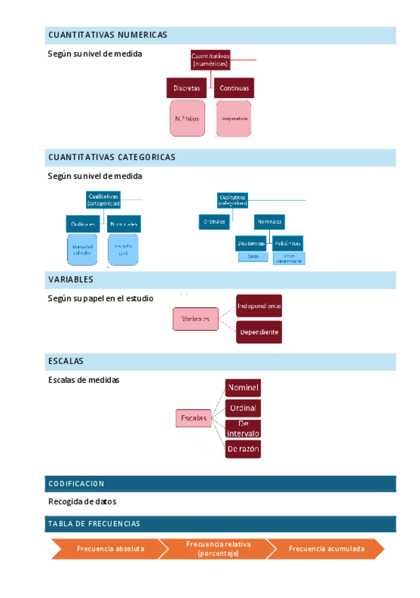
Bioestadística
Resumen/ apuntes del primer parcial de bioestadística en el primer curso del grado de medicina de la UAB.
He publicado nuevos ejercicios de 2º Bioestadística: Relacion-problemas-tema-1.pdf
He publicado nuevos apuntes de 1º Bioestadística: BIOESTADISTICA-1er-PART.pdf
He publicado nuevos ejercicios de 2º Bioestadística: U45exercisessolved-2.pdf
He publicado nuevos ejercicios de 2º Bioestadística: U3.problemes.resueltos-1.pdf
He publicado nuevos examenes de 2º Bioestadística: Examen-bioestadistica.pdf
He publicado nuevos examenes de 2º Bioestadística: EXAMEN-BIOEST-DE-BIOTEC.pdf
He publicado nuevos examenes de 2º Bioestadística: Examen-Bioest-Biotec-2018-2019.pdf
He publicado nuevos examenes de 2º Bioestadística: examen-bioest-segona-evaluacio.pdf
He publicado nuevos examenes de 2º Bioestadística: Examen-Bioest-Biotec.pdf
apuntes
-
Apunts bioestadística
Apuntes completos bioestadística
apuntes
-
RESUMENES TEORIA
He publicado nuevos apuntes de 2º Bioestadística: RESUMENES TEORIA
apuntes
-
APUNTES BIOESTADÍSTICA 25-26
He publicado nuevos apuntes de 1º Bioestadística: APUNTES BIOESTADÍSTICA 25-26
apuntes
-
Bioestadística 2º parcial
Resumen por tema
apuntes
-
Bioestadística 1º parcial
Resúmenes de cada tema
He publicado nuevos examenes de 1º Bioestadística: EXAMEN-BIOESTADISTICA.pdf
He publicado nuevos apuntes de 1º Bioestadística: EXAMEN-de-practicas-Bioestadistica.pdf
He publicado nuevos apuntes de 1º Bioestadística: TEMA-1.-INTRODUCCION-BIOESTADISTICA.pdf
He publicado nuevos apuntes de 1º Bioestadística: artworks-uCJmYBFzsHRaENcf-e7ylng-t240x240.jpg
INICIO CURSO BIOESTADÍSTICA GRADO BIOLOGÍA Resumen de cada tema. Resolución de ejercicios y exámenes de convocatorias anteriores. Clases grabadas hasta el día del examen. Profesor a tu disposición en cualquier momento para dudas. INFÓRMATE SIN COMPROMISO Y DA UNA CLASE DE PRUEBA EN GRUPO.

apuntes
-
BIOESTADÍSTICA
He publicado nuevos apuntes de 1º Bioestadística: BIOESTADÍSTICA
Curso online Bioestadística Medicina UAB - ESTADISTIX
Curso online Bioestadística Medicina EHU - ESTADISTIX
Curso online Bioestadística Medicina EHU - ESTADISTIX
Curso online Bioestadística Medicina UCM - ESTADISTIX
Esquemas breves y enfocados a saber responder perfectamente las preguntas tipo examen de los temas más importantes.
apuntes
-
BIOESTADISTICA
He publicado nuevos apuntes de 2º Bioestadística: BIOESTADISTICA
practicas
-
p4 resuelta
He publicado nuevos practicas de 1º Bioestadística: p4 resuelta
practicas
-
p1 resuelta
He publicado nuevos practicas de 1º Bioestadística: p1 resuelta
apuntes
-
Apuntes Bioestdística (+R)
He publicado nuevos apuntes de 2º Bioestadística: Apuntes Bioestdística (+R)
apuntes
-
Bioestadística
He publicado nuevos apuntes de 2º Bioestadística: Bioestadística
apuntes con preguntas tipo examen de bioestadística de terapia ocupacional con el procedimiento en rstudio/rcmdr y la explicación de interpretación.
He publicado nuevos apuntes de 1º Bioestadística: tema-16-peroxisoma.pdf
He publicado nuevos apuntes de 1º Bioestadística: tema-15-citosol-proteasoma-e-inclusiones-citoplasmaticas.pdf
He publicado nuevos apuntes de 1º Bioestadística: tema-14-comunicacion-intercelular.pdf
He publicado nuevos apuntes de 1º Bioestadística: Tema-12-adhesion-matriz-extracelular-y-comunicacion-intercelular.pdf
He publicado nuevos apuntes de 1º Bioestadística: tema-13-matriz-extracelular-MEC.pdf
He publicado nuevos apuntes de 1º Bioestadística: TEMA-10-Microfilamentos-de-actina.pdf
He publicado nuevos apuntes de 1º Bioestadística: TEMA-8-Microtubulos.pdf
He publicado nuevos apuntes de 1º Bioestadística: TEMA-9-Filamentos-intermedioss.pdf
He publicado nuevos apuntes de 1º Bioestadística: TEMA-4-sistema-de-endomembranas-y-trafico-vesicular-BIOCEL.pdf
He publicado nuevos apuntes de 1º Bioestadística: TEMA-3-transporte-de-pequenos-solutos-BIOCEL.pdf
He publicado nuevos apuntes de 1º Bioestadística: Tipos-de-diseno-investigacion-epidemiologica-1.pdf
He publicado nuevos apuntes de 1º Bioestadística: TEMA-1-epidemiologia-2.docx
He publicado nuevos apuntes de 1º Bioestadística: Tema-1-DEMOGRAFIA.docx
He publicado nuevos apuntes de 1º Bioestadística: T5.-Medidas-en-epidemiologia..docx
He publicado nuevos apuntes de 1º Bioestadística: Indicadores-y-metodos-de-representacion.pdf
He publicado nuevos apuntes de 1º Bioestadística: FUNCIONES-DE-DISTRIBUCION-1.pdf