Todo
Apuntes
Ejercicios
Exámenes
Otros
Prácticas
Trabajos
chevron_left
chevron_right

apuntes

-

temas biofísica

He publicado nuevos apuntes de 2º Biofísica: temas biofísica

tema-2-biofisica.pdf
tema-3-biofisica.pdf
tema-1-biofisica-1.pdf
tema-4-biofisica.pdf
tema-5.pdf
tema-FRET-agregado-del-tema-5.pdf

Había unos 10 problemas aproximadamente, había varios de seminario (que debías estudiarte por tu cuenta) pero había 3 que no eran de seminario y eran de aplicación de fórmulas

3 páginas

Algunas preguntas cayeron en el parcial del 2025, no todas, son preguntas tipo parcial de diciembre 2025

3 páginas

He publicado nuevos apuntes de 2º Biofísica: PARCIAL-BIOFISICA-DIC-2024-corregido.pdf

3 páginas

He publicado nuevos apuntes de 2º Biofísica: Problemas-y-Soluciones-de-fenomenos-bioelectricos2025-corregidos-y-explicados.pdf

18 páginas

He publicado nuevos apuntes de 2º Biofísica: tema-3-biofisica.pdf

8 páginas

He publicado nuevos apuntes de 2º Biofísica: P4-Simulador-de-espectros-de-fluorescencia-Noelia-Gomez-Vara.pdf

10 páginas

He publicado nuevos apuntes de 2º Biofísica: practicas-biofisica-2-1.pdf

2 páginas

He publicado nuevos apuntes de 2º Biofísica: practicas-biofisica-1-1.pdf

4 páginas

He publicado nuevos apuntes de 2º Biofísica: practicas-biofisica-3.pdf

3 páginas

He publicado nuevos apuntes de 2º Biofísica: tema-2-biofisica.pdf

27 páginas

apuntes

-

Resumen y ejercicios

He publicado nuevos apuntes de 2º Biofísica: Resumen y ejercicios

Problemas-y-Soluciones-de-fenomenos-bioelectricos241128164111.pdf
Examenes-wuhola-biofisica241202100509.pdf
Ejercicios-examen-segundo-parcial-biofisica250114135214.pdf
Potenciales-de-difusion-a-traves-de-una-membranaP250114192553.pdf
Problemas-y-soluciones-a-problemas-de-difusion-y-o241128182621.pdf
Calculo-de-la-concentracion-micelar-critica-Pract250114190455.pdf

practicas

-

Informes prácticas laboratorio

He publicado nuevos practicas de 2º Biofísica: Informes prácticas laboratorio

Practica-1.pdf
Practica-2.pdf
Practica-3.pdf
Practica-4.pdf

He publicado nuevos apuntes de 2º Biofísica: Fenomenosbioelectricos2025.pdf

78 páginas

He publicado nuevos apuntes de 2º Biofísica: tema-1-biofisica.pdf

5 páginas

He publicado nuevos apuntes de 2º Biofísica: Resumen-tema-1-biofisica.pdf

3 páginas

Incluye centrifugación, fotofísica y energía térmica y entropía

13 páginas

Preguntas de exámenes pasados

5 páginas

He publicado nuevos apuntes de 2º Biofísica: Esquema-particulas-fundamentales.pdf

2 páginas

He publicado nuevos ejercicios de 2º Biofísica: EJERCICIOS-DE-FENOMENOS-BIOELECTRICOS.pdf

7 páginas

He publicado nuevos ejercicios de 2º Biofísica: EJERCICIOS-DE-DIFUSION.pdf

6 páginas

apuntes

-

Apuntes BIOFÍSICA completos

He publicado nuevos apuntes de 2º Biofísica: Apuntes BIOFÍSICA completos

Tema-1-WUOLAH.pdf
Tema-2-WUOLAH.pdf
Tema-3-WUOLAH.pdf
Tema-4-WUOLAH.pdf
Tema-5-WUOLAH.pdf
Tema-6-WUOLAH.pdf
Anónimo

@Anónimo

He publicado nuevos examenes de 2º Biofísica: PARCIAL-DE-BIOFISICA.pdf

3 páginas

apuntes

-

Apuntes biofísica

He publicado nuevos apuntes de 2º Biofísica: Apuntes biofísica

Tema-2.-Fenomenos-Bioelectricos.pdf
Tema-3.-Difusion.pdf
Tema-4.-Osmosis.pdf
Tema-5.-Fenomenos-de-Transporte.-Centrifugacion.pdf
Tema-6.-Fotofisica-y-Fotoquimica-de-Procesos-Biologicos.pdf
Tema-6.2.-FRET.pdf

apuntes

-

APUNTES BIOFÍSICA

He publicado nuevos apuntes de 2º Biofísica: APUNTES BIOFÍSICA

TEMA-1-BIOFISICA.pdf
TEMA-2-BIOFISICA-inacabado.pdf
Resumen-Tema-3-Difusion.pdf
Apuntes-Tema-4-osmosis-resumen.pdf
Tema-5-centrifugacion.pdf
Tema-6.pdf

apuntes

-

Exámenes y ejercicios

He publicado nuevos apuntes de 2º Biofísica: Exámenes y ejercicios

Cuestiones-examenes.pdf
Ejercicios-tipo-examen-resueltos.pdf
Examen-tipo-resuelto.pdf
Problemas-2.pdf
Problemas-Centrifugacion.pdf
Problemas-Fotofisica.pdf

apuntes

-

Resúmenes

He publicado nuevos apuntes de 2º Biofísica: Resúmenes

TEMA-1.pdf
TEMA-2.pdf
TEMA-3.pdf
TEMA-5.pdf
TEMA-7.pdf

apuntes

-

APUNTES PDF

He publicado nuevos apuntes de 2º Biofísica: APUNTES PDF

TEMA-1.pdf
TEMA-2.pdf
TEMA-3.pdf
TEMA-4.pdf
TEMA-5.pdf

He publicado nuevos apuntes de 2º Biofísica: Esquemas varios.pdf

3 páginas

apuntes

-

Resumen II

He publicado nuevos apuntes de 2º Biofísica: Resumen II

Resumen-II.pdf
Resumen.pdf

practicas

-

Biofísica - prácticas

He publicado nuevos practicas de 2º Biofísica: Biofísica - prácticas

Practica-1-975.pdf
Practica-2.pdf
Practica-3.pdf

apuntes

-

APUNTES resumen

He publicado nuevos apuntes de 2º Biofísica: APUNTES resumen

t.33.pdf
t.23.pdf
t.13.pdf
t.6.pdf
t.7.pdf
t.5.pdf

He publicado nuevos apuntes de 2º Biofísica: Tema-7.-biofisica.pdf

16 páginas

He publicado nuevos apuntes de 2º Biofísica: Tema-6.-biofisica.pdf

23 páginas

He publicado nuevos apuntes de 2º Biofísica: Tema-4.-biofisica.pdf

8 páginas

He publicado nuevos apuntes de 2º Biofísica: Tema-3.-biofisica.pdf

10 páginas

He publicado nuevos apuntes de 2º Biofísica: Tema-1.-biofisica.pdf

17 páginas

He publicado nuevos apuntes de 2º Biofísica: Tema-2.-biofisica.pdf

8 páginas

apuntes

-

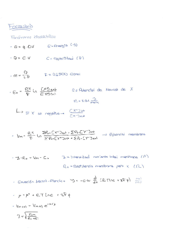
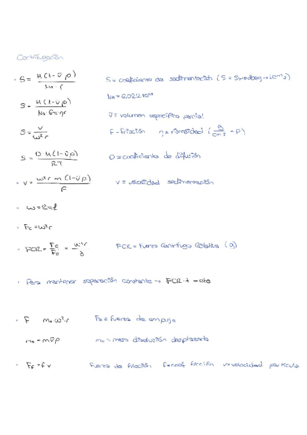
Formulario

He publicado nuevos apuntes de 2º Biofísica: Formulario

tipico-examenes.pdf
T.3.pdf
T.2.pdf
T.1.pdf

He publicado nuevos examenes de 2º Biofísica: EXAMEN-PARCIAL-BIOFISICA-2023.pdf

2 páginas

He publicado nuevos apuntes de 2º Biofísica: anatomia.docx

word

practicas

-

Prácticas biofísica

He publicado nuevos practicas de 2º Biofísica: Prácticas biofísica

Practica-1.pdf
Practica-2.pdf

He publicado nuevos apuntes de 2º Biofísica: Tema-5Fotofisica.pdf

8 páginas

He publicado nuevos apuntes de 2º Biofísica: Esquemas-de-estudio.pdf

4 páginas

apuntes

-

Biofísica - Temas 4 ,5 y 6

He publicado nuevos apuntes de 2º Biofísica: Biofísica - Temas 4 ,5 y 6

Tema-4-biofisica.pdf
Tema-5-biofisica-parte-1.pdf
Tema-5-biofisica-parte-2.pdf
Tema-6-biofisica.pdf

practicas

-

Practicas Biofisica

He publicado nuevos practicas de 2º Biofísica: Practicas Biofisica

Practica-2.pdf
Practica-1.pdf
Anónimo

@Anónimo

apuntes

-

Tema 1-6 Biofísica (NOTA: 8,5)

He publicado nuevos apuntes de 2º Biofísica: Tema 1-6 Biofísica (NOTA: 8,5)

TEMA-5-BIOFISICA.pdf
TEMA-1-BIOFISICA.pdf
TEMA-6-BIOFISICA.pdf
TEMA-3-BIOFISICA.pdf
TEMA-2-BIOFISICA.pdf
TEMA-4-BIOFISICA.pdf

apuntes

-

Apuntes

He publicado nuevos apuntes de 2º Biofísica: Apuntes

TEMA-3-FENOMENOS-DE-TRANSPORTE.pdf
TEMA-2-BIOFISICA.pdf
TEMA-4-OSMOSIS.pdf
FOTOFISICA-Y-FOTOQUIMICA.pdf
FENOMENOS-BIOELECTRICOS.pdf
TRANSFERENCIA-DE-ENERGIA.pdf
Anónimo

@Anónimo

apuntes

-

Formulario biofísica

Hay algunas demostraciones que suele pedir

Resumen-canales-ionicos.pdf
formulario-biofisica.pdf
Energia-termica.pdf

He publicado nuevos apuntes de 2º Biofísica: Formulario-.pdf

4 páginas

apuntes

-

APUNTES (temas 5-8)

He publicado nuevos apuntes de 2º Biofísica: APUNTES (temas 5-8)

TEMA-8.pdf
TEMA-7.pdf
TEMA-5.pdf
TEMA-6.pdf

apuntes

-

APUNTES (temas 1-4)

He publicado nuevos apuntes de 2º Biofísica: APUNTES (temas 1-4)

TEMA-2.pdf
TEMA-3.pdf
TEMA-1.pdf
TEMA-4.pdf

apuntes

-

Apuntes Biofísica

He publicado nuevos apuntes de 2º Biofísica: Apuntes Biofísica

T1Origen.pdf
T4Fenomenos-de-transporte-II.pdf
T2Interacciones-intermoleculares.pdf
T5Fenomenos-bioelectricos.pdf
T6Fotoquimica-y-fotofisica.pdf
T3Fenomenos-de-transporte-I.pdf

examenes

-

Examenes otros cursos

He publicado nuevos examenes de 2º Biofísica: Examenes otros cursos

IMG-20141202-WA0022.jpg
IMG-20141202-WA0021.jpg
PROBLEMASDEFENOMENOSDETRANSPORTEII.docx
Problemasdedifusion.docx
IMG-20141202-WA0023.jpg
Examen-2011-2012.jpg
Anónimo

@Anónimo

apuntes

-

tema 6

He publicado nuevos apuntes de 2º Biofísica: tema 6

Fenomenos-de-bioelectricos-2015.pdf
Fenomenos-de-bioelectricos-Dic-2015.pdf
Problemas-y-Soluciones-de-fenomenos-bioelectricos2014.pdf
Anónimo

@Anónimo

apuntes

-

tema 5

He publicado nuevos apuntes de 2º Biofísica: tema 5

Sedimentacion-y-Transporte-activo-2015.pdf
Problemas-y-soluciones-de-centrifugacion.pdf
Anónimo

@Anónimo

apuntes

-

Tema 4

He publicado nuevos apuntes de 2º Biofísica: Tema 4

Soluciones-a-problemasdedifusion-y-osmosis.pdf
Osmosis2015.pdf
Anónimo

@Anónimo

apuntes

-

Tema 1

He publicado nuevos apuntes de 2º Biofísica: Tema 1

El-origen-de-la-danza-molecular-y-la-dictadura-de-la-entropia2015-tema-1.pdf
Problemas-y-Soluciones-del-Tema-1de-Biofisica.pdf
el-origen-de-la-vida.pdf

apuntes

-

TEMAS 4-6

He publicado nuevos apuntes de 2º Biofísica: TEMAS 4-6

TEMA-5.pdf
TEMA-4-FENOMENOS-BIOELECTRICOS.pdf
TEMA-6-biofi.pdf

apuntes

-

TEMAS 1-3

He publicado nuevos apuntes de 2º Biofísica: TEMAS 1-3

TEMA-2-BIOFISICA.pdf
TEMA-1-BIOFISICA.pdf
TEMA-3-BIOFISICA.pdf