Bases de Datos Avanzadas

chevron_left
chevron_right
Todo
Apuntes
Ejercicios
chevron_left
chevron_right

Chuletario para el 2º examen de Bases de datos avanzadas, esta en su mayoría completo. Tiene fórmulas, explicaciones y algunos ejemplos resueltos del profesor.

12 páginas

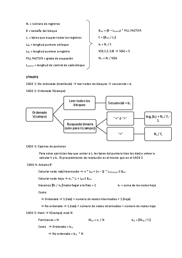
Listado casi completo de fórmulas para el primer examen de teoría de BBDD Avanzadas

9 páginas

He publicado nuevos apuntes de 3º Bases de Datos Avanzadas: S13U3Ejerciciossolu.pdf

15 páginas

He publicado nuevos apuntes de 3º Bases de Datos Avanzadas: ENTRENAMIENTO-PEC-1.pdf

4 páginas

He publicado nuevos apuntes de 3º Bases de Datos Avanzadas: ENTRENAMIENTO-2-PEC-3.pdf

3 páginas

He publicado nuevos apuntes de 3º Bases de Datos Avanzadas: ENTRENAMIENTO-1-PEC-3.pdf

3 páginas

He publicado nuevos apuntes de 3º Bases de Datos Avanzadas: CHULETA-PEC3.pdf

1 página

He publicado nuevos apuntes de 3º Bases de Datos Avanzadas: CHULETA-PEC2.pdf

1 página

He publicado nuevos apuntes de 3º Bases de Datos Avanzadas: CHULETA-PEC1.pdf

1 página

He publicado nuevos apuntes de 3º Bases de Datos Avanzadas: ENTRENAMIENTO-EJERCICIO-PEC2.pdf

3 páginas

He publicado nuevos apuntes de 3º Bases de Datos Avanzadas: EJERCICIOS-PEC2.pdf

16 páginas

He publicado nuevos apuntes de 3º Bases de Datos Avanzadas: PLANIFICACION-DEL-ALMACENAMIENTO-E-INDEXACION.pdf

8 páginas

He publicado nuevos apuntes de 3º Bases de Datos Avanzadas: SESION-1-ARCHIVOS.pdf

6 páginas

He publicado nuevos apuntes de 3º Bases de Datos Avanzadas: SESION-2-INDICES.pdf

8 páginas

Apuntes completos para la PEC3 con Transacciones, Bloqueos y Recuperación

15 páginas

Ejercicios resueltos Tema 2 (Índices)

20 páginas

Ejercicios resueltos tipo Examen PEC1

13 páginas

Unidad 2 completa para PEC2

13 páginas

Ejercicios resueltos tema 1 (organización de archivos)

18 páginas

Ejercicios resuelto de tipo examen PEC1

5 páginas

Apuntes completos para la PEC1

21 páginas

Explicación de ejercicios para t@nt@s

17 páginas

apuntes

-

Apuntes

He publicado nuevos apuntes de 3º Bases de Datos Avanzadas: Apuntes

T1A-PLANIFICACION-DEL-ALAMACENAMIENTO-E-INDEXACION-I.pdf
T1B-PLANIFICACION-DEL-ALAMACENAMIENTO-E-INDEACION-II-ALGORITMOS.pdf
Resumen-casos-tema-1-BBDDAA.pdf
PEC2-EJEJRCICIO-RESUELTO--TEORIA.pdf
T3-TRANSACCIONES-CONCURRENCIA-Y-RECUPERACION.pdf

apuntes

-

tema1

He publicado nuevos apuntes de 3º Bases de Datos Avanzadas: tema1

Miniatura no disponible
tema1.rtf
ajerciciosclaseapuntes.docx

apuntes

-

Bases de Datos Avanzadas, por temas

He publicado nuevos apuntes de 3º Bases de Datos Avanzadas: Bases de Datos Avanzadas, por temas

unidad1.pdf
unidad22.pdf
unidad23.pdf
unidad21.pdf
unidad31.pdf
unidad32.pdf

apuntes

-

bases de datos avanzadas

He publicado nuevos apuntes de 3º Bases de Datos Avanzadas: bases de datos avanzadas

U1-PLANIFICACION-DEL-ALMACENAMIENTO-E-INDEXACION.pdf

apuntes

-

Apuntes y ejercicios de entrenamiento

He publicado nuevos apuntes de 3º Bases de Datos Avanzadas: Apuntes y ejercicios de entrenamiento

Miniatura no disponible
EjercicioentrenamientoPECT3bis2.pptx
Miniatura no disponible
Ejercicioentrenamiento8PECT3concurrencia.pptx
Miniatura no disponible
Ejercicioentrenamiento14PECT3recuperacion.pptx
Miniatura no disponible
Ejercicioentrenamiento57PECT3transacciones.pptx
EjercicioentrenamientoPECT2.pptx
BASES-DE-DATOS-AVANZADAS.pdf

apuntes

-

Laboratorio

He publicado nuevos apuntes de 3º Bases de Datos Avanzadas: Laboratorio

EjercicioentrenamientoPECT1.pdf
recordatorio3.pdf
ejercicioentrenamientoPECT2.pdf
tutorialcortopostgresql.pdf
Repasoalgebra.pdf
formularioPECT2.pdf

apuntes

-

ApuntesTodoAño

He publicado nuevos apuntes de 3º Bases de Datos Avanzadas: ApuntesTodoAño

S01-U1-Almacenamiento-Registros.pdf
Miniatura no disponible
S03-U1-EjemplosarbolesBmas.ppt
S02-U1-Indexacion.pdf
Miniatura no disponible
S03-U1-ejemplosindicesrejilla.ppt
S00-Recordatorioconceptos.pdf
Miniatura no disponible
S03-U1-ejemplosindicesasociativos.ppt
¡Estás al día!

¡Estás al día!

Has visto todos los archivos