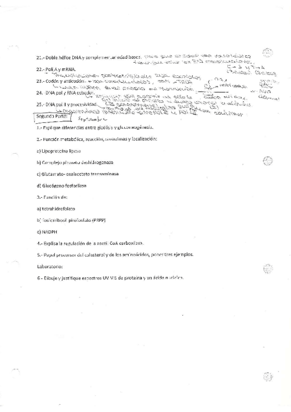
Echo31
Segundo-parcial-septiembre.pdf
4 páginas
Apuntes - Apuntes Bioquímica 1º Parte.pdf
pdf
54 páginas
650
8
Apuntes - Apuntes de Bioquímica 2º Parte.pdf
58 páginas
463
2
Exámenes - EXAMEN-FINAL-BIO-07062019.pdf
1 página
864
1
Exámenes - Examen bioquímica 27.04.17.pdf
585
Exámenes - Examenes de Bioquímica.rar
rar
183
0
Exámenes - Parcial bioquímica.pdf
648
3
Exámenes - Examenes_de_Bioquimica.pdf
5 páginas
431
Apuntes - Bio 1.pdf
71 páginas
239
Exámenes - control metabolismo clase 08052019.pdf
2 páginas
491
509
Apuntes - Apuntes-Primera-Parte-BQ.pdf
59 páginas
50
7
Prácticas - PRACTICAS-DE-BIOQUIMICA-3o-corregidas.pdf
48 páginas
452
Exámenes - Examen-final-primera-parte.pdf
550
Ejercicios - Problemas-3-CINETICA.pdf
12 páginas
295
Apuntes - Bio 2.pdf
60 páginas
161
Ejercicios - Problemas-2-AA-PEP.pdf
14 páginas
282
Apuntes - 00. - Libro Resumen Bioquímica.pdf
224 páginas
155
Ejercicios - Ejercicios-resueltos.pdf
10 páginas
406
Prácticas - Practicas-Laboratorio-Bioquimica.pdf
47 páginas
594
Ejercicios - Problemas-1-TAMPONES.pdf
265
5