chevron_left
chevron_right
Todo
Apuntes
Ejercicios
Exámenes
Prácticas
Test
Trabajos
chevron_left
chevron_right

examenes

-

EXAMENES RESUELTOS EXPLICADOS

POSIBILIDAD DE FALLOS NUMÉRICOS, PERO LA TEORÍA HA SIDO REVISADA POR LA PROFE (LA VIEJITA).

E241aordinaria.pdf
Septiembre19.pdf
Junio19.pdf
ExJunio2023.pdf
Junio21.pdf
E251aordinaria-1.pdf

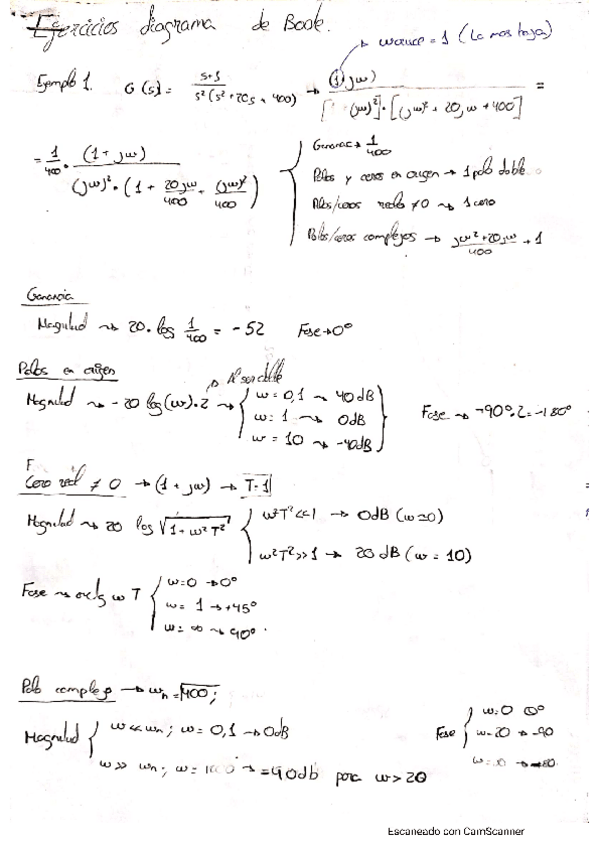
He publicado nuevos ejercicios de 2º Automática: EjerciciosBode.pdf

11 páginas

He publicado nuevos apuntes de 2º Automática: Automatica-Resumen-teoria.pdf

19 páginas

examenes

-

CUESTIONARIOS examen por PRÁCTICA

He publicado nuevos examenes de 2º Automática: CUESTIONARIOS examen por PRÁCTICA

examenp09.pdf
examenp05.pdf
examenp04.pdf
examenp06.pdf
examenp06-2.pdf

practicas

-

PRACTICAS resueltas

He publicado nuevos practicas de 2º Automática: PRACTICAS resueltas

practica01.docx
practica01.pdf
practica08.pdf
practica04.pdf
practica05.pdf
practica03.pdf

He publicado nuevos examenes de 2º Automática: SEGUNDO-PARCIAL-resuelto.pdf

13 páginas

He publicado nuevos ejercicios de 2º Automática: Ejercicios-resueltos-Repaso-de-todo.pdf

6 páginas

He publicado nuevos ejercicios de 2º Automática: Ejercicios-Grafect-resueltos.pdf

5 páginas

ejercicios

-

Ejs resueltos prepración PARCIALES

Haz estos ejercicios y aprueba el primer parcial

Ejercicio-3.pdf
Ejercicio-4.pdf
Ejercicio-1.pdf
Ejercicio-2.pdf
Ejercicio-6.pdf

He publicado nuevos examenes de 2º Automática: PRIMER-PARCIAL-resuelto.pdf

9 páginas

apuntes

-

APUNTES Y FORMULARIO

He publicado nuevos apuntes de 2º Automática: APUNTES Y FORMULARIO

Apuntes-por-temas.pdf
Formulario-por-temas.pdf
Formulario-matlab.pdf

ejercicios

-

TAREAS resueltas

He publicado nuevos ejercicios de 2º Automática: TAREAS resueltas

Tarea1.pdf
Tarea2.pdf
Tarea3.pdf
Tarea4.pdf

He publicado nuevos apuntes de 2º Automática: Resumen-temas-3-4-6.pdf

9 páginas

examenes

-

Exámenes resueltos

He publicado nuevos examenes de 2º Automática: Exámenes resueltos

Febrero-2016-Resuelto.pdf
Febrero-2020-Resuelto.pdf
Febrero-2018-Resuelto.pdf
Febrero-2019-Resuelto.pdf
Febrero-2015-Resuelto.pdf
Febrero-2017-Resuelto.pdf

ejercicios

-

Ejercicios resueltos

He publicado nuevos ejercicios de 2º Automática: Ejercicios resueltos

Ejercicios-cuatro-primeros-temas-II-Resueltos.pdf
Ejercicios-modelado-Amplificadores.pdf
Ejercicios-diagramas-de-Mason.pdf
Ejercicios-cuatro-primeros-temas-I-Resueltos.pdf

trabajos

-

Tareas Resueltas

He publicado nuevos trabajos de 2º Automática: Tareas Resueltas

Tarea-02Resuelta.pdf
Tarea-04Resuelta.pdf
Tarea-03Resuelta.pdf
Tarea-01Resuelta.pdf

He publicado nuevos apuntes de 2º Automática: Resumen-Matlab.pdf

2 páginas

practicas

-

Prácticas Matlab

He publicado nuevos practicas de 2º Automática: Prácticas Matlab

Practica-3Resuelta.pdf
Practica-2Resuelta.pdf
Practica-8Resuelta.pdf
Practica-7Resuelta.pdf
Practica-6Resuelta.pdf
Practica-4Resuelta.pdf

He publicado nuevos test de 2º Automática: Cuestionario3.pdf

8 páginas

He publicado nuevos test de 2º Automática: TestRespFrecEstabilidad2.pdf

7 páginas

He publicado nuevos test de 2º Automática: TestRespFrecTrazado2.pdf

3 páginas

He publicado nuevos test de 2º Automática: TestRespFrecIntro2.pdf

4 páginas

He publicado nuevos test de 2º Automática: TestLdrReglas2.pdf

2 páginas

He publicado nuevos test de 2º Automática: TestLdrReglas2.pdf

2 páginas

He publicado nuevos ejercicios de 2º Automática: Algunos-Ejercicios-Resueltos-Libro-Paz-Moya.pdf

23 páginas

He publicado nuevos test de 2º Automática: TestLdrAngyMod3.pdf

2 páginas

He publicado nuevos test de 2º Automática: TestLdrAngyMod1.pdf

2 páginas

He publicado nuevos test de 2º Automática: TestOrdenSuperior2.pdf

7 páginas

He publicado nuevos test de 2º Automática: TestSegundoOrden2.pdf

4 páginas

He publicado nuevos test de 2º Automática: TestPrimerOrden2.pdf

4 páginas

He publicado nuevos test de 2º Automática: TestPrimerOrden1.pdf

4 páginas

apuntes

-

Tareas teoricas 2019-20

He publicado nuevos apuntes de 2º Automática: Tareas teoricas 2019-20

Tareas-teoricas.pdf

ejercicios

-

Relaciones y ejercicios examens

He publicado nuevos ejercicios de 2º Automática: Relaciones y ejercicios examens

Problemas-Analisis-respuesta-T4.pdf
Problemas-BODE.pdf
Ejercicios-Temas-1-3.pdf
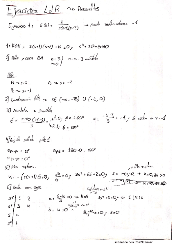
Problemas-LDR.pdf
Problemas-GRAFCET.pdf
Ejercicios-Temas-1-4.pdf

examenes

-

Examen año del Covid-19

He publicado nuevos examenes de 2º Automática: Examen año del Covid-19

P1P2enunciado.pdf
Pregunta1.pdf
prueba-1-P1.pdf
P2P2enunciado.pdf
SistemaSegundoOrden.pdf
Enunciado-pregunta-1.pdf

ejercicios

-

TAREAS TEÓRICAS Enunciado+Solución

He publicado nuevos ejercicios de 2º Automática: TAREAS TEÓRICAS Enunciado+Solución

Tarea-02.pdf
Tarea-03.pdf
Tarea-04-solucion.pdf
Tarea-01.pdf
Tarea-04.pdf
SolucionTareaTeorica03.pdf

apuntes

-

Cuestionarios Resueltos

He publicado nuevos apuntes de 2º Automática: Cuestionarios Resueltos

Preguntas-de-respuesta-en-frecuencia.pdf
CuestionariosTema5.pdf
Preguntas-de-respuesta-en-frecuencia.pdf
Preguntas-de-respuesta-en-frecuencia.pdf
Preguntas-de-sistemas-de-primer-orden.pdf
Preguntas-de-LdR-calculo-de-angulos-y-modulos.pdf

ejercicios

-

Resueltos

He publicado nuevos ejercicios de 2º Automática: Resueltos

SolucionesEjercicioTema3-Completo.pdf
SolucionesEjerciciosClase-Tema4.pdf

ejercicios

-

Problemas Grafcet Resueltos

He publicado nuevos ejercicios de 2º Automática: Problemas Grafcet Resueltos

Taladradora4piezas.pdf
Taladradorapiezas.pdf
Clasificadordepiezas.pdf
Aclaradodesengraseyelectrolisisdepiezas.pdf
2-Carritors-van-y-vienen.pdf

apuntes

-

Apuntes de Automática

He publicado nuevos apuntes de 2º Automática: Apuntes de Automática

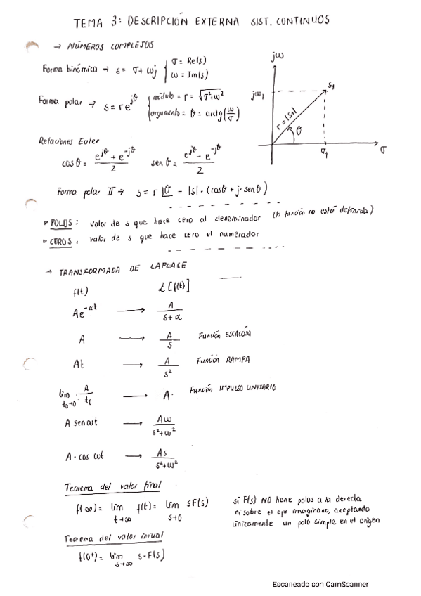
06-Error-en-Estado-Estable-o-Estacionario.pdf
02-Sistemas-Fisicos.pdf
03-Diagramas-de-Bloques.pdf
07-Criterio-de-Estabilidad-de-Routh.pdf
05-Respuesta-en-el-Tiempo-de-un-Sistema-de-Control.pdf
08-Analisis-del-Lugar-Geometrico-de-la-Raices.pdf
Anónimo

@Anónimo

He publicado nuevos apuntes de 2º Automática: PROBLEMAS_DE_AUTOMATICA_CON_SOLUCIONES2012-2013.pdf

6 páginas
Anónimo

@Anónimo

He publicado nuevos apuntes de 2º Automática: EJERCICIOS DE LOS CUATRO PRIMEROS TEMAS-II.pdf

5 páginas
Anónimo

@Anónimo

apuntes

-

tema4

He publicado nuevos apuntes de 2º Automática: tema4

SolucionProblemasTema4.pdf
AutomaticaProblemasTema4.pdf

Incluye ejercicios resueltos de todos los temas

355 páginas
¡Estás al día!

¡Estás al día!

Has visto todos los archivos