Todo
Apuntes
Ejercicios
Exámenes
chevron_left
chevron_right

ejercicios

-

Relaciones de ejercicios

He publicado nuevos ejercicios de 2º Biorreactores: Relaciones de ejercicios

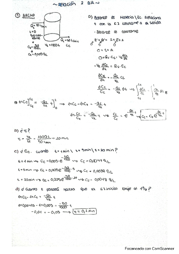
Relacion-2.pdf
Relacion-3.pdf
Relacion-4.pdf
Relacion-5.pdf
Relacion-6.pdf
Relacion-8.pdf

examenes

-

Exámenes resueltos

Están resueltas por mi, no por el profesor. Puede haber fallos.

Ordinaria-2023-resuelta.pdf
Ordinaria-2024-resuelta.pdf

apuntes

-

Formularios

He publicado nuevos apuntes de 2º Biorreactores: Formularios

Apuntes-primer-parcial.pdf
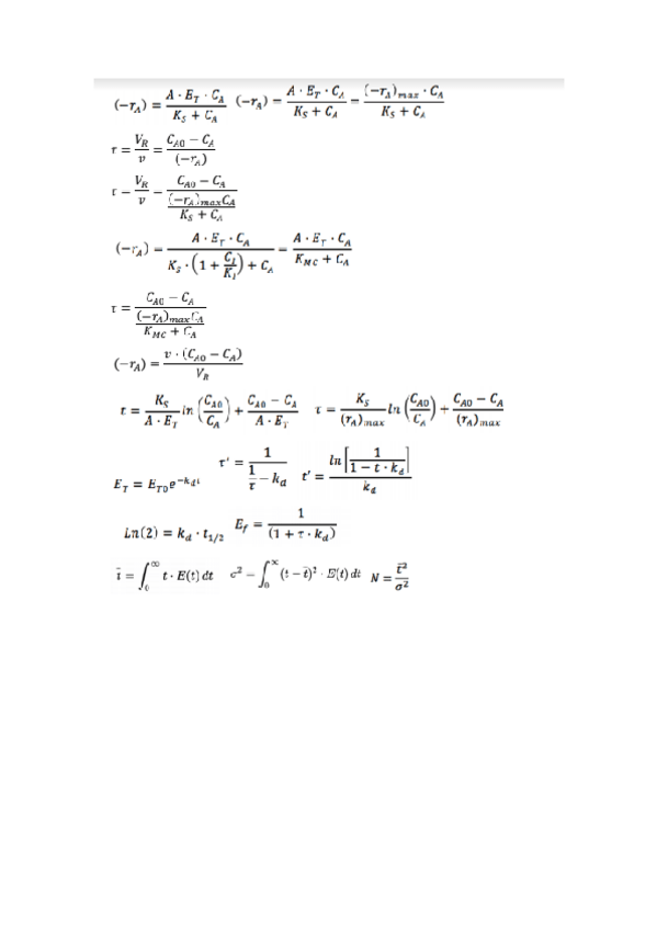
Formulario-tema-2.pdf
Formulario-tema-5.pdf
Formulario-tema-6.pdf
Formulario-tema-8.pdf

ejercicios

-

EJERCICIOS COMPLETOS BIORREACTORES

He publicado nuevos ejercicios de 2º Biorreactores: EJERCICIOS COMPLETOS BIORREACTORES

TEMA-2.pdf
TEMA-3.pdf
TEMA-4.pdf
TEMA-5.pdf
TEMA-6.pdf
TEMA-8.pdf

He publicado nuevos ejercicios de 2º Biorreactores: Problemas-biorreactores.pdf

41 páginas

He publicado nuevos apuntes de 2º Biorreactores: Temas-123-y-4.pdf

13 páginas

He publicado nuevos examenes de 2º Biorreactores: Examen-resuelto-ordinaria2024.pdf

1 página

He publicado nuevos apuntes de 2º Biorreactores: Biorreactores-todos-los-temas.pdf

18 páginas

He publicado nuevos apuntes de 2º Biorreactores: Biorreactores-todos-los-temas.pdf

26 páginas
Anónimo

@Anónimo

He publicado nuevos apuntes de 2º Biorreactores: Examen-ordinario-junio-2024.pdf

4 páginas

He publicado nuevos examenes de 2º Biorreactores: Examen-ordinario-2024-enunciados-2oparcial.pdf

2 páginas

He publicado nuevos ejercicios de 2º Biorreactores: Ejercicios-Biorreactores-Parcial.pdf

51 páginas

ejercicios

-

Relaciones problemas

He publicado nuevos ejercicios de 2º Biorreactores: Relaciones problemas

Relacion-2.pdf
Relacion-3.pdf
Relacion-4.pdf

apuntes

-

ejercicos BR (los que me dio tiempo)

He publicado nuevos apuntes de 2º Biorreactores: ejercicos BR (los que me dio tiempo)

ejemplos-de-ejercicios-parcial-BR.pdf
ejercicios-tema-2.pdf
ejercicios-tema-3-y-4.pdf
Repaso-final-parcial-BR-ejercicios-aleatorios-tema-1-4.pdf

apuntes

-

Apuntes Biorreactores

He publicado nuevos apuntes de 2º Biorreactores: Apuntes Biorreactores

Tema-3-BR.pdf
Tema-4-BR.pdf
Tema-2-BR.pdf
Tema-5-BR.pdf
Tema-6-BR.pdf
Tema-8-BR.pdf

He publicado nuevos examenes de 2º Biorreactores: EXAMEN-ORDINARIO-BIORREACTORES.pdf

3 páginas

apuntes

-

EJERCICIOS T5-T8

He publicado nuevos apuntes de 2º Biorreactores: EJERCICIOS T5-T8

relacion-tema-6.pdf
Relacion-Tema-5.pdf
relacion-t8.pdf

apuntes

-

APUNTES

He publicado nuevos apuntes de 2º Biorreactores: APUNTES

FORMULARIO-T6.pdf
tema-8-biorreactores.pdf

apuntes

-

TEMAS

He publicado nuevos apuntes de 2º Biorreactores: TEMAS

Tema2.Biorreactores.GradoBiotecnologia.pdf
Tema-3-Biorreactores-enzimaticos.pdf
Tema-4-Biorreactores-enzimaticos-heterogeneos.pdf
Tema-1.Biorreactores.pdf

apuntes

-

PARCIAL RESUELTO

He publicado nuevos apuntes de 2º Biorreactores: PARCIAL RESUELTO

Parcial-abril-2017-RESUELTO.pdf

apuntes

-

EJERCICIOS T1-T4

He publicado nuevos apuntes de 2º Biorreactores: EJERCICIOS T1-T4

PROBLEMAS-TEMA-1.pdf
RELACION-DE-EJERCICIOS-TEMA-4.pdf
RELACION-DE-EJERCICIOS-TEMA-3.pdf
EJERCICIOS-TEMA-2.pdf

apuntes

-

Apuntes Biorreactores y Ejercicios de clase.

He publicado nuevos apuntes de 2º Biorreactores: Apuntes Biorreactores y Ejercicios de clase.

Tema-2.-Biorreactores.pdf
Tema-1.-Biorreactores.pdf
Tema-3-Biorreactores-enzimaticos.pdf

apuntes

-

Apuntes biorreactores

He publicado nuevos apuntes de 2º Biorreactores: Apuntes biorreactores

Tema-1-BR.pdf

ejercicios

-

Tema 1

He publicado nuevos ejercicios de 2º Biorreactores: Tema 1

Conversion-y-rendimiento.pdf

He publicado nuevos apuntes de 2º Biorreactores: Actividad-tema-8-a-entregar-.pdf

2 páginas

examenes

-

Examen final Junio 2019

He publicado nuevos examenes de 2º Biorreactores: Examen final Junio 2019

2019-06-14-19-40-pagina-2.pdf
2019-06-14-19-40-pagina-3.pdf
2019-06-14-19-40-pagina-1.pdf

He publicado nuevos examenes de 2º Biorreactores: Examen resuelto.Parcial Biorreactores Abril 2019.xlsx

excel

ejercicios

-

Relación de problemas Tema 2

He publicado nuevos ejercicios de 2º Biorreactores: Relación de problemas Tema 2

Relacion 2.Biorreactores.Flujo en biorreactores.pdf

ejercicios

-

Relacion de problemas Tema 4

He publicado nuevos ejercicios de 2º Biorreactores: Relacion de problemas Tema 4

EJERCICIO 1.pdf
ejercicio 8.pdf
Relacion 4.Biorreactores.Biorreactores cultivo microorganismos.Grado Biotecnologia.pdf
Ejercicio 13.pdf
EJERCICIO 6.pdf

examenes

-

Examen parcial Abril 2017

He publicado nuevos examenes de 2º Biorreactores: Examen parcial Abril 2017

Examen ej 4.pdf
examen ej 3.pdf
Examen ej 1.pdf
Examen ej 2.pdf
Examen ej 5.pdf

examenes

-

Exámenes tipo

He publicado nuevos examenes de 2º Biorreactores: Exámenes tipo

Examen tipo 1.pdf
Examen tipo 2.pdf
Formulario.pdf

ejercicios

-

Relacion de problemas Tema 5

He publicado nuevos ejercicios de 2º Biorreactores: Relacion de problemas Tema 5

Ejercicio 2.pdf

ejercicios

-

Relacion de problemas Tema 3

He publicado nuevos ejercicios de 2º Biorreactores: Relacion de problemas Tema 3

EJERCICIOS MATHCAD.pdf