chevron_left
chevron_right
Todo
Apuntes
Ejercicios
Exámenes
Otros
Prácticas
chevron_left
chevron_right

He publicado nuevos ejercicios de 2º Arquitectura y Organización de Computadores: Ejercicios-2Bits.pdf

5 páginas

He publicado nuevos apuntes de 2º Arquitectura y Organización de Computadores: Apuntes-CPU.pdf

6 páginas

ejercicios

-

✅Examen 2✅

He publicado nuevos ejercicios de 2º Arquitectura y Organización de Computadores: ✅Examen 2✅

21-2017.pdf
21-2022.pdf
21-2023.pdf
21-2024.pdf
22Ejecucion-loads.pdf
22Predictor.pdf

apuntes

-

TEORIA-EJES-EXAMENES EJ 2 TEMA 2

He publicado nuevos apuntes de 2º Arquitectura y Organización de Computadores: TEORIA-EJES-EXAMENES EJ 2 TEMA 2

teoria-tema-2.pdf
ej-1-tema-2.pdf
ej-2-tema-2.pdf
ej-2-examen-1-12-3-2020.pdf
ej-2-examen-1-27-3-2017.pdf

apuntes

-

teoría-ejes-examenes EJ 1 tema 1

He publicado nuevos apuntes de 2º Arquitectura y Organización de Computadores: teoría-ejes-examenes EJ 1 tema 1

teoria-tema-1.pdf
ej-1-tema-1.pdf
ej-2-tema-1.pdf
ej-3-tema-1.pdf
ej-4-tema-1.pdf
ej-1-examen-1-5-3-2024.pdf

ejercicios

-

matrices tema 2 y examenes

He publicado nuevos ejercicios de 2º Arquitectura y Organización de Computadores: matrices tema 2 y examenes

ej-1.1-matrices-tema-2.pdf
ej-1.2-matrices-tema-2.pdf
ej-2.1-matrices-tema-2.pdf
ej-22-matrices-tema-2.pdf
explicaciones-1.1-matrices-tema-1.pdf
explicaciones-12-matrices-tema-1.pdf

ejercicios

-

EJE 2 TEMA 5

He publicado nuevos ejercicios de 2º Arquitectura y Organización de Computadores: EJE 2 TEMA 5

EJ-1-17-5-2022-o-1-6-2023.pdf
EJ-2-21-5-2021.pdf
EJ-3-29-5-2017.pdf
EJ-4-23-5-2020.pdf

He publicado nuevos apuntes de 2º Arquitectura y Organización de Computadores: apuntes eje 2 del tema 5.pdf

1 página

He publicado nuevos apuntes de 2º Arquitectura y Organización de Computadores: apuntes eje 1 del tema 5.pdf

1 página

ejercicios

-

EJE 1 TEMA 5

He publicado nuevos ejercicios de 2º Arquitectura y Organización de Computadores: EJE 1 TEMA 5

EJ-1.pdf
EJ-2.pdf
EJ-3.pdf
EJ-4.pdf
EJ-5.pdf
EJ-6.pdf

ejercicios

-

EJERCICIOS DE REORDENAR SALTOS

He publicado nuevos ejercicios de 2º Arquitectura y Organización de Computadores: EJERCICIOS DE REORDENAR SALTOS

EJ-1.pdf
EJ-2.pdf
EJ-3.pdf
EJ-4.pdf

ejercicios

-

EJERCICIOS DE PREDICCION DE SALTOS

He publicado nuevos ejercicios de 2º Arquitectura y Organización de Computadores: EJERCICIOS DE PREDICCION DE SALTOS

EJ-1.pdf
EJ-2.pdf
EJ-3.pdf
EJ-4.pdf
EJ-5.pdf
EJ-6.pdf

apuntes

-

EXPLICACION TEMA 4 TABLAS

He publicado nuevos apuntes de 2º Arquitectura y Organización de Computadores: EXPLICACION TEMA 4 TABLAS

AYOC1.pdf
AYOC2.pdf

ejercicios

-

EJERCICOS TEMA 4 TABLAS

He publicado nuevos ejercicios de 2º Arquitectura y Organización de Computadores: EJERCICOS TEMA 4 TABLAS

EJ-1.pdf
EJ-2.pdf
ej-3.pdf
ej-4.pdf
ej-5.pdf
ej-6.pdf

Plantilla para hacer los ejercicios del tema 4 para practicar, con espacio extra

1 página

practicas

-

Prácticas

He publicado nuevos practicas de 2º Arquitectura y Organización de Computadores: Prácticas

Pract01.pdf
Pract02.pdf
Miniatura no disponible
Pract02.zip
Miniatura no disponible
Pract01.zip

examenes

-

Exámenes

He publicado nuevos examenes de 2º Arquitectura y Organización de Computadores: Exámenes

control-1.1-2021.pdf
control-1.2-2021.pdf
control-2.1-2021.pdf
control-2.2-2021.pdf
control-3.1-2021.pdf
Control-1.1-2022.pdf
Anónimo

@Anónimo

ejercicios

-

Ejercicios

He publicado nuevos ejercicios de 2º Arquitectura y Organización de Computadores: Ejercicios

Ej.MemoriaEntrelazada.pdf
EjercicioTema4.pdf
EjercicioTema4sol.pdf
ProblemasT1.pdf
ProblemasT2.pdf
ProblemasT3.pdf
Anónimo

@Anónimo

apuntes

-

Apuntes asignatura

He publicado nuevos apuntes de 2º Arquitectura y Organización de Computadores: Apuntes asignatura

0.Presentacion2.pdf
1.Rendimiento2.pdf
2.Org.Memoria2.pdf
3.Org.CPU2.pdf
4.ILP2.pdf
5.Par.Proceso2.pdf

He publicado nuevos ejercicios de 2º Arquitectura y Organización de Computadores: AYOCEjercicios.pdf

11 páginas

He publicado nuevos apuntes de 2º Arquitectura y Organización de Computadores: ApuntesEjerciciosControles.pdf

28 páginas

He publicado nuevos examenes de 2º Arquitectura y Organización de Computadores: AYOCControlesResueltos.pdf

13 páginas

He publicado nuevos apuntes de 2º Arquitectura y Organización de Computadores: AYOCApuntes.pdf

4 páginas
Anónimo

@Anónimo

examenes

-

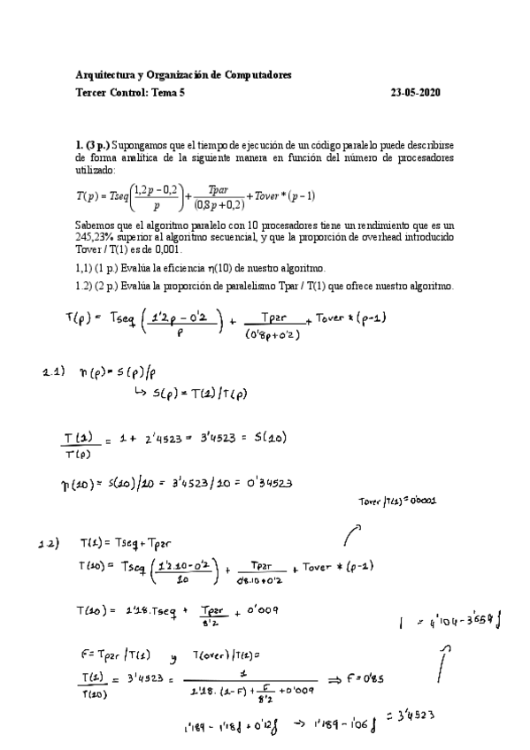
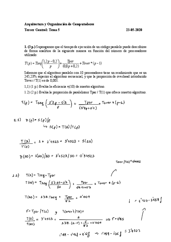
EXAMENES RESUELTOS T5

He publicado nuevos examenes de 2º Arquitectura y Organización de Computadores: EXAMENES RESUELTOS T5

IMG0439.PNG
IMG0440.PNG
IMG0441.PNG
IMG0442.PNG
IMG0443.PNG
Anónimo

@Anónimo

examenes

-

EXAMENES RESUELTOS T3-4

He publicado nuevos examenes de 2º Arquitectura y Organización de Computadores: EXAMENES RESUELTOS T3-4

IMG0427.PNG
IMG0428.PNG
IMG0429.PNG
IMG0430.PNG
IMG0431.PNG
IMG0432.PNG
Anónimo

@Anónimo

examenes

-

EXAMENES RESUELTOS T1-2

He publicado nuevos examenes de 2º Arquitectura y Organización de Computadores: EXAMENES RESUELTOS T1-2

IMG0444.PNG
IMG0445.PNG
IMG0446.PNG
IMG0447.PNG
IMG0448.PNG
IMG0449.PNG

He publicado nuevos examenes de 2º Arquitectura y Organización de Computadores: CONTROL-T3T4-22017230501183854.pdf

6 páginas

He publicado nuevos examenes de 2º Arquitectura y Organización de Computadores: CONTROL-T3T4-12017230501171206.pdf

6 páginas

He publicado nuevos examenes de 2º Arquitectura y Organización de Computadores: CONTROL-T3T4-12018230526112531.pdf

5 páginas

He publicado nuevos examenes de 2º Arquitectura y Organización de Computadores: CONTROL-T3T4-2015230527164056.pdf

4 páginas

He publicado nuevos examenes de 2º Arquitectura y Organización de Computadores: CONTROL-T3T4-22020230531193726.pdf

6 páginas

He publicado nuevos examenes de 2º Arquitectura y Organización de Computadores: CONTROL-T3T4-12021230529192358.pdf

4 páginas

He publicado nuevos examenes de 2º Arquitectura y Organización de Computadores: CONTROL-T5-2021230531114224.pdf

5 páginas

He publicado nuevos examenes de 2º Arquitectura y Organización de Computadores: CONTROL-T5-2020230531114432.pdf

7 páginas

He publicado nuevos examenes de 2º Arquitectura y Organización de Computadores: CONTROL-T5-2019230531113058.pdf

5 páginas

He publicado nuevos examenes de 2º Arquitectura y Organización de Computadores: ENSAYO-T1T2-12018230308085346-1.pdf

6 páginas

He publicado nuevos examenes de 2º Arquitectura y Organización de Computadores: ENSAYO-T1T2-22018230307223204-1.pdf

5 páginas

He publicado nuevos examenes de 2º Arquitectura y Organización de Computadores: ENSAYO-T1T2-22017230308094540.pdf

4 páginas

He publicado nuevos examenes de 2º Arquitectura y Organización de Computadores: ENSAYO-T1T2-12021230307225841-1.pdf

6 páginas

He publicado nuevos examenes de 2º Arquitectura y Organización de Computadores: ENSAYO-T1T2-12020230307120051-1.pdf

5 páginas

He publicado nuevos examenes de 2º Arquitectura y Organización de Computadores: ENSAYO-T1T2-12017230308083746-1.pdf

5 páginas
Anónimo

@Anónimo

apuntes

-

Enunciados examenes

He publicado nuevos apuntes de 2º Arquitectura y Organización de Computadores: Enunciados examenes

Control-1.2sol.pdf
Control-2.1g1-2022.pdf
Control-2.1g2-2022.pdf
Control-2.1sol.pdf
Control2.1sol.pdf
Control1.2sol.pdf