chevron_left
chevron_right
Todo
Apuntes
Exámenes
Trabajos
chevron_left
chevron_right

apuntes

-

TEORÍA

He publicado nuevos apuntes de 1º BASES MATEMÁTICAS DE LA EDUCACIÓN PRIMARIA: TEORÍA

TEMA-ESTADISTICA.pdf
TEMA-GEOMETRIA.pdf
TEMA-PROBABILIDAD.pdf
Anónimo

@Anónimo

examenes

-

Exámenes BMEP

He publicado nuevos examenes de 1º BASES MATEMÁTICAS DE LA EDUCACIÓN PRIMARIA: Exámenes BMEP

Prueba-recuperacion-corregida.pdf
Prueba-1.pdf
Tipo-test.pdf
parte-2.pdf

He publicado nuevos apuntes de 1º BASES MATEMÁTICAS DE LA EDUCACIÓN PRIMARIA: Tema-7.-Probabilidad.pdf

19 páginas

He publicado nuevos apuntes de 1º BASES MATEMÁTICAS DE LA EDUCACIÓN PRIMARIA: Tema-7.-Estadistica-descriptiva.pdf

39 páginas

He publicado nuevos apuntes de 1º BASES MATEMÁTICAS DE LA EDUCACIÓN PRIMARIA: Tema-5.-Transformaciones-geometricas.pdf

6 páginas

He publicado nuevos apuntes de 1º BASES MATEMÁTICAS DE LA EDUCACIÓN PRIMARIA: TEMA-4-Magnitudes-y-su-medida.pdf

18 páginas

He publicado nuevos apuntes de 1º BASES MATEMÁTICAS DE LA EDUCACIÓN PRIMARIA: TEMA-3-Numeros-Racionales.pdf

21 páginas

He publicado nuevos apuntes de 1º BASES MATEMÁTICAS DE LA EDUCACIÓN PRIMARIA: TEMA-2-Multiplicacion-y-division.pdf

34 páginas

He publicado nuevos apuntes de 1º BASES MATEMÁTICAS DE LA EDUCACIÓN PRIMARIA: TEMA-2-Adicion-y-sustracion.pdf

18 páginas

He publicado nuevos apuntes de 1º BASES MATEMÁTICAS DE LA EDUCACIÓN PRIMARIA: TEMA-1.pdf

36 páginas

He publicado nuevos apuntes de 1º BASES MATEMÁTICAS DE LA EDUCACIÓN PRIMARIA: Formulario-de-descriptiva.pdf

1 página

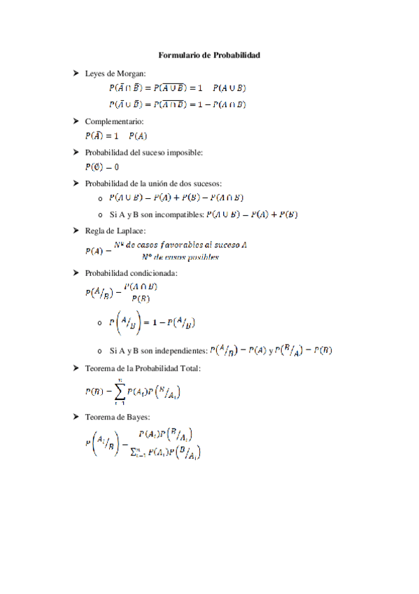
He publicado nuevos apuntes de 1º BASES MATEMÁTICAS DE LA EDUCACIÓN PRIMARIA: Formulario-de-probabilidad.pdf

1 página
Anónimo

@Anónimo

He publicado nuevos trabajos de 1º BASES MATEMÁTICAS DE LA EDUCACIÓN PRIMARIA: ASPECTOS-HISTORICOS-DE-LA-PROPORCIONALIDAD.pdf

4 páginas
¡Estás al día!

¡Estás al día!

Has visto todos los archivos