chevron_left
chevron_right
Todo
Apuntes
Exámenes
Prácticas
Test
Trabajos
chevron_left
chevron_right

He publicado nuevos apuntes de 1º Apuntes Variados: APUNTSFONAMENTSCLASSEACABATS.pdf

76 páginas
Anónimo

@Anónimo

He publicado nuevos examenes de 1º Apuntes Variados: Examen.m4a

Miniatura no disponible
Anónimo

@Anónimo

He publicado nuevos examenes de 1º Apuntes Variados: 20174Llengua-Espanyolaexamen-marc-2016.pdf

3 páginas
Anónimo

@Anónimo

He publicado nuevos apuntes de 1º Apuntes Variados: APUNTES-LENGUA-ESPANOLA-3ER-TRIM.pdf

25 páginas

He publicado nuevos test de 1º Apuntes Variados: Cuestionario-3-de-Gran-Grupo.pdf

2 páginas
Anónimo

@Anónimo

He publicado nuevos trabajos de 1º Apuntes Variados: Trabajo-final-Traduccion-de-ingles.pdf

2 páginas
Anónimo

@Anónimo

He publicado nuevos practicas de 1º Apuntes Variados: Evaluated-Assignment-6-A-Narrative.pdf

1 página

He publicado nuevos apuntes de 1º Apuntes Variados: Notes-ENG.pdf

40 páginas

He publicado nuevos apuntes de 1º Apuntes Variados: Notes.pdf

27 páginas

He publicado nuevos apuntes de 1º Apuntes Variados: FUNDAMENTOS-DE-LA-TRADUCCION-apuntes-definitivo.pdf

97 páginas

He publicado nuevos apuntes de 1º Apuntes Variados: Apuntes-Lengua-Espanola.pdf

80 páginas

He publicado nuevos apuntes de 1º Apuntes Variados: Ejemplo-examen-II-lengua-castellana.pdf

pdf

He publicado nuevos examenes de 1º Apuntes Variados: Ejemplo-examen-lengua-castellana.pdf

pdf

He publicado nuevos apuntes de 1º Apuntes Variados: Traduccion-del-frances.pdf

pdf

He publicado nuevos apuntes de 1º Apuntes Variados: Apunts-Recursos-TIC.pdf

31 páginas

He publicado nuevos apuntes de 1º Apuntes Variados: TRADU-WHARTON-LITE-.pdf

1 página
Anónimo

@Anónimo

apuntes

-

trad-eng

He publicado nuevos apuntes de 1º Apuntes Variados: trad-eng

El-grup-Ligget.docx
203AcunaGarcia.docx

He publicado nuevos apuntes de 1º Apuntes Variados: Frances.pdf

37 páginas

He publicado nuevos apuntes de 1º Apuntes Variados: Traduccion-literaria.pdf

6 páginas

He publicado nuevos apuntes de 1º Apuntes Variados: Texte-adjectif.pdf

1 página

He publicado nuevos apuntes de 1º Apuntes Variados: Texte-adjectif.pdf

1 página

He publicado nuevos apuntes de 1º Apuntes Variados: Resumen-Ingles-3r-Trimestre.pdf

8 páginas

He publicado nuevos apuntes de 1º Apuntes Variados: Resum-examen-Documentaco.pdf

6 páginas

He publicado nuevos apuntes de 1º Apuntes Variados: Resumen-Examen-Final.pdf

13 páginas

He publicado nuevos apuntes de 1º Apuntes Variados: Actividades-resueltas.pdf

24 páginas

He publicado nuevos apuntes de 1º Apuntes Variados: Resumen-Ingles-Examen-2n-trimestre.pdf

8 páginas
Anónimo

@Anónimo

He publicado nuevos trabajos de 1º Apuntes Variados: La-variacion-espanola.docx

word
Anónimo

@Anónimo

He publicado nuevos apuntes de 1º Apuntes Variados: apunts-frances-gramatica.pdf

6 páginas
Anónimo

@Anónimo

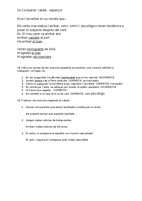
He publicado nuevos apuntes de 1º Apuntes Variados: Apunts-us-comparat.docx

word
Anónimo

@Anónimo

He publicado nuevos apuntes de 1º Apuntes Variados: Literatura-espanola.pdf

2 páginas
Anónimo

@Anónimo

He publicado nuevos apuntes de 1º Apuntes Variados: Documentacio.docx

word
Anónimo

@Anónimo

He publicado nuevos apuntes de 1º Apuntes Variados: LENGUA-ESPANOLA.pdf

29 páginas

apuntes

-

3r trimestre

He publicado nuevos apuntes de 1º Apuntes Variados: 3r trimestre

CAUSALES-3.pdf
LE-DISCOURS-RAPPORTE-1.pdf
LA-CONSEQUENCE-ET-LA-COMPARISON-ET-PER--INFINITIU-1.pdf
Anónimo

@Anónimo

apuntes

-

La temporalité

He publicado nuevos apuntes de 1º Apuntes Variados: La temporalité

SIMULTANEITE-ANTERIORITE-ET-POSTERIORITE.pdf

He publicado nuevos apuntes de 1º Apuntes Variados: INFORMATION-STRUCTURE-PASSIVE-VOICE-INVERSION-PREPOSING-1.pdf

30 páginas

He publicado nuevos apuntes de 1º Apuntes Variados: CONNECTORS-1.pdf

10 páginas

He publicado nuevos apuntes de 1º Apuntes Variados: ADVERBS.pdf

13 páginas

He publicado nuevos apuntes de 1º Apuntes Variados: MODALITY.pdf

5 páginas

He publicado nuevos apuntes de 1º Apuntes Variados: Continguts-per-la-Traduccio-Ciencia-i-Tecnologia.pdf

13 páginas

apuntes

-

fundamentos de la traducción 1º

He publicado nuevos apuntes de 1º Apuntes Variados: fundamentos de la traducción 1º

TEMA-4-FONAMENTS-EL-PROCESO-DE-LA-TRADUCCION-1.docx
TEMA-5-EL-PLANO-LEXICO-DE-LOS-SIGNOS-LINGUISTICOS-1.docx
TEMA-7-LA-TRADUCCION-COMO-OPERACION-TEXTUAL-1.docx
TEMA-6-TENCICAS-DE-TRADUCCION-1.docx
TEMA-8-ALGUNAS-CUESTIONES-DE-LINGUISTICA-SOCIAL-PERTINENTES-PARA-EL-ESTUDIO-DE-LA-TRADUCCION-1.docx
TEMA-3-FONAMENTS-EN-TORNO-A-LA-INTRADUCIBILIDAD-1.docx

apuntes

-

Introducción a la Universidad y TIC

He publicado nuevos apuntes de 1º Apuntes Variados: Introducción a la Universidad y TIC

TEMA-3-COMUNICACIO-I-GESTIO-DARXIUS.pdf
TEMA-4-CORPUS-EINES-DE-GESTIO-DE-CORPUS.pdf
TEMA-5-TERMINOLOGIA.pdf
TEMA-6-ELS-SISTEMES-DE-TA-GG.pdf
TEMA-7-TRADUCCIO-ASSISTIDA-PER-ORDINADOR-GG.pdf
TEMA-8-CORRECTORS-ORTOGRAFICS-I-GRAMATICALS.pdf

He publicado nuevos apuntes de 1º Apuntes Variados: TRADUCCIÓ 3er T.pdf

5 páginas

He publicado nuevos apuntes de 1º Apuntes Variados: INFORMÀTICA 3er TRIM.pdf

13 páginas

apuntes

-

IUC

He publicado nuevos apuntes de 1º Apuntes Variados: IUC

Tema 2. Etnografia de la comunicació.docx
Tema 5. Anàlisi crític del discurs.docx
Tema 4. La pragmàtica.docx
Tema 3. La conversa.docx
Tema 1. La comunicació oral i escrita.docx

He publicado nuevos apuntes de 1º Apuntes Variados: apunts.pdf

15 páginas

apuntes

-

Apunts i exercicis fonaments

He publicado nuevos apuntes de 1º Apuntes Variados: Apunts i exercicis fonaments

La noció de traducció i la seva tipologia.odt
Traducció com a operació textual.rtf
Exercici seminari ambigüetat.rtf
El procés de traducció 24 oct.odt
El pla lèxic de la traducció.rtf

He publicado nuevos apuntes de 1º Apuntes Variados: Apunts IUC 13 octubre.odt

word

He publicado nuevos apuntes de 1º Apuntes Variados: Apunts 20 octubre.odt

word

apuntes

-

Lengua Española

La asignatura es lengua española pero se ha cambiado el nombre al subirlo, no sé por qué,...

T1.1 El texto.pdf
T2.1 La variación.pdf
T2.2 Principales fenómenos de variación.pdf
Tema 2. Norma y estándar.pdf

He publicado nuevos apuntes de 1º Apuntes Variados: Apuntes términos culturales.pdf

1 página

Resum dels conceptes clau de tota l'assignatura.

6 páginas
¡Estás al día!

¡Estás al día!

Has visto todos los archivos