Todo
Apuntes
Ejercicios
Exámenes
Prácticas
chevron_left
chevron_right

apuntes

-

Teoría Biorreactores

He publicado nuevos apuntes de 3º Biorreactores: Teoría Biorreactores

Tema-1-Biorreactores.pdf
Tema-2-Biorreactores.pdf
Tema-3-Biorreactores.pdf
Anónimo

@Anónimo

examenes

-

parciales curso 24-25

He publicado nuevos examenes de 3º Biorreactores: parciales curso 24-25

biorreactores-examenes.pdf

He publicado nuevos examenes de 3º Biorreactores: Preguntas-teoria.pdf

1 página

Resolución de los problemas desarrollados de la relación 3 que entran en el primer parcial.

6 páginas

Resolución de los problemas desarrollados de la relación 2 que entran en el primer parcial.

11 páginas

apuntes

-

Problemas resueltos 2023-2024

He publicado nuevos apuntes de 3º Biorreactores: Problemas resueltos 2023-2024

tema-5-problemas-resueltos.pdf
tema-4-problemas-resueltos.pdf
relacion-3.pdf
relacion-2.pdf
tema-7-problemas-resueltos.pdf

He publicado nuevos apuntes de 3º Biorreactores: tema-4-teoria.pdf

35 páginas

apuntes

-

Apuntes de prácticas 2023-2024 (examen)

He publicado nuevos apuntes de 3º Biorreactores: Apuntes de prácticas 2023-2024 (examen)

EPD2-EPD3-EPD4-EPD5.pdf
EPD-1.pdf

apuntes

-

Problemas biorreactores

He publicado nuevos apuntes de 3º Biorreactores: Problemas biorreactores

Problemas-en-serie.pdf
Problemas-comparacion.pdf
Problemas-RCMP-EE.pdf
Problemas-TEMA-7.pdf
Problemas-RFP.pdf
Problemas-RCMP-no-EE.pdf

apuntes

-

Temario y ejercicios

He publicado nuevos apuntes de 3º Biorreactores: Temario y ejercicios

Formulario-Tema-4-5.pdf
Formulario-Tema-7.pdf
Tema-4.-Biorreactores-de-tanque-agitado.pdf
Tema-5.-Reactores-flujo-piston.pdf
Tema-6.-Biorreactores-heterogeneos.pdf
Tema-7.-Fermentaciones-enzimaticas-y-mic.pdf

He publicado nuevos practicas de 3º Biorreactores: teoriapracticasbiorreactores.pdf

5 páginas

practicas

-

Biorreactores. EPD

He publicado nuevos practicas de 3º Biorreactores: Biorreactores. EPD

Miniatura no disponible
Biorreactores.-EPDs.pdf
INFORME-BIORREACTORES.xlsx

He publicado nuevos apuntes de 3º Biorreactores: Temas-8-9-y-10.pdf

3 páginas

ejercicios

-

Problemas y ejemplos resueltos

He publicado nuevos ejercicios de 3º Biorreactores: Problemas y ejemplos resueltos

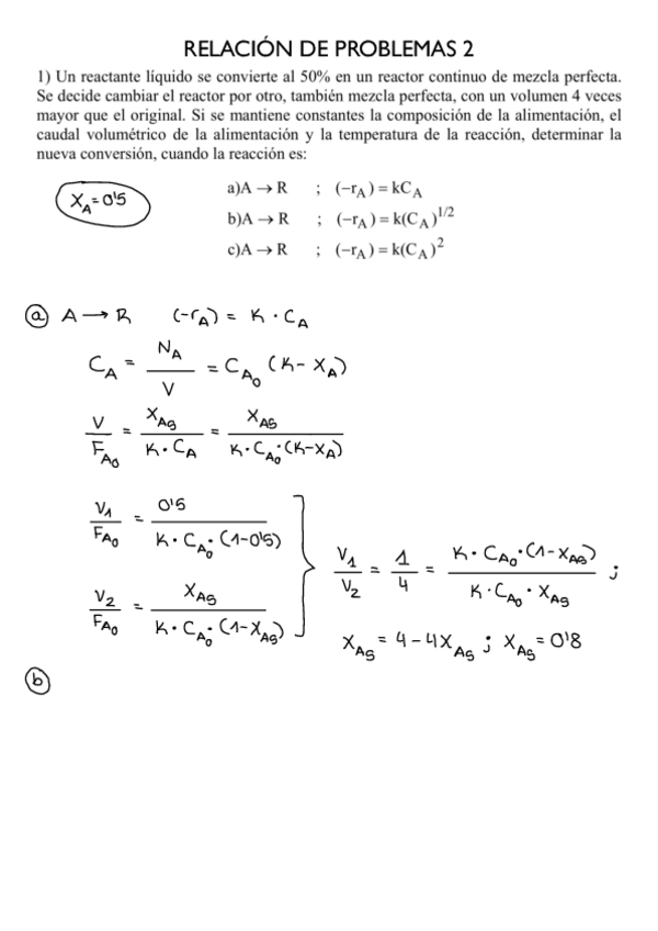
Relacion-de-problemas-3.pdf
Relacion-de-problemas-2.pdf
Relacion-de-problemas-1.pdf
Ejemplos-Tema-5.pdf
Ejemplos-Tema-4.pdf

He publicado nuevos apuntes de 3º Biorreactores: PRACTICAS-BIORREACTORES.pdf

2 páginas

He publicado nuevos apuntes de 3º Biorreactores: Relacion-2-RESUELTA.pdf

10 páginas

examenes

-

Formulario

He publicado nuevos examenes de 3º Biorreactores: Formulario

Formulario.pdf

apuntes

-

Temario EB

He publicado nuevos apuntes de 3º Biorreactores: Temario EB

Tema-4.pdf
Tema-5.pdf
Tema-6.pdf
Tema-7.pdf
Tema-8-9-y-10.pdf

ejercicios

-

Relaciones de problemas

He publicado nuevos ejercicios de 3º Biorreactores: Relaciones de problemas

Relacion-De-Problemas-2-resuelta.pdf

practicas

-

EPD prácticas e informe final

He publicado nuevos practicas de 3º Biorreactores: EPD prácticas e informe final

EPD1.pdf
Informe-final.pdf
EPD2-EPD3-EPD4.pdf

apuntes

-

Apuntes EB completos

He publicado nuevos apuntes de 3º Biorreactores: Apuntes EB completos

Tema-4.pdf
Tema-5.pdf
Tema-6.pdf
Tema-7.pdf
Tema-8-9-10.pdf

He publicado nuevos practicas de 3º Biorreactores: INFORME-BIORREACTORES-2.pdf

3 páginas

He publicado nuevos apuntes de 3º Biorreactores: INFORME-BIORREACTORES-1.pdf

3 páginas

He publicado nuevos apuntes de 3º Biorreactores: RDMP-guia-formulas.pdf

3 páginas

apuntes

-

Apuntes EPD

He publicado nuevos apuntes de 3º Biorreactores: Apuntes EPD

EPD1.pdf
EPD3.pdf
EPD2.pdf

apuntes

-

Apuntes por temas

He publicado nuevos apuntes de 3º Biorreactores: Apuntes por temas

Tema-7.pdf
Tema-5.pdf
Tema-4.pdf
Tema-6.pdf

practicas

-

Prácticas

He publicado nuevos practicas de 3º Biorreactores: Prácticas

3.docx
Examen-de-practicas.docx
Informe.docx
5.docx
2.-Flujo-no-ideal.ppt
4.docx

ejercicios

-

Problemas

He publicado nuevos ejercicios de 3º Biorreactores: Problemas

Relacion-de-Problemas-1.pdf
Relacion-de-Problemas-2.pdf

apuntes

-

Teoría

He publicado nuevos apuntes de 3º Biorreactores: Teoría

UD-7.docx
UD-6.docx
UD-4.docx
UD-3.pdf
UD-1.pdf
UD-2.pdf
¡Estás al día!

¡Estás al día!

Has visto todos los archivos