Bioestadística

chevron_left
chevron_right
Todo
Apuntes
Ejercicios
Exámenes
Prácticas
Test
Trabajos
chevron_left
chevron_right

ejercicios

-

Relaciones de Ejercicios Corregidas

He publicado nuevos ejercicios de 1º Bioestadística: Relaciones de Ejercicios Corregidas

Ejercicios-Corregidos.pdf
Ejercicio-pruebas-diagnosticas-corregido.pdf
Ejercicio-3-relacion-7.pdf
Ejercicios-probabilidad-corregidos.pdf
Ejercicio-2-relacion-6-corregido.pdf

apuntes

-

Bioestadística 24/25

He publicado nuevos apuntes de 1º Bioestadística: Bioestadística 24/25

Esquema-Tema-2.pdf
Esquema-Tema-1.pdf

He publicado nuevos ejercicios de 1º Bioestadística: Preguntas-UMA-estadistica-primer-parcial.pdf

12 páginas

Trabajo Reflexión

1 página

He publicado nuevos trabajos de 1º Bioestadística: Como-deferdernos-de-los-errores-estadisticos.pdf

1 página

ejercicios

-

Actividades de reflexión

He publicado nuevos ejercicios de 1º Bioestadística: Actividades de reflexión

Comentario-1-errores-estadisticos.pdf
Comentario-2-peligros-de-mezclar-correlacion-con-causalidad.pdf
Comentario-3-los-jueces-se-hacen-un-lio-con-la-estadistica.pdf
Comentario-4.-COMO-CONVERTIR-A-UN-GRUPO-DE-EXTRANOS-EN-UN-EQUIPO.pdf
Comentario-5.-Que-es-lo-que-los-medicos-no-saben-sobre-los-medicamentos-que-recetan.pdf
Comentario-6.-Atreverse-a-disentir.pdf

He publicado nuevos apuntes de 1º Bioestadística: ESQUEMAS-BIOESTADISTICA-T1-6.pdf

19 páginas

apuntes

-

tema 4 y 5- variables aleatorias y distribuciones

He publicado nuevos apuntes de 1º Bioestadística: tema 4 y 5- variables aleatorias y distribuciones

ejercicios-distribucion-binomial.pdf

apuntes

-

tema 3-probabilidad

He publicado nuevos apuntes de 1º Bioestadística: tema 3-probabilidad

t3-probabilidad-ejercicios-bayes.pdf
t3-ejercicios-de-probabilidad.pdf

apuntes

-

Bioestadística 2022-23

He publicado nuevos apuntes de 1º Bioestadística: Bioestadística 2022-23

Bioestadistica-tema-1.pdf
Ejercicios-1.pdf
Bioestadistica-tema-2.pdf
Ejercicios-2.pdf
Tema-1-bioest-esquema.pdf
Tema-2-bioest-esquema.pdf

test

-

tests de estadística

He publicado nuevos test de 1º Bioestadística: tests de estadística

test-tema-3-probabilidad.pdf
calculos-del-test-3.pdf
calculos-test-4.pdf
test-4-temas-4-y-5.pdf
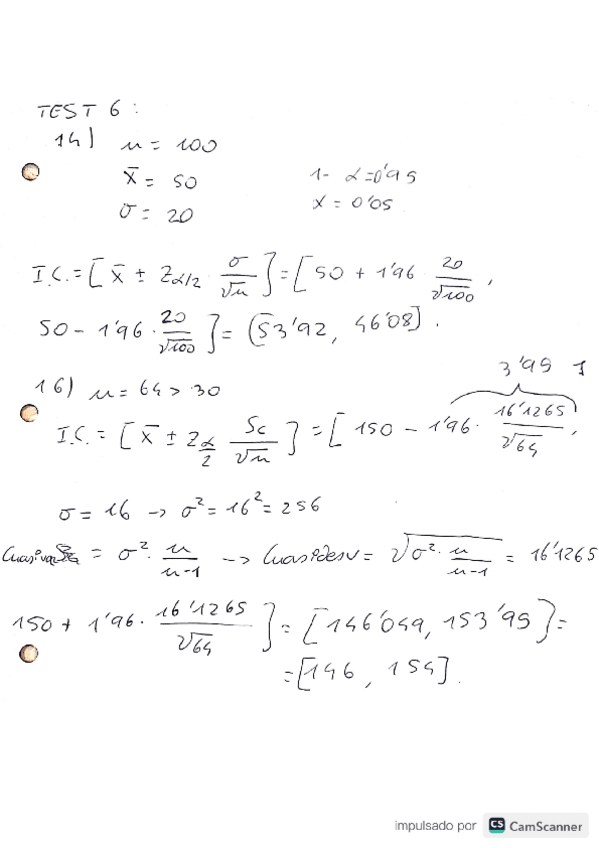
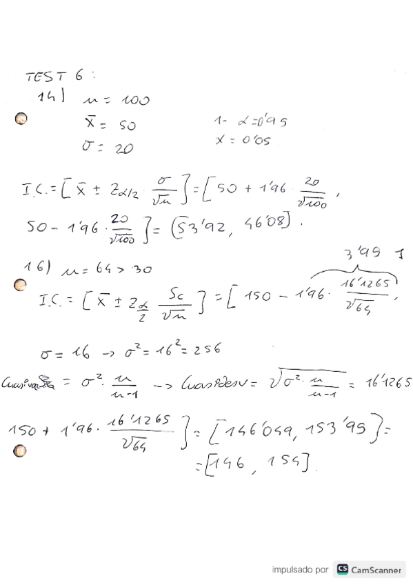
test-6.pdf
calculos-test-6.pdf

ejercicios

-

Series 6, 7, 8 y 9

He publicado nuevos ejercicios de 1º Bioestadística: Series 6, 7, 8 y 9

Ejercicios-6.pdf
serie-6-resuelta.pdf

apuntes

-

Distribución normal

He publicado nuevos apuntes de 1º Bioestadística: Distribución normal

Distribucion-normal.pdf

He publicado nuevos apuntes de 1º Bioestadística: Practica-2-bioestadistica.pdf

3 páginas

He publicado nuevos ejercicios de 1º Bioestadística: Bioestadisticas-Relacion-1-y-2.pdf

10 páginas

He publicado nuevos test de 1º Bioestadística: Test-bioestadistica.pdf

23 páginas

He publicado nuevos ejercicios de 1º Bioestadística: Bioestadisticas-4-1.pdf

2 páginas

practicas

-

APUNTES PRÁCTICAS

He publicado nuevos practicas de 1º Bioestadística: APUNTES PRÁCTICAS

APUNTES-PRACTICA-1.pdf

apuntes

-

BIOESTADÍSTICA

He publicado nuevos apuntes de 1º Bioestadística: BIOESTADÍSTICA

TEMA-0-TABULACION-Y-REPRESENTACIONES-GRAFICAS.pdf

He publicado nuevos apuntes de 1º Bioestadística: trabajo-bioestadistica-practica1.pdf

22 páginas

He publicado nuevos apuntes de 1º Bioestadística: practica-bioestadistica.pdf

16 páginas

He publicado nuevos apuntes de 1º Bioestadística: informe-practica-2.pdf

12 páginas

He publicado nuevos apuntes de 1º Bioestadística: COMO-SE-LIAN-LOS-JURADOS-CON-LAS-ESTADISTICAS.pdf

1 página

ejercicios

-

Artículos de reflexión

He publicado nuevos ejercicios de 1º Bioestadística: Artículos de reflexión

1-Como-te-puedes-defender-contra-la-estadistica-enganosa.pdf
3-Como-se-lian-los-jurados-con-la-estadistica.pdf
2-Los-peligros-de-mezclar-la-correlacion-y-la-causaliddad.pdf
4-Como-convertir-a-un-grupo-de-extranos-en-un-equipo.pdf
6-Atreverse-a-disentir.pdf
5-Que-es-lo-que-los-medicos-no-saben-sobre-los-medicamentos-que-nos-recetan.pdf

ejercicios

-

Comentarios (todos máxima nota)

He publicado nuevos ejercicios de 1º Bioestadística: Comentarios (todos máxima nota)

Los-peligros-de-mezclar-la-casualidad-con-la-correlacion.pdf
Como-se-lian-los-jurados-con-la-estadistica.pdf
Como-te-puedes-defender-contra-los-errores-estadisticos.pdf
Que-es-lo-que-no-saben-los-medicos-sobre-los-medicamentos-que-recetan-.pdf
Como-convertir-a-un-grupo-de-extranos-en-un-equipo.pdf

apuntes

-

ACTIVIDADES DE REFLEXIÓN (máxima nota)

He publicado nuevos apuntes de 1º Bioestadística: ACTIVIDADES DE REFLEXIÓN (máxima nota)

ACTIVIDAD-DE-REFLEXION-1.pdf
ACTIVIDAD-DE-REFLEXION-3.pdf
ACTIVIDAD-DE-REFLEXION-5.pdf
ACTIVIDAD-DE-REFLEXION-4.pdf
ACTIVIDAD-DE-REFLEXION-2.pdf

trabajos

-

Comentarios

He publicado nuevos trabajos de 1º Bioestadística: Comentarios

Trabajo-en-equipo.pdf
Errores-estadisticos.pdf
Que-es-lo-que-no-saben-los-medicos-sobre-los-medicamentos-que-recetan.pdf

trabajos

-

Actividades de reflexión

He publicado nuevos trabajos de 1º Bioestadística: Actividades de reflexión

ATREVERSE-A-DISENTIR.pdf
COMO-CONVERTIR-A-UN-GRUPO-DE-EXTRANOS-EN-UN-EQUIPO.pdf
COMO-TE-PUEDES-DEFENDER-CONTRA-LOS-ERRORES-ESTADISTICOS.pdf
COMO-SE-LIAN-LOS-JURADOS-CON-LA-ESTADISTICA.pdf
LOS-PELIGROS-DE-MEZCLAR-LA-CORRELACION-Y-LA-CAUSALIDAD.pdf
QUE-ES-LO-QUE-LOS-MEDICOS-NO-SABEN-SOBRE-LOS-MEDICAMENTOS-QUE-RECETAN.pdf

He publicado nuevos apuntes de 1º Bioestadística: Bloc-de-notas-sin-titulo.pdf

pdf

He publicado nuevos apuntes de 1º Bioestadística: practicas-completo.pdf

8 páginas

apuntes

-

Apuntes Prácticas 2021-2022

He publicado nuevos apuntes de 1º Bioestadística: Apuntes Prácticas 2021-2022

Apuntes-Practicas.pdf

apuntes

-

Actividades de reflexión 2021_2022

He publicado nuevos apuntes de 1º Bioestadística: Actividades de reflexión 2021_2022

Actividad-de-reflexion-1.pdf
Actividad-de-reflexion-3.pdf
Actividad-de-reflexion-4.pdf
Actividad-de-reflexion-5.pdf
Actividad-de-reflexion-6.pdf
Actividad-de-reflexion-2.pdf

He publicado nuevos ejercicios de 1º Bioestadística: ACTIVIDAD-DE-REFLEXION-6.pdf

1 página

apuntes

-

Comentarios de reflexión

He publicado nuevos apuntes de 1º Bioestadística: Comentarios de reflexión

Comentario-Como-defenderse-de-los-errores-estadisticos.pdf
Comentario-Como-se-lian-los-jurados-con-la-estadistica.pdf
Los-peligros-de-mezclar-la-correlacion-y-la-causalidad-1.pdf
Atreverse-a-disentir.pdf
Que-es-lo-que-los-medicos-no-saben-sobre-los-medicamentos-que-recetan.pdf
Como-convertir-a-un-grupo-de-extranos-en-un-equipo.pdf

He publicado nuevos ejercicios de 1º Bioestadística: Actividad-de-reflexion-6.pdf

1 página
Anónimo

@Anónimo

He publicado nuevos examenes de 1º Bioestadística: Examen-6.pdf

7 páginas

He publicado nuevos apuntes de 1º Bioestadística: ACTIVIDAD-DE-REFLEXION-4.pdf

1 página

He publicado nuevos apuntes de 1º Bioestadística: Actividad-de-reflexion-1-2-y-3.pdf

2 páginas

He publicado nuevos apuntes de 1º Bioestadística: ACTIVIDAD-DE-REFLEXION-5.pdf

1 página

He publicado nuevos ejercicios de 1º Bioestadística: Que-es-lo-que-no-saben-los-medicos-de-los-medicamentos-que-recetan.pdf

1 página

He publicado nuevos apuntes de 1º Bioestadística: 4-COMO-CONVERTIR-A-UN-GRUPO-DE-EXTRANOS-EN-UN-EQUIPO.pdf

1 página

He publicado nuevos ejercicios de 1º Bioestadística: Los-jurados-se-hacen-un-lio-con-la-estadistica.pdf

1 página

He publicado nuevos ejercicios de 1º Bioestadística: Documento-3.pdf

1 página

He publicado nuevos apuntes de 1º Bioestadística: El-peligro-de-confundir-casualidad-y-correlacion-2.pdf

1 página

apuntes

-

Informes prácticas

He publicado nuevos apuntes de 1º Bioestadística: Informes prácticas

Informe Práctica 1
Informe Práctica 2

practicas

-

Prácticas

He publicado nuevos practicas de 1º Bioestadística: Prácticas

2-Contraste-de-hipotesis.pdf
1-Analitica-al-ingreso-en-pacientes-COVID-19.pdf

trabajos

-

Actividades de reflexión

He publicado nuevos trabajos de 1º Bioestadística: Actividades de reflexión

Comentario-Como-te-puedes-defender-contra-los-errores-estadisticos.pdf
4-Como-convertir-a-un-grupo-de-extranos-en-un-equipo.pdf
3-Como-se-lian-los-jurados-con-la-estadistica.pdf
5-Que-es-lo-que-no-saben-los-medicos-acerca-de-los-medicamentos-que-recetan.pdf
Reflexion-6-Atreverse-a-discernir.pdf

apuntes

-

Actividades de reflexión

He publicado nuevos apuntes de 1º Bioestadística: Actividades de reflexión

Actividad-reflexion-6.zip
Actividad-de-reflexion-5.zip
Actividad-de-reflexion-2.zip
Actividad-de-reflexion-4.zip
Actividad-de-reflexion-3.zip
Actividad-de-reflexion-1.zip

apuntes

-

Informes prácticas covid

He publicado nuevos apuntes de 1º Bioestadística: Informes prácticas covid

informepractica1.docx
EspinosaMateoLuciainforme2.docx

He publicado nuevos apuntes de 1º Bioestadística: resumenestodoslostemasbioest.pdf

6 páginas

apuntes

-

Apuntes Bioestadística 20-21

He publicado nuevos apuntes de 1º Bioestadística: Apuntes Bioestadística 20-21

U1. Estadística descriptiva.pdf
U2. Estadística de dos variables.pdf
U3. Probabilidad.pdf
U4. Variables aleatorias.pdf
U6. Pruebas de hipótesis.pdf

He publicado nuevos apuntes de 1º Bioestadística: comentario-Ben-Goldacren.zip

Miniatura no disponible
zip

practicas

-

INFORMES DE PRÁCTICAS

He publicado nuevos practicas de 1º Bioestadística: INFORMES DE PRÁCTICAS

PRACTICA-1.pdf
PRACTICA-2.pdf

apuntes

-

Teoría

He publicado nuevos apuntes de 1º Bioestadística: Teoría

Tema 1 - Estadística descriptiva
Tema 2 - Estadística bivariante

apuntes

-

Actividades de reflexión

He publicado nuevos apuntes de 1º Bioestadística: Actividades de reflexión

Actividad de reflexión 1
Actividad de reflexión 2
Actividad-de-reflexion-3.pdf
Actividad-de-refelxion-4-.pdf
Actividad-de-reflexion-6.pdf
Actividad-de-reflexion-5.pdf

trabajos

-

ACTIVIDADES DE REFLEXIÓN

He publicado nuevos trabajos de 1º Bioestadística: ACTIVIDADES DE REFLEXIÓN

COMO-DEFENDERSE-DE-LAS-ESTADISTICAS-ENGANOSAS.pdf
ACTIVIDAD-DE-REFLEXION-6.pdf
ACTIVIDAD-DE-REFLEXION-UNIDAD-5.pdf
Los-jurados-se-hacen-un-lio-con-la-estadistica.pdf
ACTIVIDAD-REFLEXION-2.pdf
Como-convertir-un-grupo-de-extranos-en-un-equipo.pdf

practicas

-

INFORMES PRÁCTICAS

He publicado nuevos practicas de 1º Bioestadística: INFORMES PRÁCTICAS

Informe-de-la-1o-practica.pdf
2o-Informe-bioestadistica.pdf

He publicado nuevos examenes de 1º Bioestadística: EXAMENES-DE-TODOS-LOS-TEMAS-BIOESTADISTICA-M-FINAL.pdf

70 páginas
Anónimo

@Anónimo

trabajos

-

Informes de prácticas

He publicado nuevos trabajos de 1º Bioestadística: Informes de prácticas

Practica-1-bioestadistica.pdf
Practica-2-bioestadistica.pdf
Anónimo

@Anónimo

trabajos

-

Actividades de reflex

He publicado nuevos trabajos de 1º Bioestadística: Actividades de reflex

Actividad-de-reflexion-1.pdf
Actividad-de-reflexion-2.pdf
Actividad-de-reflexion-3.pdf
Actividad-de-reflexion-4.pdf
Actividad-de-reflexion-5.pdf
Actividad-de-reflexion-6.pdf