chevron_left
chevron_right
Todo
Apuntes
Ejercicios
Exámenes
Trabajos
chevron_left
chevron_right
Anónimo

@Anónimo

Segundo parcial

5 páginas
Anónimo

@Anónimo

He publicado nuevos trabajos de 2º Bases de la Ingeniería Química: TRANAJO-BASES.pdf

7 páginas
Anónimo

@Anónimo

ejercicios

-

ejercicios

He publicado nuevos ejercicios de 2º Bases de la Ingeniería Química: ejercicios

Problema11.pdf
Problema7.pdf
Problema6.pdf
Problema14.pdf
ExamenRecu.pdf
Problema13.pdf
Anónimo

@Anónimo

apuntes

-

Apuntes y Ejercicios

He publicado nuevos apuntes de 2º Bases de la Ingeniería Química: Apuntes y Ejercicios

Metanol-100-120.pdf
TablaA-13M.pdf
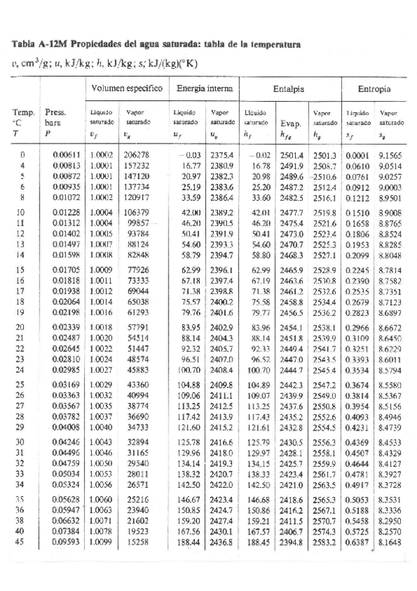
TablaA-12M1.pdf
Physical-Solution.pdf
Anónimo

@Anónimo

examenes

-

ejercicios y exámenes Bases

He publicado nuevos examenes de 2º Bases de la Ingeniería Química: ejercicios y exámenes Bases

TrabajoBases.pdf
¡Estás al día!

¡Estás al día!

Has visto todos los archivos