chevron_left
chevron_right
Todo
Apuntes
Exámenes
Prácticas
Test
chevron_left
chevron_right
Anónimo

@Anónimo

En este documento se encuentran los apuntes del tema 6 "Aspectos generales del metabolismo humano" de la asignatura de Bioquímica del Grado en Enfermería del curso académico 2025-2026

10 páginas
Anónimo

@Anónimo

En este documento se encuentran los apuntes del tema 5 "Metabolismo de aminoácidos y otros compuestos nitrogenados" de la asignatura de Bioquímica del Grado en Enfermería del curso académico 2025-2026

22 páginas
Anónimo

@Anónimo

En este documento se encuentran los apuntes del tema 4 "Metabolismo lipídico" de la asignatura de Bioquímica del Grado en Enfermería del curso académico 2025-2026

20 páginas
Anónimo

@Anónimo

En este documento se encuentran los apuntes del tema 3 "Metabolismo glucídico" de la asignatura de Bioquímica del Grado en Enfermería

16 páginas

Batería de preguntas del primer parcial

9 páginas

He publicado nuevos apuntes de 1º Bioquímica: TEMA-5--METABOLISMO-DE-AMINOACIDOS-Y-OTROS-COMPUESTOS-2.pdf

17 páginas

He publicado nuevos apuntes de 1º Bioquímica: TEMA-3--METABOLISMO-GLUCIDICO-2.pdf

27 páginas

Parcial 2 del examen de Bioquimica de enero 2026

2 páginas

Parcial 1 del examen de Bioquimica de enero 2026

2 páginas

Examen bioquimica enerp 2026 de mañana

2 páginas
Anónimo

@Anónimo

segunda parte bioquímica

63 páginas
Anónimo

@Anónimo

apuntes

-

PRIMER PARCIAL

Se encuentran todos los apuntes relativos al primer parcial de la asignatura de Bioquímica del curso académico 2025-2026

Glucidos.pdf
Lipidos.pdf
Proteinas.pdf
Nucleotidos-y-Acidos-Nucleicos.pdf
Tema-2-Introduccion-al-Metabolismo.pdf
Anónimo

@Anónimo

Se encuentra el cuaderno de laboratorio del curso 2025-2026

26 páginas

He publicado nuevos examenes de 1º Bioquímica: Examen-parcial.pdf

7 páginas
Anónimo

@Anónimo

He publicado nuevos examenes de 1º Bioquímica: AUTOEVALUACION-BIOQUIMICA-PRIMER-PARCIAL.pdf

12 páginas
Anónimo

@Anónimo

He publicado nuevos apuntes de 1º Bioquímica: PARCIAL-2024.pdf

5 páginas
Anónimo

@Anónimo

He publicado nuevos apuntes de 1º Bioquímica: 1.2.BIOQUIMICA.pdf

6 páginas
Anónimo

@Anónimo

He publicado nuevos apuntes de 1º Bioquímica: 1.4-BIOQUIMICA.pdf

9 páginas
Anónimo

@Anónimo

He publicado nuevos apuntes de 1º Bioquímica: 1.3.BIOQUIMICA.pdf

10 páginas
Anónimo

@Anónimo

He publicado nuevos apuntes de 1º Bioquímica: 2.2.-BIOQUIMICA.pdf

6 páginas

He publicado nuevos apuntes de 1º Bioquímica: 2.1.BIOQUIMICA.pdf

8 páginas

He publicado nuevos apuntes de 1º Bioquímica: 1.5.BIOQUIMICA.pdf

4 páginas

apuntes

-

BIOQUÍMICA

He publicado nuevos apuntes de 1º Bioquímica: BIOQUÍMICA

LIPIDOS.pdf
APUNTES-NOMENCLATURA-Y-FORMULACION.pdf
TALLER-2.2EQUILIBRIOS-EN-MEDIO-BIOLOGICOpH.pdf
TALLER-2RESUMEN-DE-CONCEPTOS.pdf
ANEXO-TALLER-2MAGNITUDES-Y-UNIDADES.pdf
EJERCICIOS-SOBRE-PRESION-OSMOTICA.pdf

He publicado nuevos apuntes de 1º Bioquímica: Bioquimica-part-1.pdf

56 páginas

He publicado nuevos apuntes de 1º Bioquímica: Bioquimica-TEMA-10.pdf

14 páginas

He publicado nuevos apuntes de 1º Bioquímica: Bioquimica-tema-9.pdf

21 páginas

He publicado nuevos examenes de 1º Bioquímica: BQ-200-PREGUNTAS-JUSTIFICADAS.pdf

35 páginas

He publicado nuevos apuntes de 1º Bioquímica: parcial-bioquimica.pdf

11 páginas

He publicado nuevos apuntes de 1º Bioquímica: AUTOEVALUACION-ACIDOS-NUCLEICOS.docx

word

He publicado nuevos apuntes de 1º Bioquímica: AUTOEVALUACION-PROTEINAS-CON-JUSTIFICACION.pdf

2 páginas

He publicado nuevos apuntes de 1º Bioquímica: AUTOEVALUACION-LIPIDOS-CON-JUSTIFICACION.pdf

3 páginas

He publicado nuevos apuntes de 1º Bioquímica: AUTEVALUACION-GLUCIDOS-CON-JUSTIFICACION.pdf

3 páginas
Anónimo

@Anónimo

He publicado nuevos practicas de 1º Bioquímica: CUADERNO-PRACTICAS.pdf

25 páginas

He publicado nuevos apuntes de 1º Bioquímica: ALGUNAS-PREGUNTAS-PARA-REPASAR-LA-INTRODUCCION-DEL-TEMA-1.pdf

1 página

He publicado nuevos apuntes de 1º Bioquímica: TEMA-1-PREGUNTAS-FINAL-DIAPOSITIVA.pdf

1 página

He publicado nuevos apuntes de 1º Bioquímica: TEMA-3-METABOLISMO-GLUCIDICO.pdf

27 páginas

He publicado nuevos apuntes de 1º Bioquímica: 1o-parcial-bioquimica.pdf

46 páginas
Anónimo

@Anónimo

He publicado nuevos examenes de 1º Bioquímica: PREGUNTAS-BIOQUIMICA.pdf

12 páginas
Anónimo

@Anónimo

He publicado nuevos apuntes de 1º Bioquímica: AUTOEVALUACION.pdf

5 páginas
Anónimo

@Anónimo

He publicado nuevos apuntes de 1º Bioquímica: AUTOEVALUACION-METABOLISMO.pdf

3 páginas
Anónimo

@Anónimo

He publicado nuevos examenes de 1º Bioquímica: EJERCICIOS-DE-FORMULACION-RESUELTOS.pdf

38 páginas

Esquemas

13 páginas

He publicado nuevos examenes de 1º Bioquímica: AUTOEVALUACIONES.pdf

7 páginas

He publicado nuevos examenes de 1º Bioquímica: EXAMEN-ORDINARIO-BIOQUIMICA-TURNO-DE-TARDE-2223.pdf

6 páginas

examenes

-

examen parcial parte B

He publicado nuevos examenes de 1º Bioquímica: examen parcial parte B

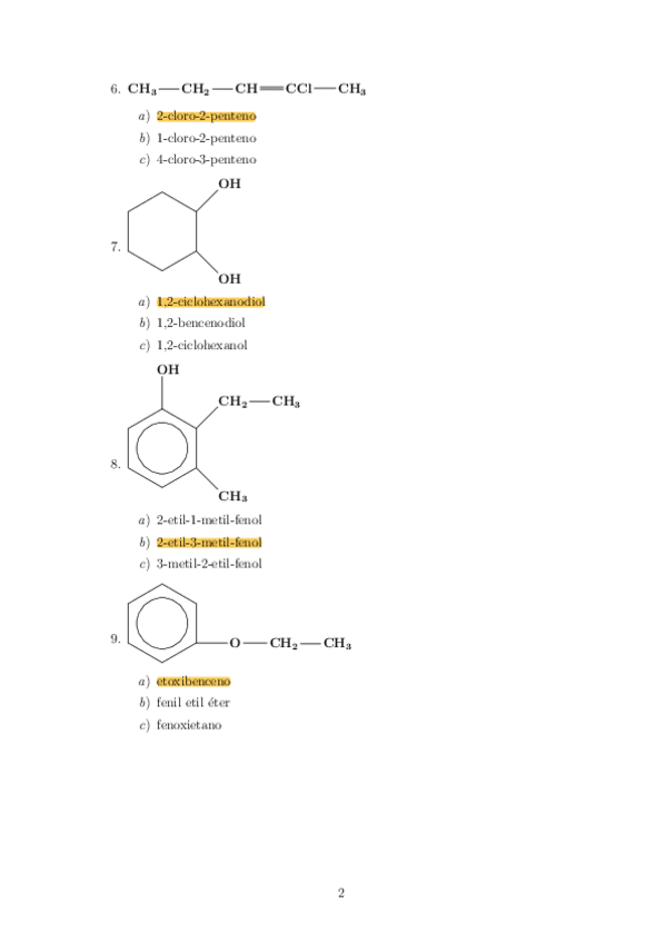
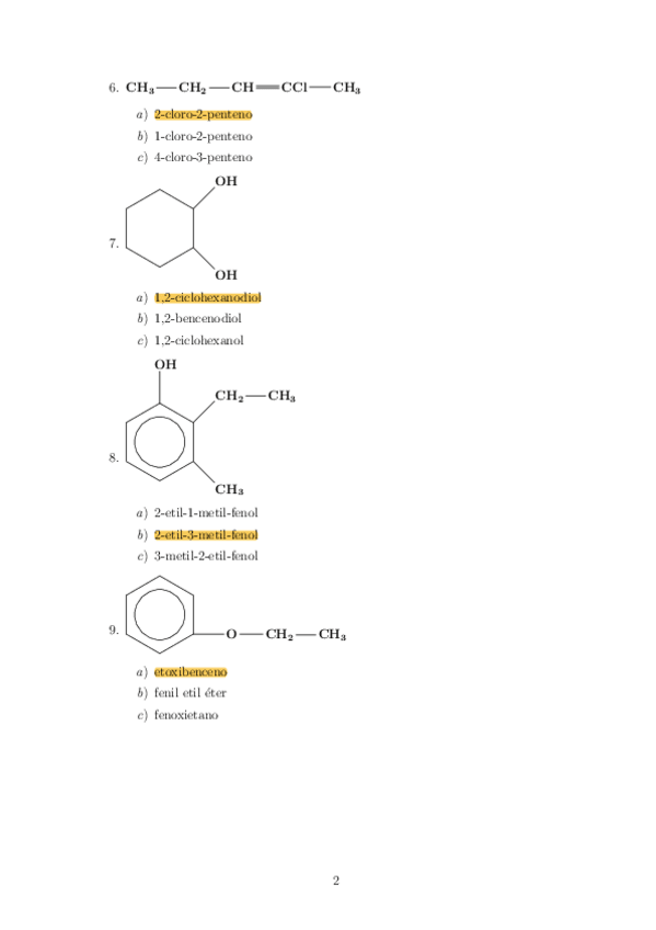
7c3d26d0-d8cf-48f7-8b3c-87779409fcb1.jpg
583e5806-615f-467b-9dbe-3799c4c21dd9.jpg
1033475e-855a-45b0-9cf6-a25c598e353c.jpg
ac183cc7-3a1a-4292-98c8-cfc1850073ad.jpg
b01e3e09-ea4b-4ff8-89a7-e5b620372ea9.jpg
c99bef66-84ec-42b4-b502-0441d329e9e2.jpg
Anónimo

@Anónimo

He publicado nuevos apuntes de 1º Bioquímica: TEMA-5.-Metabolismo-de-Aminoacidos-y-otros-compuestos-Nitrogenados.pdf

17 páginas
Anónimo

@Anónimo

He publicado nuevos apuntes de 1º Bioquímica: TEMA-4.-Metabolismo-Lipidicopdf.pdf

25 páginas
Anónimo

@Anónimo

He publicado nuevos apuntes de 1º Bioquímica: TEMA-3.-Metabolismo-Glucidico.pdf

35 páginas
Anónimo

@Anónimo

He publicado nuevos apuntes de 1º Bioquímica: 1o-PARCIAL.pdf

41 páginas

He publicado nuevos apuntes de 1º Bioquímica: NUCLEOTIDOS.pdf

3 páginas

He publicado nuevos test de 1º Bioquímica: PREGUNTAS-SEGUNDO-TEST-DE-AUTOEVALUACION.pdf

2 páginas

He publicado nuevos test de 1º Bioquímica: PREGUNTAS-PRIMER-TEST-AUTOEVALUACION.pdf

1 página

He publicado nuevos apuntes de 1º Bioquímica: APUNTES-QUIMICA.pdf

2 páginas

He publicado nuevos examenes de 1º Bioquímica: ExamenUGREnfermeriaMelillaBioM.pdf

11 páginas

He publicado nuevos examenes de 1º Bioquímica: ExamenUGREnfermeriaMelillaMET.pdf

18 páginas

apuntes

-

problemas bq

He publicado nuevos apuntes de 1º Bioquímica: problemas bq

problemas-bq.pdf
2021-4.pdf

He publicado nuevos apuntes de 1º Bioquímica: TEMA-6-metabolismo-general.pdf

16 páginas

apuntes

-

BIOQUÍMICA ENFERMERÍA

He publicado nuevos apuntes de 1º Bioquímica: BIOQUÍMICA ENFERMERÍA

GLUCIDOS.pdf
LIPIDOS.pdf
ENZIMAS.pdf

He publicado nuevos apuntes de 1º Bioquímica: RESUMEN-TEMAS.pdf

37 páginas
Anónimo

@Anónimo

He publicado nuevos apuntes de 1º Bioquímica: ACIDOS-NUCLEICOS-UGR.pdf

4 páginas