chevron_left
chevron_right
Todo
Apuntes
Ejercicios
Exámenes
Otros
Prácticas
publication
Test
Trabajos
chevron_left
chevron_right

He publicado nuevos apuntes de 2º Arquitectura de Computadores: resumen-P1.pdf

26 páginas

He publicado nuevos apuntes de 2º Arquitectura de Computadores: Tema-1-Modulo-EntradaSalida-Resumen-y-Formulas.pdf

3 páginas

Práctica arquitectura nota: 10/10

9 páginas

Examenes resueltos en academia, Con explicaciones de los ejercicios. Encontraras todos los distintos ejercicios posibles ademas de diapositivas que explican los ejercicios especiales. Años 2021-2025, a no ser que cambien la asignatura, que no tiene pinta

44 páginas

Chuleta de las fórmulas del tema 1 de Entrada/Salida para sacar un 10 en el ejercicio del Tema 1 en el examen.

2 páginas

CHULETA DEL EJERCICIO DE MULTIPROCESADOR CON COHERENCIAS DE CACHES BASADAS EN MSI PARA SACAR UN 10 EN EL EJERCICIO DEL SEGUNDO PARCIAL. TAMBIÉN ADJUNTO ENUNCIADOS DE EXÁMENES DEL TEMARIO CON SUS SOLUCIONES.

6 páginas

He publicado nuevos examenes de 2º Arquitectura de Computadores: Recopilación Examenes - Segundo Parcial.pdf

15 páginas

He publicado nuevos examenes de 2º Arquitectura de Computadores: Examenes-Resueltos-Tema3.pdf

7 páginas

He publicado nuevos ejercicios de 2º Arquitectura de Computadores: Tema3-ejercicios.pdf

5 páginas

He publicado nuevos apuntes de 2º Arquitectura de Computadores: Tema3-resumenes-rapidos.pdf

3 páginas

Preguntas resueltas y explicadas del test de teoría del segundo parcial

11 páginas

Preguntas resultas del examen del proyecto de Arquitectura de computadores

4 páginas
Anónimo

@Anónimo

Codigo del proyecto de entrada salida por interrupcion

12 páginas

He publicado nuevos examenes de 2º Arquitectura de Computadores: Examenes-Resueltos-Tema2.pdf

12 páginas

He publicado nuevos examenes de 2º Arquitectura de Computadores: Examenes-Resueltos-Tema1.pdf

11 páginas
Anónimo

@Anónimo

He publicado nuevos examenes de 2º Arquitectura de Computadores: recopilacion-arquitectura-2017-2022-parcial-2.pdf

60 páginas

Resumen tema entrada salida

8 páginas

He publicado nuevos apuntes de 2º Arquitectura de Computadores: Formulas-Ley-Andahl-y-ancho-de-banda.pdf

1 página

He publicado nuevos apuntes de 2º Arquitectura de Computadores: apuntes-tema-4.pdf

5 páginas

Resumen tema 4 de multiprocesadores

12 páginas

Resumen tema 2 jerarquía de memorias

11 páginas

Resumen tema 1 de Entrada/Salida

6 páginas

Resumen tema 3 de IPL

9 páginas

He publicado nuevos apuntes de 2º Arquitectura de Computadores: Ciclo-de-Instruccion-de-una-CPU-II.pdf

3 páginas

He publicado nuevos apuntes de 2º Arquitectura de Computadores: Jerarquia-de-Memoria-en-un-Computador-IV.pdf

4 páginas

He publicado nuevos apuntes de 2º Arquitectura de Computadores: Jerarquia-de-Memoria-en-un-Computador-II.pdf

4 páginas

He publicado nuevos apuntes de 2º Arquitectura de Computadores: Tema-2-con-explicaciones.pdf

86 páginas

He publicado nuevos apuntes de 2º Arquitectura de Computadores: Apuntes-Tema-2-con-ejercicios.pdf

24 páginas
Anónimo

@Anónimo

He publicado nuevos apuntes de 2º Arquitectura de Computadores: Recopilación Exámenes - Primer Parcial.pdf

30 páginas

He publicado nuevos apuntes de 2º Arquitectura de Computadores: preguntas-teoria.pdf

17 páginas

He publicado nuevos apuntes de 2º Arquitectura de Computadores: conceptos-basicos-Tema-2.pdf

1 página

He publicado nuevos examenes de 2º Arquitectura de Computadores: recopilacion-parcial-1-2022.pdf

22 páginas

He publicado nuevos examenes de 2º Arquitectura de Computadores: recopilacion-parcial-1-2021.pdf

20 páginas

He publicado nuevos apuntes de 2º Arquitectura de Computadores: Resumen-Completo-Tema-2-SISTEMA-DE-MEMORIA.pdf

12 páginas

He publicado nuevos apuntes de 2º Arquitectura de Computadores: Formulas-tema-1.pdf

1 página

He publicado nuevos apuntes de 2º Arquitectura de Computadores: formulario-tema-1-250319171228.pdf

1 página

He publicado nuevos apuntes de 2º Arquitectura de Computadores: Resumen-Completo-Tema-1-ES.pdf

10 páginas

He publicado nuevos ejercicios de 2º Arquitectura de Computadores: Ejercicios-T3.pdf

19 páginas

He publicado nuevos examenes de 2º Arquitectura de Computadores: Parcial-2.pdf

25 páginas

He publicado nuevos apuntes de 2º Arquitectura de Computadores: Tema-2.pdf

23 páginas

He publicado nuevos ejercicios de 2º Arquitectura de Computadores: Ejercicios-Parcial-1.pdf

48 páginas

He publicado nuevos examenes de 2º Arquitectura de Computadores: Preguntas-tipo-examen.pdf

4 páginas

He publicado nuevos apuntes de 2º Arquitectura de Computadores: Tema-1.pdf

33 páginas

ejercicios

-

Ejercicios resueltos parcial 1

Unos de los ejercicios de examen no está completo

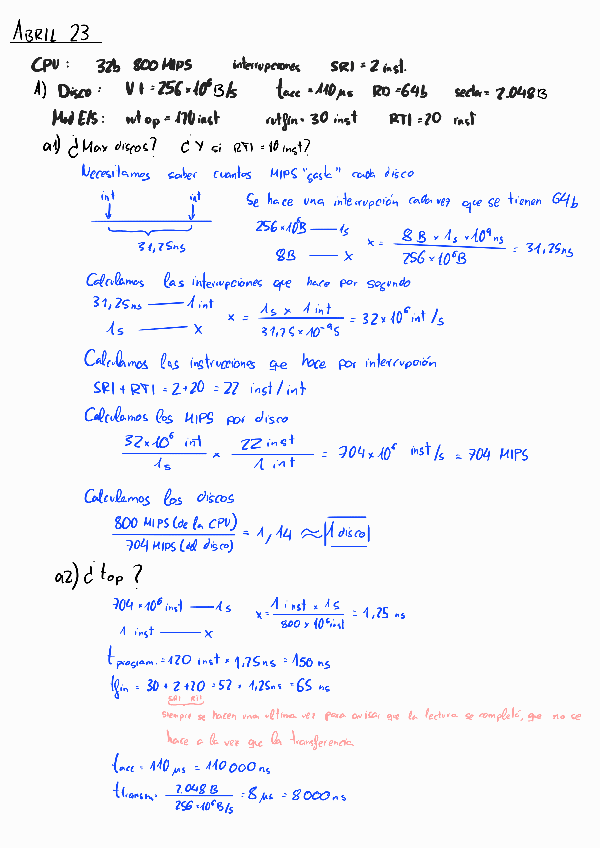
ej1examenabrilM2023-2.pdf
ej1examenabrilT2023-1.pdf
hojaejtema1ejer1.pdf
hojaejtema1ejer4.pdf
hojaejtema1ejer6.pdf
ej2examenabril2022M.pdf
Anónimo

@Anónimo

He publicado nuevos examenes de 2º Arquitectura de Computadores: Examen-del-proyecto.pdf

3 páginas

He publicado nuevos examenes de 2º Arquitectura de Computadores: Solucion-y-Enunciado-Rec-Parcial-1-Junio-2024.pdf

4 páginas

He publicado nuevos apuntes de 2º Arquitectura de Computadores: Chuleta-parcial-2.pdf

2 páginas

apuntes

-

ejercicios resueltos parcial 2

He publicado nuevos apuntes de 2º Arquitectura de Computadores: ejercicios resueltos parcial 2

35.ejeciciciosprediccion.pdf
36.acparc2jul2.pdf
37.acFjun-2023-Parc2.pdf
38.Enunciados-ILP-3-1.pdf
39.Enunciados-ILP-8.pdf
40.acP2jun-2022.pdf

He publicado nuevos examenes de 2º Arquitectura de Computadores: Parcial-1-Junio-Julio-2023.pdf

9 páginas

He publicado nuevos examenes de 2º Arquitectura de Computadores: Parcial-1-Junio-Julio-2022.pdf

10 páginas

He publicado nuevos examenes de 2º Arquitectura de Computadores: Parcial-1-Junio-Julio-2021.pdf

9 páginas

He publicado nuevos examenes de 2º Arquitectura de Computadores: Parcial-2-Junio-Julio-2021.pdf

12 páginas

He publicado nuevos examenes de 2º Arquitectura de Computadores: Parcial-2-Junio-Julio-2023.pdf

8 páginas

He publicado nuevos examenes de 2º Arquitectura de Computadores: Parcial-2-Junio-Julio-2022.pdf

9 páginas

apuntes

-

Anotaciones y ejemplos en tranparencias

He publicado nuevos apuntes de 2º Arquitectura de Computadores: Anotaciones y ejemplos en tranparencias

Tema2.pdf
Tema1.pdf
Tema4.pdf
Tema3.pdf

He publicado nuevos apuntes de 2º Arquitectura de Computadores: resumen-tema-3.pdf

14 páginas

He publicado nuevos apuntes de 2º Arquitectura de Computadores: APUNTES-EXPLICADOS-SEGUNDO-PARCIAL-ARQUITECTURA.pdf

5 páginas

He publicado nuevos apuntes de 2º Arquitectura de Computadores: Comandos-compilar-proyecto.pdf

2 páginas
Anónimo

@Anónimo

He publicado nuevos apuntes de 2º Arquitectura de Computadores: Apuntes-1o-Parcial--Examenes.pdf

29 páginas

He publicado nuevos apuntes de 2º Arquitectura de Computadores: Resumen tema 2.pdf

18 páginas