chevron_left
chevron_right
Todo
Apuntes
Ejercicios
Exámenes
Prácticas
chevron_left
chevron_right

apuntes

-

Cuestionarios Resueltos

He publicado nuevos apuntes de 3º Automatización Industrial: Cuestionarios Resueltos

Cuestiones-Tema-5.pdf
Cuestiones-Tema-1.pdf
Cuestiones-Tema-4.pdf
Cuestiones-Tema-3.pdf
Cuestiones-Tema-2.pdf

He publicado nuevos apuntes de 3º Automatización Industrial: Problemas-de-examenes-de-auto.pdf

31 páginas

apuntes

-

APUNTES TEMAS + EJERCICIOS RESUELTOS

He publicado nuevos apuntes de 3º Automatización Industrial: APUNTES TEMAS + EJERCICIOS RESUELTOS

TEMA4-AI-V.pdf
Tema3-Aut.pdf
TEMA5.pdf
TEMA1-Aut.pdf
Tema4-AI-2d2.pdf
Tema2-Aut.pdf

apuntes

-

Cuestionarios resueltos

He publicado nuevos apuntes de 3º Automatización Industrial: Cuestionarios resueltos

cuestionario-3-resuelto.pdf
cuestionario-1-resuelto.pdf
cuestionario-2-resuelto.pdf
cuestionario-4.pdf
cuestiones-tema-5-resueltas.pdf

practicas

-

Practicas resueltas

He publicado nuevos practicas de 3º Automatización Industrial: Practicas resueltas

estudio-previo-4.pdf
estudio-previo-3.pdf
estudio-previo-2.pdf
estudio-previo-practica-1.pdf
ejerccicio-tema-4.pdf
practica-5-resuelta.pdf

apuntes

-

Apuntes

He publicado nuevos apuntes de 3º Automatización Industrial: Apuntes

Tema 6. Programación en SFC.pdf
Tema 4. Autómatas Programables.pdf
Tema 3. Automatismos.pdf
Tema 7. Programación en ST.pdf
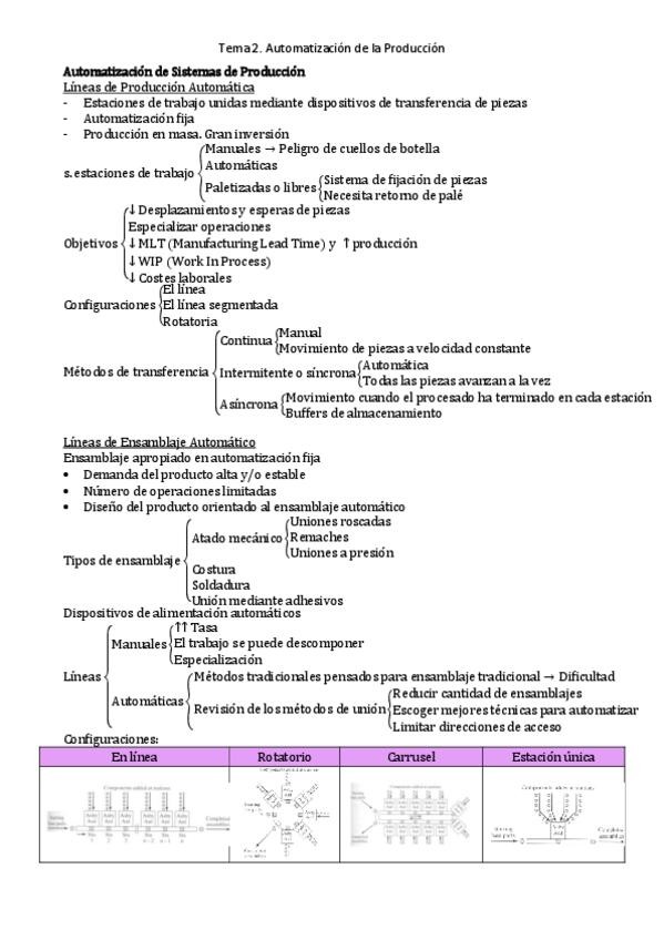
Tema 2. Automatización de la Producción.pdf
Tema 5. Programación en LD.pdf

examenes

-

Exámenes

GITI

Master 2017 Septiembre No R.pdf
Master 2014 Septiembre No R.pdf
Master 2016 Diciembre No R.pdf
2015 Junio No R.pdf
Master 2015 Diciembre No R.pdf
2018 Junio.pdf

practicas

-

Prácticas Resueltas

GITI. Sin corregir

Informe Práctica 4.pdf
Informe Práctica 1.pdf
Enunciado Práctica 4.pdf
Enunciado Práctica 1.pdf
Enunciado Práctica 5.pdf
Enunciado Práctica 2.pdf

GITI

3 páginas

He publicado nuevos examenes de 3º Automatización Industrial: Examen Laboratorio Resuelto.pdf

4 páginas
¡Estás al día!

¡Estás al día!

Has visto todos los archivos