Todo
Apuntes
Ejercicios
Exámenes
Otros
publication
Test
Trabajos
chevron_left
chevron_right

apuntes

-

TEMAS ASTRO :)

He publicado nuevos apuntes de 3º Astrofísica: TEMAS ASTRO :)

TEMA.5-Formacion-Estelar.pdf
TEMA.3-Estrellas.pdf
TEMA.4-El-Sol.pdf
Tema.2-La-observacion-Astronomica-rpx.pdf
TEMA.-1-Historia-de-la-Astronomia.pdf
TEMA.6-Evolucion-estelar.pdf

He publicado nuevos apuntes de 3º Astrofísica: BLOQUE-II-ESTRELLAS-TEMA-2-6.pdf

77 páginas

He publicado nuevos apuntes de 3º Astrofísica: BLOQUE-I-INTRODUCCION-TEMA-1.pdf

16 páginas

apuntes

-

TodoAstro-Latex

He publicado nuevos apuntes de 3º Astrofísica: TodoAstro-Latex

Astro5EvolucionEstelar.pdf
Astro4FormacionEstelar.pdf
Astro3Sol.pdf
Astro2Parametros.pdf

He publicado nuevos apuntes de 3º Astrofísica: Examen-T1-Observacion-Astronomica-Ma-Africa-251014101633.pdf

2 páginas

He publicado nuevos ejercicios de 3º Astrofísica: Ejercicios-1.-Observacion-Astronomica.pdf

5 páginas

He publicado nuevos ejercicios de 3º Astrofísica: Problemas-Entregables.pdf

11 páginas

Hay información extra en los recuadros azules, para quien le interese. Se ha intentado que el temario esté más explicado y sea más entendible.

13 páginas

Hay información extra en los recuadros azules, para quien le interese. Se ha intentado que el temario esté más explicado y sea más entendible.

15 páginas

Hay información extra en los recuadros azules, para quien le interese. Se ha intentado que el temario esté más explicado y sea más entendible.

13 páginas

Hay información extra en los recuadros azules, para quien le interese. Se ha intentado que el temario esté más explicado y sea más entendible.

6 páginas

He publicado nuevos apuntes de 3º Astrofísica: Apuntes-T6-Parametros-estelares.pdf

6 páginas

He publicado nuevos apuntes de 3º Astrofísica: Apuntes-T1213-Naturaleza-dinamica-y-evolucion-de-galxias.pdf

8 páginas

apuntes

-

RESÚMENES Astrofísica (T7 a T15)

Resúmenes de los temas 7 al 15 de Astrofísica sencillos y simplificados.

Tema-7-Formacion-estelar.pdf
Tema-8-El-Sol.pdf
Tema-9-Evolucion-estelar.pdf
Tema-10-Muerte-de-las-estrellas.pdf
Tema-11-Via-Lactea.pdf
Tema-12-La-Naturaleza-de-las-galaxias.pdf

apuntes

-

RESÚMENES Astrofísica (T1 a T6)

Resúmenes de los temas 1 al 6 de Astrofísica sencillos y simplificados.

Tema-1-Historia-de-la-Astronomia.pdf
Tema-2-La-Observacion-Astronomica.pdf
Tema-3-Introduccion-al-sistema-solar.pdf
Tema-4-Fisica-del-sistema-solar.pdf
Tema-5-Exoplanetas.pdf
Tema-6-Parametros-estelares.pdf

He publicado nuevos apuntes de 3º Astrofísica: APUNTES-ASTRO-Tema9-Evolucion-estelar.pdf

5 páginas

He publicado nuevos apuntes de 3º Astrofísica: APUNTES-ASTRO-Tema8-El-Sol.pdf

5 páginas

He publicado nuevos apuntes de 3º Astrofísica: APUNTES-ASTRO-Tema7-Formacion-estelar.pdf

5 páginas

También está subido por temas:)

113 páginas

apuntes

-

Apuntes por temas a LaTeX 2024-25

ERRATA T13: En los encuentros rápidos las galaxias NO se fusionan.

T1-Historia-de-la-astronomia.pdf
T2-Observaciones-astronomicas.pdf
T3-El-sistema-solar.pdf
T4-Fisica-planetaria.pdf
T5-Exoplanetas.pdf
T6-Parametros-estelares.pdf

He publicado nuevos apuntes de 3º Astrofísica: Exoplanetas.pdf

17 páginas

He publicado nuevos apuntes de 3º Astrofísica: PLANETAS.pdf

14 páginas

He publicado nuevos apuntes de 3º Astrofísica: INTRODUCCION.pdf

8 páginas

He publicado nuevos apuntes de 3º Astrofísica: GALAXIAS.pdf

29 páginas

He publicado nuevos apuntes de 3º Astrofísica: ESTRUCTURA-Y-COSMOLOGIA.pdf

18 páginas

He publicado nuevos apuntes de 3º Astrofísica: ESTRELLAS.pdf

31 páginas

Entregable resuelto de forma clara y sencilla completo

16 páginas

Documento fácil para sacar un 10 asegurado.

92 páginas

He publicado nuevos apuntes de 3º Astrofísica: Astro-apuntes-problemas.pdf

44 páginas

He publicado nuevos apuntes de 3º Astrofísica: Apuntes-completosASTROFISICA-2022.pdf

50 páginas

Profesores buenos para astrofisica?

cuales son los profesores buenos para astrofisica?

He publicado nuevos apuntes de 3º Astrofísica: Resumen-astrophysics-in-a-nutshell.pdf

38 páginas

He publicado nuevos apuntes de 3º Astrofísica: Teoria-Astrofisica-2023-2024.pdf

71 páginas

apuntes

-

Apuntes_23_24

He publicado nuevos apuntes de 3º Astrofísica: Apuntes_23_24

Tema-3ApuntesElSolAstro.pdf
Tema-4ApuntesEl-Sistema-solarAstro-pdf.pdf
Tema-5ApuntesParametrosestelaresAstro.pdf

apuntes

-

apuntes astro (temas 6-15)

He publicado nuevos apuntes de 3º Astrofísica: apuntes astro (temas 6-15)

15-cosmologia.pdf
6-formacion-estelar.pdf
7-exoplanetas.pdf
8-evolucion-estelar.pdf
9-muerte-de-las-estrellas.pdf
10-via-lactea.pdf

He publicado nuevos apuntes de 3º Astrofísica: PRIMEROS-EXAMENES-DE-ASTRO.pdf

27 páginas

He publicado nuevos ejercicios de 3º Astrofísica: Problemas-resueltos-parametros-estelares.pdf

5 páginas
Anónimo

@Anónimo

examenes

-

Examenes (Sin resolver)

He publicado nuevos examenes de 3º Astrofísica: Examenes (Sin resolver)

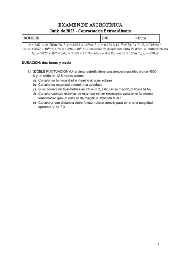
examen202301.pdf
examen202306.pdf
Anónimo

@Anónimo

apuntes

-

Apuntes a Latex

Esta información está sacada de los apuntes proorcionados por los profes. La mayoría del texto no es original (texto no creado por el autor, pero con alguna edición), pero se reduce el volumen de papel a latex. Por si a alguien le viene bien:)

ApuntesastrofisicaII.pdf
ApuntesastrofisicaI.pdf
Anónimo

@Anónimo

apuntes

-

TEMARIO

He publicado nuevos apuntes de 3º Astrofísica: TEMARIO

TEMA1.pdf
TEMA12.pdf
TEMA13.pdf
TEMA14.pdf
TEMA15.pdf
Anónimo

@Anónimo

apuntes

-

Exámenes

He publicado nuevos apuntes de 3º Astrofísica: Exámenes

examensinresolver220-1.pdf
examensinresolver220-2.pdf
Anónimo

@Anónimo

apuntes

-

Exámenes

He publicado nuevos apuntes de 3º Astrofísica: Exámenes

examenes1.pdf
examenes2.pdf
examenes3.pdf
examenes4.pdf

apuntes

-

Ejercicios resueltos

He publicado nuevos apuntes de 3º Astrofísica: Ejercicios resueltos

ejerciciostema5.pdf
ejerciciostema12.pdf

He publicado nuevos apuntes de 3º Astrofísica: Astrophysics-resumencompleto-ingles.pdf

159 páginas

apuntes

-

Astrofísica Apuntes completos

He publicado nuevos apuntes de 3º Astrofísica: Astrofísica Apuntes completos

Astrofisica2.pdf
Astrofisica.pdf

apuntes

-

Apuntes por temas

He publicado nuevos apuntes de 3º Astrofísica: Apuntes por temas

T1-Historia.pdf
T2-Observacion.pdf
T3-El-Sol.pdf
T4 Sistema Solar.pdf
T5-Parametros-estelares.pdf
T6-Medio-interestelar.pdf

He publicado nuevos apuntes de 3º Astrofísica: Ejercicios-clase.pdf

6 páginas

He publicado nuevos apuntes de 3º Astrofísica: Apuntes-Tema-4.pdf

5 páginas

apuntes

-

APUNTES POR TEMAS PARA SACAR UN 10

He publicado nuevos apuntes de 3º Astrofísica: APUNTES POR TEMAS PARA SACAR UN 10

INDICE.pdf
TEMA-1.pdf
TEMA-2.pdf
TEMA-3.pdf
TEMA-4.pdf
TEMA-5.pdf

He publicado nuevos apuntes de 3º Astrofísica: APUNTES-COMPLETOS-PARA-SACAR-UN-10.pdf

203 páginas

He publicado nuevos apuntes de 3º Astrofísica: Apuntes-Tema-3.pdf

5 páginas

He publicado nuevos ejercicios de 3º Astrofísica: EjerciciosTema2.pdf

2 páginas

He publicado nuevos apuntes de 3º Astrofísica: ApuntesTema3.pdf

8 páginas

He publicado nuevos apuntes de 3º Astrofísica: ApuntesTema4.pdf

9 páginas

He publicado nuevos apuntes de 3º Astrofísica: Apuntes-Tema-2.pdf

3 páginas

He publicado nuevos apuntes de 3º Astrofísica: ApuntesAstrofisica-2021.pdf

177 páginas

He publicado nuevos apuntes de 3º Astrofísica: Esquema-y-resumen-Evolucion-Estelar.pdf

5 páginas

He publicado nuevos apuntes de 3º Astrofísica: ApuntesTema1.pdf

9 páginas

He publicado nuevos ejercicios de 3º Astrofísica: Ejercicos-tema-5-resueltos-Parametros-estelares.pdf

10 páginas

He publicado nuevos ejercicios de 3º Astrofísica: Ejercicios-astrofisica-resueltos.pdf

5 páginas