Bases Químicas de la Biología
Esquema de la tabla de geometría e hibridación que va a entrar en el examen.
He publicado nuevos apuntes de 1º Bases Químicas de la Biología: Reacciones-quimicas-en-disolucion-acuosa.pdf
He publicado nuevos apuntes de 1º Bases Químicas de la Biología: Cinetica-y-equilibrio-quimico.pdf
He publicado nuevos apuntes de 1º Bases Químicas de la Biología: Termodinamica-quimica.pdf
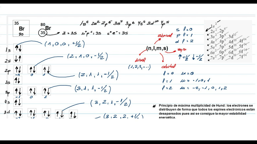
He publicado nuevos apuntes de 1º Bases Químicas de la Biología: Temas-1-enlace-ionico-covalente-y-metalico.pdf
TEMA 2 Y 3 BASES QUÍMICAS DE LA BIOLOGÍA; Apuntes temas termodinámica y cinética química.
He publicado nuevos ejercicios de 1º Bases Químicas de la Biología: Cuestionario-Quimica.pdf
He publicado nuevos apuntes de 1º Bases Químicas de la Biología: TEMA-5-9-quimica-organica.pdf
Ejercicios, ejemplos, explicaciones y resumen de disoluciones.
He publicado nuevos ejercicios de 1º Bases Químicas de la Biología: Relacion-3-Redox.pdf
He publicado nuevos ejercicios de 1º Bases Químicas de la Biología: Relacion-De-quimica-organica.pdf
He publicado nuevos apuntes de 1º Bases Químicas de la Biología: Oxido reduccion.pdf
He publicado nuevos apuntes de 1º Bases Químicas de la Biología: Apuntres-problemas-disoluciones-y-acido-base.pdf
He publicado nuevos apuntes de 1º Bases Químicas de la Biología: Tema-1.-Enlaces-Quimicos.pdf
apuntes
-
EJERCICIOS RESUELTOS EXAMEN
Ejercicios Resueltos Examen Academia Universitaria Formación Manuel Pozo
INICIO DE CURSO BASES QUÍMICAS DE LA BIOLOGÍA ACADEMIA UNIVERSITARIA FORMACIÓN MANUEL POZO Clases modalidad online y presencial. Todas tus CLASES GRABADAS PARA QUE PUEDAS VISUALIZARLAS HASTA EL DÍA DEL EXAMEN Resolución de todos tus ejercicios y exámenes de convocatorias anteriores. Profesores especialidados y temario propio. Acceso a PLATAFORMA VIRTUAL CON CONTENIDO EXCLUSIVO ¡Solicita tu clase de prueba en grupo sin compromiso!

He publicado nuevos apuntes de 1º Bases Químicas de la Biología: TEMA-6-BQB-Hidrocarburos.pdf
He publicado nuevos apuntes de 1º Bases Químicas de la Biología: TEMA-7-BQB-alcoholes-y-compuestos-relacionados.pdf
He publicado nuevos apuntes de 1º Bases Químicas de la Biología: TEMA-8-BQB-aldehidos-cetonas-y-carbohidratos.pdf
He publicado nuevos apuntes de 1º Bases Químicas de la Biología: Quimica-todos-los-temas.pdf
He publicado nuevos apuntes de 1º Bases Químicas de la Biología: Quimica-seminarios.pdf
He publicado nuevos apuntes de 1º Bases Químicas de la Biología: Quimica-formulas.pdf
apuntes
-
TEORÍA ORGÁNICA
Todos los temas de orgánica
ejercicios
-
SEMINARIOS
He publicado nuevos ejercicios de 1º Bases Químicas de la Biología: SEMINARIOS
apuntes
-
Apuntes de química, temas de inorgánica
He publicado nuevos apuntes de 1º Bases Químicas de la Biología: Apuntes de química, temas de inorgánica
apuntes
-
resumen temas
He publicado nuevos apuntes de 1º Bases Químicas de la Biología: resumen temas
He publicado nuevos practicas de 1º Bases Químicas de la Biología: Practicas-quimica-a-mano.pdf
He publicado nuevos apuntes de 1º Bases Químicas de la Biología: Tema-9-Acidos-carboxilicos-y-derivados.pdf
He publicado nuevos apuntes de 1º Bases Químicas de la Biología: Tema-8-Aldehidos-y-Cetonas.pdf
He publicado nuevos apuntes de 1º Bases Químicas de la Biología: Tema-7-Alcoholes-aminas-y-relacionados.pdf
He publicado nuevos apuntes de 1º Bases Químicas de la Biología: Formulacion-inorganica-comun.pdf
He publicado nuevos apuntes de 1º Bases Químicas de la Biología: Bases-quimicas-de-la-biologia-tema-6.pdf
He publicado nuevos apuntes de 1º Bases Químicas de la Biología: Tema-5-Bases-Quimicas-de-la-Biologia.pdf
He publicado nuevos apuntes de 1º Bases Químicas de la Biología: Preguntas-examen-practicas.pdf
apuntes
-
ESQUEMAS VISUALES QUÍMICA
He publicado nuevos apuntes de 1º Bases Químicas de la Biología: ESQUEMAS VISUALES QUÍMICA
He publicado nuevos examenes de 1º Bases Químicas de la Biología: examen-ordinaria-quimica.pdf
apuntes
-
Apuntes Química Orgánica
He publicado nuevos apuntes de 1º Bases Químicas de la Biología: Apuntes Química Orgánica
He publicado nuevos examenes de 1º Bases Químicas de la Biología: Preguntas-Enero.pdf
las preguntas no respondidas estan en los apuntes de mi perfil
He publicado nuevos practicas de 1º Bases Químicas de la Biología: apuntes-examen-practico.pdf
Resumen del tema de Cinética y Equilibrio químico
Resumen del tema de Termodinámica Química
Apuntes y diapositivas del profesor pasadas a documento.
test
-
cuestionarios de quimica corregidos
He publicado nuevos test de 1º Bases Químicas de la Biología: cuestionarios de quimica corregidos
He publicado nuevos apuntes de 1º Bases Químicas de la Biología: Reacciones-organicas-Quimica.pdf
He publicado nuevos apuntes de 1º Bases Químicas de la Biología: BQBT7Alcoholesaminas-y-relacionados.pdf
He publicado nuevos apuntes de 1º Bases Químicas de la Biología: Propiedadestitulo-de-la-reaccion-todos-los-tipos-de-compuestos.pdf
He publicado nuevos apuntes de 1º Bases Químicas de la Biología: BQBT9-Acidos-carboxilicos-y-derivados-aminoacidos.pdf