Astronomia observacional
Teoría de cálculo de eclipses, Francisco Javier Gil Chica
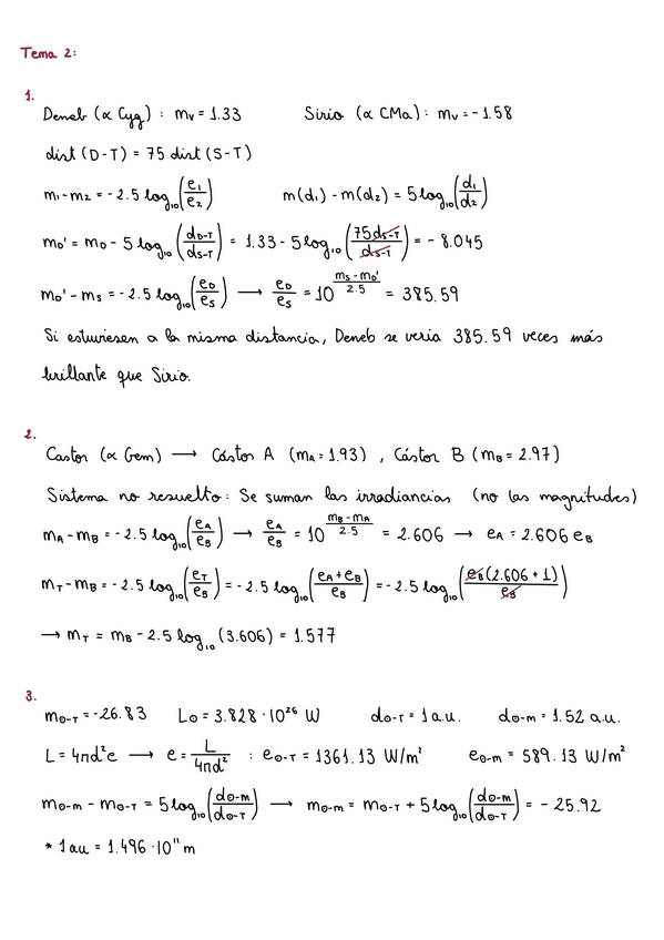
He publicado nuevos apuntes de 4º Astronomia observacional: Apuntes-tema-2-en-latex.pdf
He publicado nuevos apuntes de 4º Astronomia observacional: Apuntes-tema-1-en-latex.pdf
practicas
-
PRÁCTICAS ASTRONOMÍA OBSERVACIONAL (10/10)
He publicado nuevos practicas de 4º Astronomia observacional: PRÁCTICAS ASTRONOMÍA OBSERVACIONAL (10/10)
ejercicios
-
Problemas Astro Observacional 2024/2025
He publicado nuevos ejercicios de 4º Astronomia observacional: Problemas Astro Observacional 2024/2025
He publicado nuevos practicas de 4º Astronomia observacional: Filtros-RC.pdf
He publicado nuevos apuntes de 4º Astronomia observacional: formulario-astronomia.pdf
ejercicios
-
Ejercicios resueltos
He publicado nuevos ejercicios de 4º Astronomia observacional: Ejercicios resueltos
practicas
-
Informes de prácticas
He publicado nuevos practicas de 4º Astronomia observacional: Informes de prácticas
trabajos
-
Prácticas de Laboratorio
He publicado nuevos trabajos de 4º Astronomia observacional: Prácticas de Laboratorio
practicas
-
Informes de 10
He publicado nuevos practicas de 4º Astronomia observacional: Informes de 10
examenes
-
Examenes resueltos astro
Parte problemas
practicas
-
Practicas Observacional (nota: 9.75)
He publicado nuevos practicas de 4º Astronomia observacional: Practicas Observacional (nota: 9.75)
apuntes
-
Examenes
He publicado nuevos apuntes de 4º Astronomia observacional: Examenes
apuntes
-
Practicas COMPLETAS
He publicado nuevos apuntes de 4º Astronomia observacional: Practicas COMPLETAS
He publicado nuevos otros de 4º Astronomia observacional: GUIA-DOCENTE-Astronomia-Observacional.pdf
He publicado nuevos examenes de 4º Astronomia observacional: Examen-resuelto-Diciembre-22-23.pdf
He publicado nuevos examenes de 4º Astronomia observacional: Soluciones-preguntas-examen-tema-3.pdf
He publicado nuevos examenes de 4º Astronomia observacional: Preguntas-tipo-examen-tema-2.pdf
He publicado nuevos examenes de 4º Astronomia observacional: Preguntasexamentema4Astronomia-observacionalsoluciones.pdf
He publicado nuevos examenes de 4º Astronomia observacional: Soluciones-preguntas-de-examentema-1.pdf
practicas
-
Informes de Prácticas
He publicado nuevos practicas de 4º Astronomia observacional: Informes de Prácticas
He publicado nuevos practicas de 4º Astronomia observacional: CieloVirtual2FelixAyllonMunozL1-A.pdf
He publicado nuevos practicas de 4º Astronomia observacional: Cielovirtual1FelixAyllonMunoz.pdf
He publicado nuevos practicas de 4º Astronomia observacional: Luna-y-AlberioFelixAyllonMunoz-L1-A.pdf
practicas
-
Prácticas observación
He publicado nuevos practicas de 4º Astronomia observacional: Prácticas observación
ejercicios
-
Ejercicios resueltos por temas
He publicado nuevos ejercicios de 4º Astronomia observacional: Ejercicios resueltos por temas
examenes
-
Soluciones preguntas tipo
He publicado nuevos examenes de 4º Astronomia observacional: Soluciones preguntas tipo
He publicado nuevos examenes de 4º Astronomia observacional: PreguntastericasT4Fundamentosdelosdetectores.pdf
He publicado nuevos examenes de 4º Astronomia observacional: PreguntastericasT3Ftosdetelescopiospticos.pdf
apuntes
-
Apuntes Latex
He publicado nuevos apuntes de 4º Astronomia observacional: Apuntes Latex
apuntes
-
Apuntes
He publicado nuevos apuntes de 4º Astronomia observacional: Apuntes
practicas
-
Informes
He publicado nuevos practicas de 4º Astronomia observacional: Informes
apuntes
-
Apuntes completos 2020/2021
He publicado nuevos apuntes de 4º Astronomia observacional: Apuntes completos 2020/2021
He publicado nuevos apuntes de 4º Astronomia observacional: Formulario-para-examen.pdf
He publicado nuevos apuntes de 4º Astronomia observacional: Resumenes-Observacional-completos.pdf
ejercicios
-
Ejercicios resueltos
He publicado nuevos ejercicios de 4º Astronomia observacional: Ejercicios resueltos
apuntes
-
Tema 1
He publicado nuevos apuntes de 4º Astronomia observacional: Tema 1
practicas
-
Prácticas
He publicado nuevos practicas de 4º Astronomia observacional: Prácticas
He publicado nuevos apuntes de 4º Astronomia observacional: AstObsGradoprobTema21920.pdf
He publicado nuevos apuntes de 4º Astronomia observacional: NuevoDocumento 2019-05-19 19.00.52.pdf
¡Estás al día!
Has visto todos los archivos