Astrofísica Estelar

chevron_left
chevron_right
Todo
Apuntes
Ejercicios
Exámenes
Otros
Test
Trabajos
chevron_left
chevron_right

ejercicios

-

Entregables de todos los temas

He publicado nuevos ejercicios de 4º Astrofísica Estelar: Entregables de todos los temas

Entregable-1.pdf
Entregable-2.pdf
Entregable-3.pdf
Entregable-4.pdf
Entregable-5.pdf
Entregable-6.pdf

He publicado nuevos apuntes de 4º Astrofísica Estelar: Apuntes-estelar-completos.pdf

156 páginas

ejercicios

-

Ejercicios resueltos

He publicado nuevos ejercicios de 4º Astrofísica Estelar: Ejercicios resueltos

Ejercicios-Tema-1.pdf
Ejercicios-Tema-2.pdf
Ejercicios-Tema-3.pdf
Ejercicios-Tema-4.pdf
Ejercicios-Tema-5.pdf
Ejercicios-Tema-6.pdf

examenes

-

Resolución de exámenes

Los he corregido con los apuntes ya que no venían resueltos. Por eso hay cosas que pueden estar mal o incompletas

examenene22.pdf
examenene22-bis.pdf
examenene23.pdf
examenjun22.pdf
examenjun23.pdf

He publicado nuevos apuntes de 4º Astrofísica Estelar: Formulario.pdf

2 páginas

examenes

-

PREGUNTAS Y PROBLEMAS DE EXAMEN ASTRO ESTELAR 2024

He publicado nuevos examenes de 4º Astrofísica Estelar: PREGUNTAS Y PROBLEMAS DE EXAMEN ASTRO ESTELAR 2024

Indice-Preguntas-y-Problemas-de-examenASTRO-ESTELAR-2024.pdf
Preguntas-y-Problemas-de-examenASTRO-ESTELAR-2024.pdf

apuntes

-

TEORIA ASTRO ESTELAR 2024

He publicado nuevos apuntes de 4º Astrofísica Estelar: TEORIA ASTRO ESTELAR 2024

Teoria-por-temasASTRO-ESTELAR-2024.pdf
Indice-TeoriaASTRO-ESTELAR-2024.pdf

He publicado nuevos examenes de 4º Astrofísica Estelar: Preguntas-de-teoria-de-examen.pdf

16 páginas

He publicado nuevos apuntes de 4º Astrofísica Estelar: Preguntas-teoricas-de-examenes-2022-y-2023.pdf

18 páginas

He publicado nuevos apuntes de 4º Astrofísica Estelar: Formulario.pdf

2 páginas

He publicado nuevos ejercicios de 4º Astrofísica Estelar: Problemas-de-examenes-2022-y-2023.pdf

11 páginas

He publicado nuevos examenes de 4º Astrofísica Estelar: Problemas-de-examen-2022-resueltos.pdf

3 páginas

He publicado nuevos examenes de 4º Astrofísica Estelar: Problemas-de-examen-2023-resueltos.pdf

3 páginas

He publicado nuevos apuntes de 4º Astrofísica Estelar: Formulario-Astrofisica-Estelar.pdf

2 páginas

He publicado nuevos test de 4º Astrofísica Estelar: Preguntas-Corregidas-Test-Estelar.pdf

4 páginas

ejercicios

-

Ejercicios resueltos por temas

He publicado nuevos ejercicios de 4º Astrofísica Estelar: Ejercicios resueltos por temas

Tema-1-Fundamentos.pdf
Tema-2-Equilibrio-Mecanico-y-Termico.pdf
Tema-3-Ec.de-Estado-Interior-Estelar.pdf
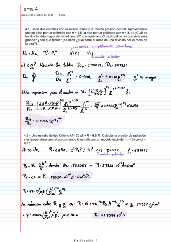
Tema-4-Modelos-Politropicos.pdf
Tema-5-Transporte-de-Energia.pdf
Tema-6-Nucleosintesis-Estelar.pdf

He publicado nuevos ejercicios de 4º Astrofísica Estelar: Evaluacion-Continua-Tema-8.pdf

2 páginas

He publicado nuevos ejercicios de 4º Astrofísica Estelar: Evaluacion-Continua-Tema-7.pdf

3 páginas

He publicado nuevos ejercicios de 4º Astrofísica Estelar: Evaluacion-Continua-Tema-6.pdf

3 páginas

He publicado nuevos ejercicios de 4º Astrofísica Estelar: Evaluacion-Continua-Tema-5.pdf

5 páginas

He publicado nuevos ejercicios de 4º Astrofísica Estelar: Evaluacion-Continua-Tema-4.pdf

3 páginas

He publicado nuevos ejercicios de 4º Astrofísica Estelar: Evaluacion-Continua-Tema-3.pdf

4 páginas

He publicado nuevos ejercicios de 4º Astrofísica Estelar: Evaluacion-Continua-Tema-2.pdf

3 páginas

He publicado nuevos ejercicios de 4º Astrofísica Estelar: Evaluacion-Continua-Tema-1.pdf

2 páginas

He publicado nuevos trabajos de 4º Astrofísica Estelar: Modelodeinteriorestelar.pdf

16 páginas

trabajos

-

Ejercicios entregables 22-23

He publicado nuevos trabajos de 4º Astrofísica Estelar: Ejercicios entregables 22-23

Tema1.pdf
Tema2-Ej2.pdf
Tema3-Ej2.pdf
Tema3-Ej5.pdf
Tema4-Ej3.pdf
Tema5-Ej1.pdf

apuntes

-

SOLUCIONES Examanes

He publicado nuevos apuntes de 4º Astrofísica Estelar: SOLUCIONES Examanes

examenene22-1.pdf
examenene23.pdf
examenjun22.pdf

He publicado nuevos otros de 4º Astrofísica Estelar: GUIA-DOCENTE-Astrofisica-Estelar.pdf

3 páginas

He publicado nuevos apuntes de 4º Astrofísica Estelar: Resumen-T8-T12.pdf

19 páginas

He publicado nuevos apuntes de 4º Astrofísica Estelar: Resumen-T8.pdf

4 páginas

He publicado nuevos apuntes de 4º Astrofísica Estelar: formulario.pdf

4 páginas

He publicado nuevos apuntes de 4º Astrofísica Estelar: Formulario-Estelar.pdf

pdf

He publicado nuevos ejercicios de 4º Astrofísica Estelar: CuadernoEjercicios.pdf

9 páginas

ejercicios

-

Ejercicios resueltos

He publicado nuevos ejercicios de 4º Astrofísica Estelar: Ejercicios resueltos

Tema-1.pdf
Tema-2.pdf
Tema-2.pdf
Tema-3.pdf
Tema-4.pdf
Tema-5.pdf

test

-

Entregables resueltos

He publicado nuevos test de 4º Astrofísica Estelar: Entregables resueltos

Entregable-1.pdf
Entregable-2.pdf
Entregable-3.pdf
Entregable-4.pdf
Entregable-5.pdf
Entregable-6.pdf

apuntes

-

Apuntes Latex

He publicado nuevos apuntes de 4º Astrofísica Estelar: Apuntes Latex

2. Equilibrio mecánico y térmico.pdf
1. Introducción.pdf
4. Modelos politrópicos.pdf
3. Ecuación de estado.pdf
5. Transporte de energía.pdf
6. Nucleosíntesis estelar.pdf
Anónimo

@Anónimo

ejercicios

-

Entregas Estelar curso 20-21

He publicado nuevos ejercicios de 4º Astrofísica Estelar: Entregas Estelar curso 20-21

ENTREGA-1-Astro-Estelar-2021.pdf
ENTREGA-2-Astro-Estelar-2021.pdf
ENTREGA-3-Astro-Estelar-2021.pdf

examenes

-

repite preguntas en el examen

He publicado nuevos examenes de 4º Astrofísica Estelar: repite preguntas en el examen

Febrero-2013.pdf
Septiembre-2014.pdf
Febrero-2017.pdf
Febrero-2015.pdf
Diciembre-2016-RESUELTO.pdf
Septiembre-2015.pdf

apuntes

-

Entregables 2020/2021

He publicado nuevos apuntes de 4º Astrofísica Estelar: Entregables 2020/2021

ASTROFISICA-ESTELAR-ENTREGABLE-1.pdf
ASTROFISICA-ESTELAR-ENTREGABLE-2.pdf
ASTROFISICA-ESTELAR-ENTREGABLE-3.pdf

He publicado nuevos apuntes de 4º Astrofísica Estelar: ASTROFISICA-ESTELAR-FORMULARIO.pdf

3 páginas

He publicado nuevos ejercicios de 4º Astrofísica Estelar: ASTROFISICA-ESTELAR-TODOS-LOS-PROBLEMAS.pdf

17 páginas

He publicado nuevos apuntes de 4º Astrofísica Estelar: ASTROFISICA-ESTELAR-HIPER-RESUMIDO.pdf

21 páginas
Anónimo

@Anónimo

apuntes

-

Teoría con ANOTACIONES 20-21

He publicado nuevos apuntes de 4º Astrofísica Estelar: Teoría con ANOTACIONES 20-21

Tema-4.pdf
Tema-5.pdf
Tema-1-Preliminares.pdf
Tema-6.pdf
Tema-3.pdf
Tema-4.pdf
Anónimo

@Anónimo

He publicado nuevos examenes de 4º Astrofísica Estelar: Parcial-de-Astrofisica-Estelar-Revision-del-intento.pdf

7 páginas
Anónimo

@Anónimo

He publicado nuevos ejercicios de 4º Astrofísica Estelar: PROBLEMAS-HOJA-2-ASTROFISICA-ESTELAR-RESUELTOS.pdf

9 páginas
Anónimo

@Anónimo

He publicado nuevos ejercicios de 4º Astrofísica Estelar: Hoja-1-resuelto-Estelar.pdf

9 páginas

apuntes

-

APUNTES Astrofísica Estelar

He publicado nuevos apuntes de 4º Astrofísica Estelar: APUNTES Astrofísica Estelar

Astrofisica-estelar-tema-8.pdf
Astrofisica-estelar-tema-9.pdf
Astrofisica-estelar-tema-10.pdf
Astrofisica-estelar-tema-11.pdf

He publicado nuevos apuntes de 4º Astrofísica Estelar: Evolucion-estelar.pdf

4 páginas
Anónimo

@Anónimo

examenes

-

EXAMENES RESUELTOS

He publicado nuevos examenes de 4º Astrofísica Estelar: EXAMENES RESUELTOS

Febrero-2015.pdf
Parcial-2014.pdf
Parcial-2013-Elisa-de-Castro.pdf
Febrero-2013-Elisa-de-Castro.pdf

He publicado nuevos apuntes de 4º Astrofísica Estelar: RESUMEN-2-PARTE20200114113525.pdf

3 páginas

He publicado nuevos apuntes de 4º Astrofísica Estelar: ASTRO-ESTELAR-2-PARTE20200114113328.pdf

7 páginas

He publicado nuevos apuntes de 4º Astrofísica Estelar: ASTRO-ESTELAR-1-PARTE20200114113021.pdf

14 páginas

Básicamente son todos los ejercicios que se hicieron. Si los entiendes, apruebas.

46 páginas

Si os gusta subo todos los ejercicios resueltos de ese año, con mucho mimo.

8 páginas

He publicado nuevos apuntes de 4º Astrofísica Estelar: DOC-20190519-WA0004.pdf

41 páginas

Apuntes a LaTeX de teoría completos de astrofísica estelar, con los problemas resueltos al final.

130 páginas

He publicado nuevos apuntes de 4º Astrofísica Estelar: Preguntas teoria.pdf

7 páginas

He publicado nuevos apuntes de 4º Astrofísica Estelar: MI apuntes.pdf

235 páginas
¡Estás al día!

¡Estás al día!

Has visto todos los archivos