Apuntes Variados
Todo
Apuntes
chevron_left
chevron_right
He publicado nuevos apuntes de 1º Apuntes Variados: tema-1-organica-5.pdf
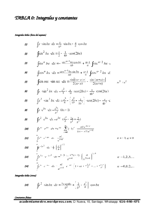
He publicado nuevos apuntes de 1º Apuntes Variados: 0002-Tabla-integrales.pot
He publicado nuevos apuntes de 1º Apuntes Variados: tema-1-organica-5.pdf
He publicado nuevos apuntes de 1º Apuntes Variados: tema-1-quifi-5.pdf
He publicado nuevos apuntes de 1º Apuntes Variados: 0002-Tabla-integrales.pot