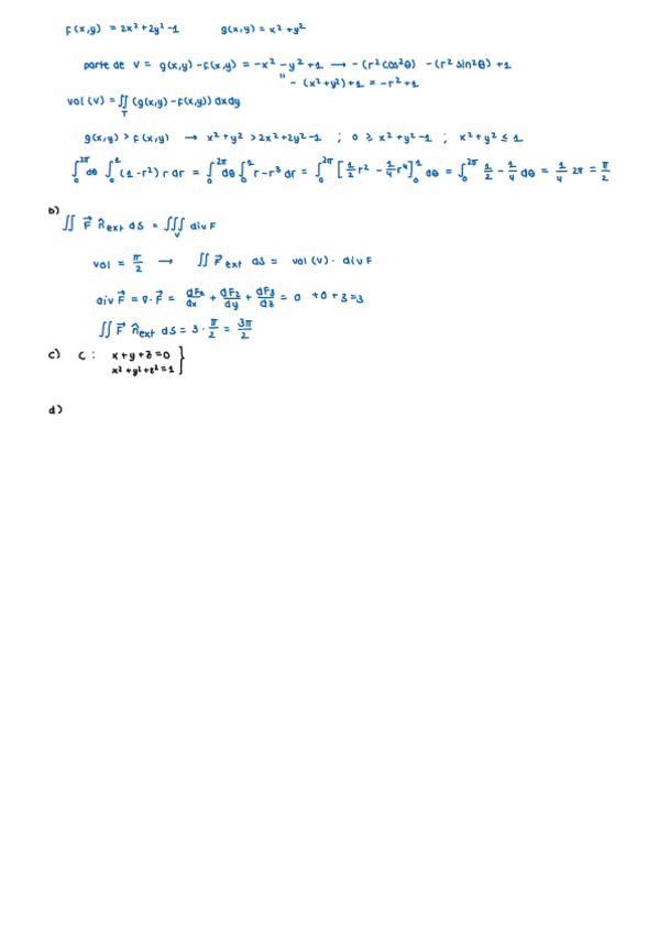
Todo
Apuntes
Exámenes
chevron_left
chevron_right

He publicado nuevos apuntes de 1º Apuntes Variados: CAVEC-Resum.pdf

24 páginas
Anónimo

@Anónimo

He publicado nuevos examenes de 1º Apuntes Variados: CAVEC-EXERCICIS-i-TEORIA.pdf

9 páginas

apuntes

-

CAVEC resumenes

He publicado nuevos apuntes de 1º Apuntes Variados: CAVEC resumenes

Resumen-parcial-1-CAVEC.pdf
Integracion-resumen.pdf
Anónimo

@Anónimo

He publicado nuevos apuntes de 1º Apuntes Variados: 11.pdf

5 páginas
Anónimo

@Anónimo

apuntes

-

PDF Ajuda Laboratori Israel

He publicado nuevos apuntes de 1º Apuntes Variados: PDF Ajuda Laboratori Israel

08-Lab-8-Application-level-Java-sockets.pdf
06-Lab-6-Stop-and-wait-ARQ.pdf
07-Lab-7-Connection-Disconnection-protocol.pdf
03-Lab-3-Fragmentation.pdf
02-Lab-2-Threads.pdf
04-Lab-4-Multiplexing.pdf

He publicado nuevos apuntes de 1º Apuntes Variados: pract123.zip

zip

apuntes

-

Exercicis Monitors Resolts

He publicado nuevos apuntes de 1º Apuntes Variados: Exercicis Monitors Resolts

exercicis-monitors.pdf
ExsMonitors.zip
¡Estás al día!

¡Estás al día!

Has visto todos los archivos