Biorreactores

chevron_left
chevron_right
Todo
Apuntes
Ejercicios
Exámenes
Prácticas
Test
Trabajos
chevron_left
chevron_right

apuntes

-

Apuntes Biorreactores

He publicado nuevos apuntes de 3º Biorreactores: Apuntes Biorreactores

BIOR-TEMA-2.pdf
BIOR-TEMA-3.pdf
BIOR-TEMA-4.pdf
BIOR-TEMA-6.pdf
BIOR-TEMA-7.pdf

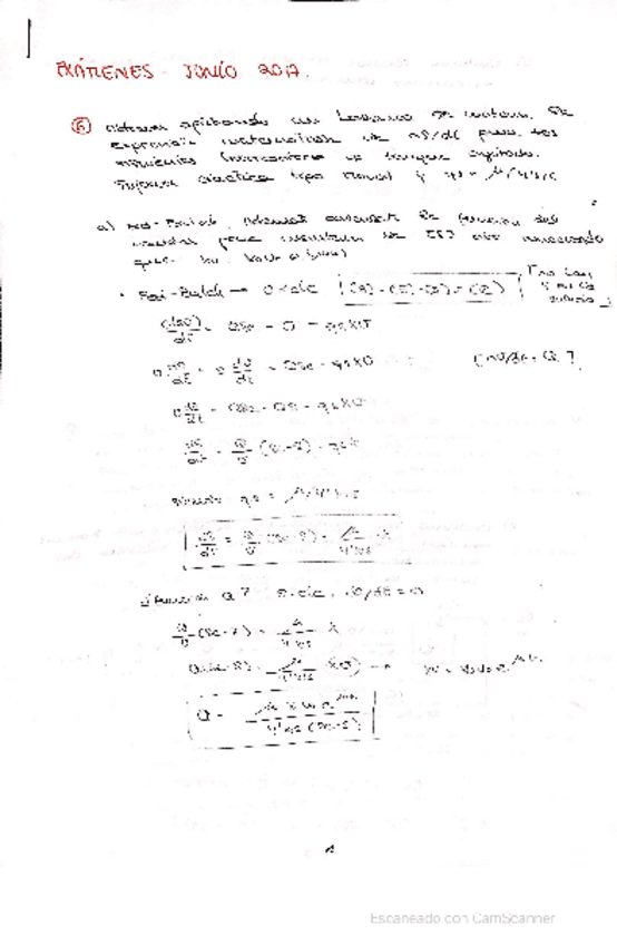
Este es un ejercicio que han puesto en varias convocatorias y casi nadie ha sacado porque no se dan problemas de esa parte.

4 páginas
Anónimo

@Anónimo

He publicado nuevos examenes de 3º Biorreactores: Examen-resuelto-y-ejercicios.pdf

8 páginas

practicas

-

practicas biorr

He publicado nuevos practicas de 3º Biorreactores: practicas biorr

B5DTR.pdf
B5INMOVILIZACION.pdf
B5KLA.pdf
B5DTR.xlsx
B5INMOVILIZACION.xlsx
B5KLA.xlsx

apuntes

-

Apuntes Biorreactores

He publicado nuevos apuntes de 3º Biorreactores: Apuntes Biorreactores

Tema-1.-Cinetica-enzimatica-y-microbiana.pdf
Tema-2.-Biocatalizadores-inmovilizados.pdf
Tema-4.-Estequiometria-y-balances-de-energia.pdf
Tema-5.-Aireacion-Agitacion-y-Esterilizacion.pdf
Tema-6.-Cambio-de-escala.pdf

He publicado nuevos examenes de 3º Biorreactores: Convocatoria-Septiembre-2025-BIORR.pdf

2 páginas

lo subo hecho por mi pero vamos que en el campus esta igual, por si otro año no lo ponen mas q na

9 páginas

He publicado nuevos practicas de 3º Biorreactores: Informe-DTR.pdf

8 páginas

He publicado nuevos practicas de 3º Biorreactores: C2InmovilizacionInforme.pdf

6 páginas
Anónimo

@Anónimo

He publicado nuevos test de 3º Biorreactores: Examen-Test-Resuelto-Explicado.pdf

14 páginas

He publicado nuevos apuntes de 3º Biorreactores: Apuntes-Biorreactores.pdf

30 páginas
Anónimo

@Anónimo

He publicado nuevos apuntes de 3º Biorreactores: Preguntas-Test-Por-Temas.pdf

8 páginas

He publicado nuevos examenes de 3º Biorreactores: Convocatoria-Febrero-2025-BIORR.pdf

2 páginas

He publicado nuevos ejercicios de 3º Biorreactores: Todos-los-Temas.-Ejercicios-BIORR.pdf

7 páginas

He publicado nuevos examenes de 3º Biorreactores: Convocatoria-Junio-2024-BIORR.pdf

1 página

He publicado nuevos ejercicios de 3º Biorreactores: Hoja-de-Ejercicios-BIORR.pdf

2 páginas

examenes

-

Ejercicios de examen

He publicado nuevos examenes de 3º Biorreactores: Ejercicios de examen

Ejercicios-de-teoria.pdf
Formulario.pdf
Ejercicios-de-problemas.pdf

He publicado nuevos examenes de 3º Biorreactores: Recopilatorio-BIOR.pdf

21 páginas

He publicado nuevos ejercicios de 3º Biorreactores: Hoja-de-Problemas.-T1.pdf

1 página

He publicado nuevos practicas de 3º Biorreactores: Practica-I-Alginato.pdf

3 páginas

He publicado nuevos practicas de 3º Biorreactores: Practica-II-Kla.pdf

11 páginas

He publicado nuevos apuntes de 3º Biorreactores: Apuntes-biorreactores.pdf

43 páginas

He publicado nuevos apuntes de 3º Biorreactores: PROBLEMA-ENZIMATICA.pdf

3 páginas

He publicado nuevos apuntes de 3º Biorreactores: Preguntas-bibliografia-bibliografia.pdf

2 páginas

He publicado nuevos apuntes de 3º Biorreactores: INFORME-DTR.pdf

6 páginas

He publicado nuevos ejercicios de 3º Biorreactores: Tarea-Bibliografica-BIORR.pdf

2 páginas

He publicado nuevos examenes de 3º Biorreactores: preguntas-examen-BIOR.pdf

17 páginas

ejercicios

-

ejercicios

He publicado nuevos ejercicios de 3º Biorreactores: ejercicios

ejercicio-T6-BIOR.pdf
ejercicios-modelizacion-BIOR.pdf

apuntes

-

Deducciones reactores

He publicado nuevos apuntes de 3º Biorreactores: Deducciones reactores

deduccion-quimiostatos-en-serie.pdf
deduccion-batch.pdf
deduccion-quimiostato.pdf
deduccion-flujo-piston.pdf
deduccion-RCTA-con-recirculacion.pdf
deduccion-RCTA.pdf

apuntes

-

Apuntes biorreactores

He publicado nuevos apuntes de 3º Biorreactores: Apuntes biorreactores

Tema-2-ejercicios-apuntes-biorr.pdf
Tema-4-COMPLETO-apuntes-biorr.pdf
Tema-6-y-7-apuntes-biorr.pdf
Tema-2-y-3-apuntes-biorr.pdf
Ejercicios-de-examen-bior.pdf
Resumenes--formulas.pdf

He publicado nuevos apuntes de 3º Biorreactores: recopilacion-ejercicios-examen.pdf

15 páginas

apuntes

-

APUNTES COMPLETOS+EJERCICIOS

He publicado nuevos apuntes de 3º Biorreactores: APUNTES COMPLETOS+EJERCICIOS

teoria-examen-biorreactores.pdf
tema-7-biorreactores.pdf
tema-6-biorreactores.pdf
tema-4.3-biorreactores.pdf
tema-4.2.3-biorreactores.pdf
Tema-4.2.2--ejercicios.pdf

He publicado nuevos practicas de 3º Biorreactores: BIORR.-memoria.pdf

16 páginas

He publicado nuevos apuntes de 3º Biorreactores: BIORR-APUNTES-COMPLETO.pdf

57 páginas

He publicado nuevos apuntes de 3º Biorreactores: Apuntes-para-examen-biorreactores.pdf

44 páginas

He publicado nuevos apuntes de 3º Biorreactores: Resumen-Biorreactores.pdf

38 páginas

He publicado nuevos examenes de 3º Biorreactores: Preguntas-de-examen-teoria-biorreactores.pdf

13 páginas

He publicado nuevos apuntes de 3º Biorreactores: repaso-examenes.pdf

2 páginas

He publicado nuevos trabajos de 3º Biorreactores: Preguntas-bibliografia.pdf

2 páginas

He publicado nuevos apuntes de 3º Biorreactores: DESARROLLOS-EXAMEN.pdf

12 páginas

apuntes

-

INFORMES PRÁCTICAS BIORREACTORES 2023

He publicado nuevos apuntes de 3º Biorreactores: INFORMES PRÁCTICAS BIORREACTORES 2023

DATOS-EXPERIMENTALES-DETERMINACION-DTR-GRUPO-A1-FINAL.xlsx
DATOS-EXPERIMENTALES-INMOVILIZACION-GRUPO-A1-FINAL.xlsx
DATOS-EXPERIMENTALES-KLA-GRUPO-A1-FINAL.xlsx
PRACTICA-DTR-BIORREACTORES.pdf
PRACTICA-INMOVILIZACION-BIORREACTORES.pdf
PRACTICA-KLA-BIORREACTORES.pdf

apuntes

-

EXCELS PARA COMPLETAR EN PRÁCTICAS

He publicado nuevos apuntes de 3º Biorreactores: EXCELS PARA COMPLETAR EN PRÁCTICAS

INMOVILIZACION-EXCEL.xlsx
DTR-EXCEL.xlsx
KLA-EXCEL.xlsx

He publicado nuevos trabajos de 3º Biorreactores: Ejercicio-Entregable-Cinetica-enzimatica.pdf

3 páginas

practicas

-

Prácticas

He publicado nuevos practicas de 3º Biorreactores: Prácticas

Inmovilizacion.pdf
KLa.pdf

apuntes

-

PRÁCTICAS BIORREACTORES

He publicado nuevos apuntes de 3º Biorreactores: PRÁCTICAS BIORREACTORES

A2DTR.pdf
A2INMOVILIZACION.pdf
A2KLA.pdf

He publicado nuevos apuntes de 3º Biorreactores: BUSQUEDA-DE-BLIBLIOGRAFIA-CARLOS-CASTRO-SORIA.pdf

4 páginas

He publicado nuevos apuntes de 3º Biorreactores: ARTICULO-CRITICO-CARLOS-CASTRO-SORIA.pdf

2 páginas

He publicado nuevos ejercicios de 3º Biorreactores: Cinetica-enzimatica-Blanca-Castro-Moledo.pdf

5 páginas

ejercicios

-

Problemas resueltos

He publicado nuevos ejercicios de 3º Biorreactores: Problemas resueltos

Modelizacion.pdf
Reactores.pdf
Ejercicio-cinetica-enzimatica.pdf
Escalamiento.pdf
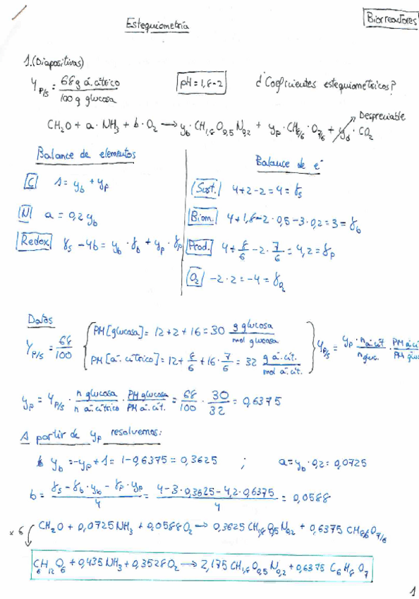
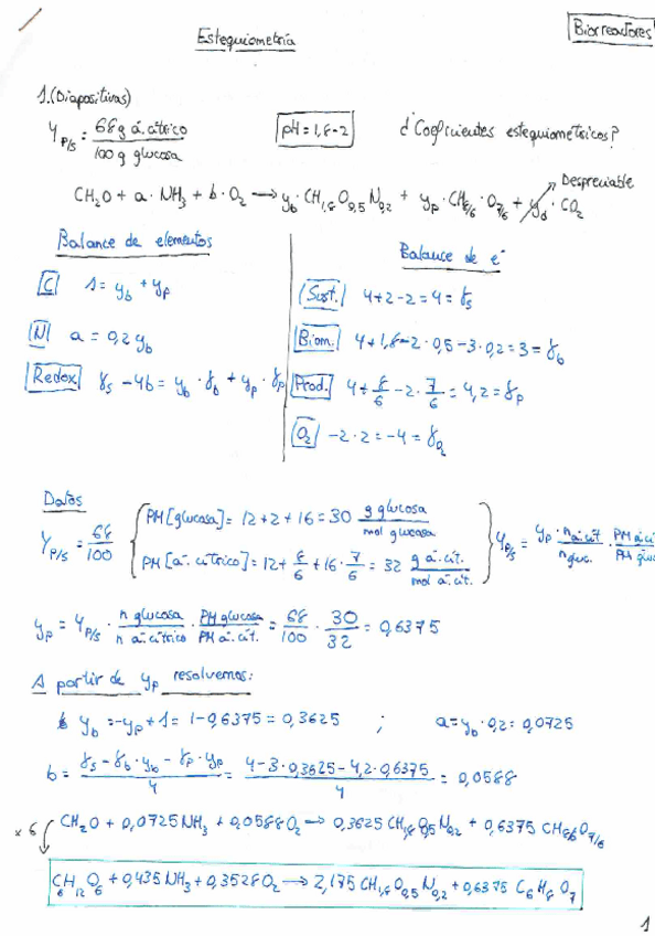
Estequiometria.pdf
Ejercicio-1-Biorreactores.pdf
Anónimo

@Anónimo

He publicado nuevos examenes de 3º Biorreactores: Test.pdf

2 páginas

He publicado nuevos examenes de 3º Biorreactores: Examenes-resueltos.pdf

18 páginas

apuntes

-

Desarrollo fórmulas y resúmenes

He publicado nuevos apuntes de 3º Biorreactores: Desarrollo fórmulas y resúmenes

Desarrollo-de-formulas.pdf
Resumen-temario.pdf
Anónimo

@Anónimo

He publicado nuevos apuntes de 3º Biorreactores: Busqueda-bibliografica.pdf

2 páginas

He publicado nuevos examenes de 3º Biorreactores: Examen-Biorreactores-Junio-2022.pdf

2 páginas

ejercicios

-

Problemas Biorreactores

He publicado nuevos ejercicios de 3º Biorreactores: Problemas Biorreactores

Tema4. Modelización.pdf
Tema2. Unidades enzimáticas.pdf
Tema5. Estequimetría.pdf
Tema5. Diseño de Biorreactores.pdf
Tema7. Agitación y Aireación.pdf

He publicado nuevos apuntes de 3º Biorreactores: Demostraciones-y-ejercicios-de-examen-.pdf

20 páginas

He publicado nuevos apuntes de 3º Biorreactores: Posiblespreguntasdeexamen.pdf

7 páginas

He publicado nuevos apuntes de 3º Biorreactores: Apuntes-Biorreactores-.pdf

34 páginas

apuntes

-

EXÁMENES RESUELTOS

He publicado nuevos apuntes de 3º Biorreactores: EXÁMENES RESUELTOS

EXAMEN-SEPTIEMBRE-2017.pdf
EXAMEN-SEPTIEMBRE-2016.pdf
EXAMEN-JUNIO-2019.pdf
EXAMEN-JUNIO-2017.pdf
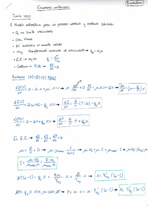
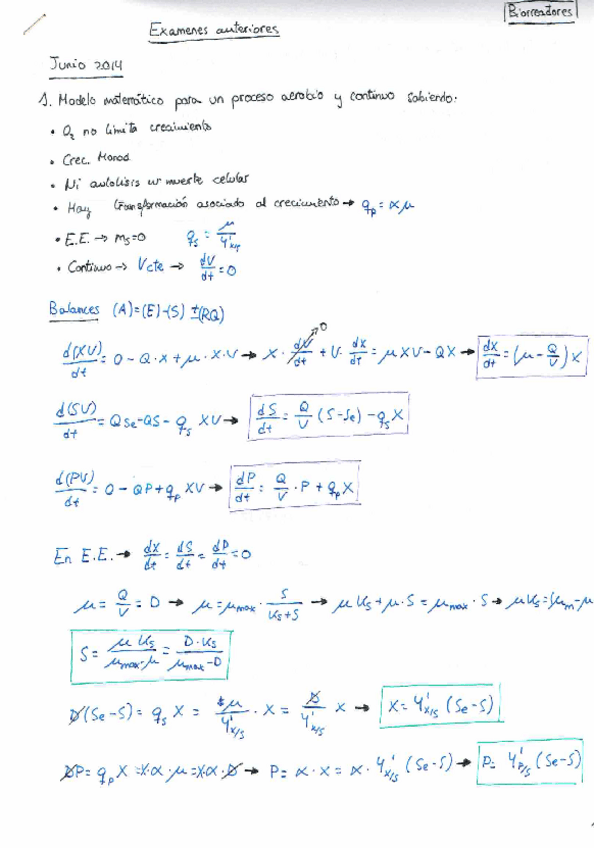
EXAMEN-JUNIO-2014.pdf

apuntes

-

PROBLEMAS RESUELTOS POR TEMAS

He publicado nuevos apuntes de 3º Biorreactores: PROBLEMAS RESUELTOS POR TEMAS

PROBLEMAS-BALANCE-DE-ENERGIA.pdf
PROBLEMAS-DE-UNIDADES-ENZIMATICAS.pdf
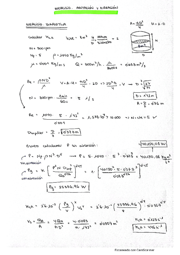
PROBLEMAS-AIREACION.pdf
PROBLEMAS-MODELIZACION-DE-PROCESOS-BIOLO.pdf
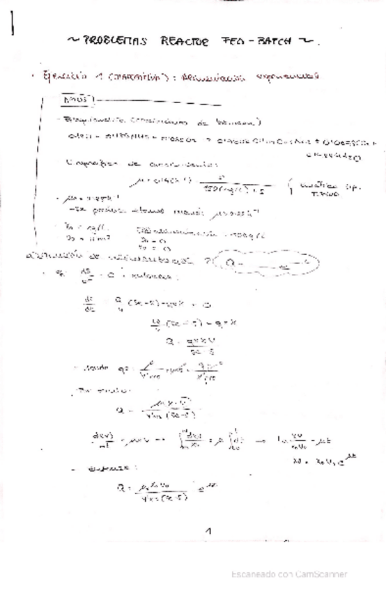
PROBLEMAS-REACTOR-FED-BATCH.pdf
PROBLEMAS-ESTEQUIOMETRIA.pdf