESUELTOS

PREGUNTAS-TEST-ELASTICIDAD-1.pdf
PREGUNTAS-TEST-ELASTICIDAD-2.pdf
PREGUNTAS-TEST-ELASTICIDAD-3.pdf
PREGUNTAS-TEST-ELASTICIDAD-5.pdf
PREGUNTAS-TEST-ELASTICIDAD-6.pdf
PREGUNTAS-TEST-ELASTICIDAD-7.pdf
Anónimo

@Anónimo

He publicado nuevos apuntes de 1º Apuntes Variados: referencias-acabadas.pdf

1 página

He publicado nuevos apuntes de 1º Apuntes Variados: coe.pdf

1 página

apuntes

-

Asignatura Completa

He publicado nuevos apuntes de 1º Apuntes Variados: Asignatura Completa

DiagramaFlujoProblemasResueltos.pdf
SegundoCuatrimestreCodigosResueltos.pdf
Examen2014SegundoParcial.pdf
SegundoCuatrimestreExamenesTeoriayCodigos.pdf
TeoriaAlgebraBoole.pdf
TeoriaFuncionesEstructurasMemoria.pdf

He publicado nuevos apuntes de 1º Apuntes Variados: ResumenEDO.pdf

2 páginas
Anónimo

@Anónimo

examenes

-

Cuestiones y ejercicios resueltos

He publicado nuevos examenes de 1º Apuntes Variados: Cuestiones y ejercicios resueltos

Cuestiones.pdf
Problemas-resueltos-cuestiones.pdf
Anónimo

@Anónimo

examenes

-

Colección de exámenes

He publicado nuevos examenes de 1º Apuntes Variados: Colección de exámenes

Examen-1.pdf
Examen-2.pdf
Examen-4.pdf
Examen-3.pdf
Anónimo

@Anónimo

He publicado nuevos examenes de 1º Apuntes Variados: Diagramas-de-flujo.pdf

5 páginas
Anónimo

@Anónimo

He publicado nuevos examenes de 1º Apuntes Variados: Cesius.pdf

2 páginas
Anónimo

@Anónimo

examenes

-

Explicación problemas exámenes

He publicado nuevos examenes de 1º Apuntes Variados: Explicación problemas exámenes

Problemas-1.pdf
Problemas-2.pdf

He publicado nuevos apuntes de 1º Apuntes Variados: ResumenLaplace.pdf

2 páginas

He publicado nuevos apuntes de 1º Apuntes Variados: APUNTES-INDUCCION.pdf

1 página

He publicado nuevos apuntes de 1º Apuntes Variados: RESUMEN-DE-CALCULO.pdf

13 páginas

ejercicios

-

EJER LIMITES + SOLUCIONES

He publicado nuevos ejercicios de 1º Apuntes Variados: EJER LIMITES + SOLUCIONES

EJERCICIOS-DE-LIMITES.pdf
EJERCICIOS-DE-LIMITES-SOLUCIONES.pdf

He publicado nuevos apuntes de 1º Apuntes Variados: referencias2.pdf

1 página

He publicado nuevos apuntes de 1º Apuntes Variados: referencias.pdf

1 página

He publicado nuevos examenes de 1º Apuntes Variados: Examen-MARZO-2019-resuelto.pdf

3 páginas

He publicado nuevos apuntes de 1º Apuntes Variados: COE.pdf

1 página

¡Descárgate el archivo y luego lo copias!

1 página

examenes

-

Reading Aptis

Nivel B1, B2 y C1

Examen Reading 3 APTIS.pdf
Examen Reading 1 APTIS.pdf
Examen Reading 2 APTIS.pdf
Ejercicios resueltos para practicar Reading APTIS.pdf

examenes

-

Writing Aptis

Nivel B1, B2 y C1

Examen Writing 2 APTIS.pdf
Examen Writing 6 APTIS.pdf
Examen Writing 1 APTIS.pdf
Examen Writing 3 APTIS.pdf
Examen Writing 4 APTIS.pdf
Examen Writing 5 APTIS.pdf

examenes

-

Vocabulary Aptis

Nivel B1, B2 y C1

Examen Vocabulary 1 APTIS.pdf
Examen Vocabulary 2 APTIS.pdf
Examen Vocabulary 3 APTIS.pdf
Ejercicios resueltos para practicar Vocabulary APTIS.pdf

examenes

-

Grammar Aptis

Nivel B1, B2 y C1

Ejercicios resueltos para practicar Grammar APTIS.pdf
Examen Grammar 2 APTIS.pdf
Examen Grammar 1 APTIS.pdf
Examen Grammar 3 APTIS.pdf

examenes

-

Listening Aptis

Nivel B1, B2 y C1

Examen Listening 1 APTIS.pdf
Examen Listening 3 APTIS.pdf
Examen Listening 2 APTIS.pdf

examenes

-

Speaking Aptis

Nivel B1, B2 y C1

Examen Speaking 2 APTIS.pdf
Examen Speaking 5 APTIS.pdf
Examen Speaking 1 APTIS.pdf
Examen Speaking 6 APTIS.pdf
Examen Speaking 3 APTIS.pdf
Examen Speaking 4 APTIS.pdf

apuntes

-

Apuntes

He publicado nuevos apuntes de 1º Apuntes Variados: Apuntes

01. Nociones Básicas. Hipótesis del Medio Continuo y Magnitudes Intensivas.pdf
02. Fluidoestática.pdf
03. Ecuación de Continuidad.pdf
04. Ecuación de Cantidad de Movimiento Despreciando los Esfuerzos Viscosos.pdf
05. Ecuación de Cantidad de Movimiento Incluyendo los Esfuerzos Viscosos.pdf
06. Análisis Dimensional.pdf

He publicado nuevos apuntes de 1º Apuntes Variados: Teorías Fluidos.pdf

13 páginas

ejercicios

-

Ejercicios Resueltos

He publicado nuevos ejercicios de 1º Apuntes Variados: Ejercicios Resueltos

Ejercicios Conservación de Cantidad de Movimiento.pdf
Ejercicios de Examen.pdf
Ejercicios Fluidostática.pdf
Ejercicios Gases.pdf
Ejercicios Turbulento.pdf
Ejercicios Viscosidad Dominante.pdf

He publicado nuevos examenes de 1º Apuntes Variados: Teorías Fluidos.pdf

13 páginas

He publicado nuevos apuntes de 1º Apuntes Variados: Prontuario.pdf

1 página

examenes

-

Exámenes Resueltos

He publicado nuevos examenes de 1º Apuntes Variados: Exámenes Resueltos

2014 Septiembre Teoría S WLA.pdf
2015 Junio Teoría S WLA.pdf
2016 Noviembre Problemas WLA.pdf
2016 Noviembre Teoría WLA.pdf
2016 Septiembre WLA.pdf
2017 Junio Problemas S WLA.pdf

He publicado nuevos apuntes de 1º Apuntes Variados: RESUMEN.pdf

6 páginas

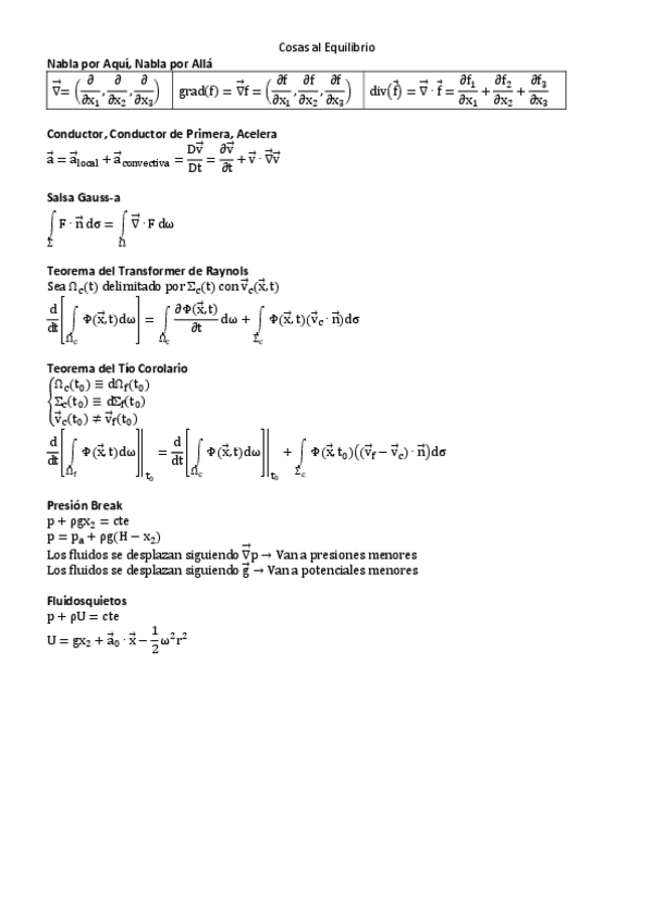
He publicado nuevos apuntes de 1º Apuntes Variados: 0. Cosas Al Equilibrio.pdf

2 páginas

He publicado nuevos apuntes de 1º Apuntes Variados: Practicas Fluidos.pdf

3 páginas

He publicado nuevos examenes de 1º Apuntes Variados: Ejercicios de Examen.pdf

10 páginas

He publicado nuevos apuntes de 1º Apuntes Variados: Gases.pdf

2 páginas

apuntes

-

another

He publicado nuevos apuntes de 1º Apuntes Variados: another

Mat2Con2Sep2016Sol.pdf
Mat2Sep2012Sol.pdf
Mat2Con3Dic2012Sol.pdf
Mat2CEnero2013Sol.pdf
Mat2Con1Feb2013Sol.pdf
Mat2Con2Jul2013Sol.pdf

apuntes

-

sida2

He publicado nuevos apuntes de 1º Apuntes Variados: sida2

Mat2Con2Sep2015Sol.pdf
Mat2Con3Dic2015Sol.pdf
Mat2CEnero2016Sol.pdf
Mat2Con2Sep2015Sol.pdf
Mat2Con1Feb2017Sol.pdf
Mat2Con1Feb2017Sol.pdf

He publicado nuevos examenes de 1º Apuntes Variados: Parcial 2012 13.pdf

1 página

apuntes

-

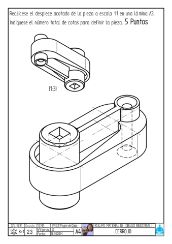
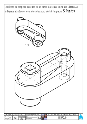
Piezas para acotación y resultados

He publicado nuevos apuntes de 1º Apuntes Variados: Piezas para acotación y resultados

DI1_1415_Prueba_2_enunciado.pdf
DI1M3_1314_Control_Sol_JMC.pdf

ejercicios

-

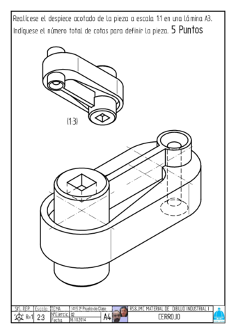
Piezas para acotación y resultados

He publicado nuevos ejercicios de 1º Apuntes Variados: Piezas para acotación y resultados

DI1_1415_Prueba_2_enunciado.pdf
DI1M3_1314_Control_Sol_JMC.pdf

Imprescindible! muy recomendable!!

32 páginas

examenes

-

Todos los examenes resueltos 2014-2017

He publicado nuevos examenes de 1º Apuntes Variados: Todos los examenes resueltos 2014-2017

Mat2CEnero2014Sol.pdf
Mat2Con1Feb2014Sol.pdf
Mat2Con2Sep2014Sol.pdf
Mat2Con3Dic2014Sol.pdf
Mat2CEnero2015Sol.pdf
Mat2Con1Enero2015Sol.pdf

Pasos a seguir para cada tipo de ejercicio.

10 páginas

apuntes

-

Cálculo I y II - 9na Edición Larson (solucionario Incluido)

Libros en pdf (solucionario incluido)

Calculo 1 de Una Variable 9na Edición Ron Larson Lib.pdf
Solucionario Calculo 1 de Una Variable 9na Edición Ron Larson.pdf
Cálculo 2 de Varias Variables 9na Edición Ron Larson Bruce Edwards Lib.pdf
Cálculo (completo) - Vol 1 y 2 -9na Edición - Ron Larson & Bruce H. Edwards.pdf

apuntes

-

Cálculo I y II - 9na Edición Larson (solucionario Incluido)

Libros en pdf (solucionario incluido)

Calculo 1 de Una Variable 9na Edición Ron Larson Lib.pdf
Solucionario Calculo 1 de Una Variable 9na Edición Ron Larson.pdf
Cálculo 2 de Varias Variables 9na Edición Ron Larson Bruce Edwards Lib.pdf
Cálculo (completo) - Vol 1 y 2 -9na Edición - Ron Larson & Bruce H. Edwards.pdf

Exámenes y parciales resueltos paso a paso.

42 páginas

Resumen de los ejercicios a tratar con sus formulas y procedimientos.

5 páginas

Resumen por temas.

14 páginas

Todo lo necesario para aprobar

29 páginas

apuntes

-

Examenes

He publicado nuevos apuntes de 1º Apuntes Variados: Examenes

Problemas_propuestos_y_resueltos_TC.pdf
Cuestiones_TC_CD_1314.pdf
Enunciados_ej_radiacion_TC_1314.pdf
Problemas Tema 2.pdf

examenes

-

Examenes Giti

He publicado nuevos examenes de 1º Apuntes Variados: Examenes Giti

Primer parcial ejer 1.pdf
Primer parcial ejer 2.pdf
Primer parcial ejer 3.pdf
001 Pieza de transición pls secantes.pdf
2012_13 Poliedro 002 Octaedro.pdf
2012_13 001 Piramide.pdf

ejercicios

-

Ejercicios Giti

Útiles tb en Teleco.....Soluciones de laminas

solucionejer4.pdf
solucionejer5.pdf
solucionejer6.pdf
solucionejer8.pdf
solucionejer9.pdf
solucionejer10.pdf