Todo
Apuntes
Ejercicios
Exámenes
Otros
chevron_left
chevron_right

He publicado nuevos apuntes de 1º Càlcul: Apuntes-Teoricos-Carnet-B-Edicion-Profesional.pdf

5 páginas

Examen de recuperació de Càlcul (2024), amb les correccions a les pàgines de darrere.

10 páginas

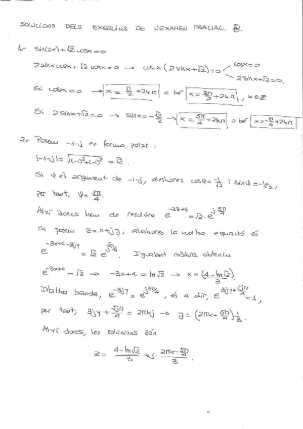
2n Examen parcial de Càlcul (2020), amb les correccions a les pàgines de darrere.

7 páginas

2n Examen parcial de Càlcul (2019), amb les correccions a les pàgines de darrere.

7 páginas

2n Examen parcial de Càlcul (2018), amb les correccions a les pàgines de darrere.

9 páginas

2n Examen parcial de Càlcul (2024), amb les correccions a les pàgines de darrere.

7 páginas

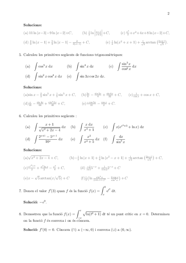
Solucionari d'exercicis dels temes 4 - 9 de l'assignatura de Càlcul.

55 páginas

He publicado nuevos apuntes de 1º Càlcul: Parcial1-Calculo-2025-26.pdf

1 página

He publicado nuevos apuntes de 1º Càlcul: Resum-de-Seminaris-Calcul.pdf

2 páginas

He publicado nuevos apuntes de 1º Càlcul: Resum-Calcul-Tema-5-7.pdf

4 páginas

He publicado nuevos apuntes de 1º Càlcul: Resum-Calcul-Tema-1-4.pdf

4 páginas
Anónimo

@Anónimo

He publicado nuevos examenes de 1º Càlcul: Final-Calcul-2024.pdf

1 página

apuntes

-

Càlcul

He publicado nuevos apuntes de 1º Càlcul: Càlcul

Teoria-Calcul-i-seminaris-Complet.pdf
Formulario-derivadas-e-integrales.pdf
Enunciats-seminaris-calcul.pdf

He publicado nuevos ejercicios de 1º Càlcul: EXERCICIS-SEMINARIS-CALCUL.pdf

16 páginas

He publicado nuevos apuntes de 1º Càlcul: APUNTS-SEMINARIS-CALCUL.pdf

4 páginas

He publicado nuevos examenes de 1º Càlcul: EXAMEN-RECUPERACIO-CALCUL-PARCIAL-1-I-2-2024-2025..pdf

2 páginas

He publicado nuevos examenes de 1º Càlcul: Primer-Parcial-Calcul-2024-25-Solucionat.pdf

3 páginas

He publicado nuevos examenes de 1º Càlcul: Segon-Parcial-Calcul-2024-25.pdf

1 página

He publicado nuevos apuntes de 1º Càlcul: TODOS LOS SEMINARIOS.pdf

4 páginas

Hay un error en el error de taylor

14 páginas

RESUMEN DEL TEMA DE TRIGONOMETRÍA

6 páginas

Resumen del temario que entró en el seminario de cálculo de 2024

4 páginas

He publicado nuevos examenes de 1º Càlcul: 2n-Parcial-Calcul.pdf

1 página

He publicado nuevos apuntes de 1º Càlcul: apunts-calcul-2n-parcial.pdf

17 páginas

He publicado nuevos examenes de 1º Càlcul: 1r Parcial 23/24 + solucions.pdf

4 páginas
Anónimo

@Anónimo

examenes

-

Examens

He publicado nuevos examenes de 1º Càlcul: Examens

1r-parcial-2019.pdf
2n-parcial-2018.pdf
2n-parcial-2019.pdf
2n-parcial-2020.pdf
recu-2020.pdf

He publicado nuevos apuntes de 1º Càlcul: ResumTeoriaCalcul.pdf

32 páginas

He publicado nuevos apuntes de 1º Càlcul: ExamenSeminariCalcul.pdf

4 páginas

He publicado nuevos apuntes de 1º Càlcul: FORMULARIO-CALCULO-P2.pdf

3 páginas

ejercicios

-

Practica Ejercicios

He publicado nuevos ejercicios de 1º Càlcul: Practica Ejercicios

Ecuaciones-Diferenciales.pdf
Estudio-de-Funciones.pdf
Derivadas.pdf
Complejos-Y-Trigonometria.pdf

examenes

-

EXAMENES 2021-2022

He publicado nuevos examenes de 1º Càlcul: EXAMENES 2021-2022

Segon-Parcial-Solucions.pdf
Examen-B-Solucionat.pdf
Enunciats-B-Enunciat.pdf
Examen-A-Solucionat.pdf
Examen-A-Enunciat.pdf

examenes

-

cálculo - parciales

He publicado nuevos examenes de 1º Càlcul: cálculo - parciales

Calcul-examen-2018.pdf
calcul-examen-2019.pdf
calcul-recu-2019-20.pdf

apuntes

-

cálculo - teoría

He publicado nuevos apuntes de 1º Càlcul: cálculo - teoría

Apunts-Calcul.pdf

He publicado nuevos apuntes de 1º Càlcul: Seminari-3.pdf

1 página

He publicado nuevos apuntes de 1º Càlcul: Seminari-2.pdf

1 página

He publicado nuevos apuntes de 1º Càlcul: Seminari-1.pdf

1 página

He publicado nuevos examenes de 1º Càlcul: Parcial-1-2020-2021.pdf

1 página

He publicado nuevos apuntes de 1º Càlcul: Seminari-4-2020-2021.pdf

7 páginas

He publicado nuevos apuntes de 1º Càlcul: Seminari-3-2020-2021.pdf

7 páginas

He publicado nuevos apuntes de 1º Càlcul: Seminari-1-2-2020-2021.pdf

19 páginas

He publicado nuevos apuntes de 1º Càlcul: FuncionsDerivada.pdf

21 páginas

He publicado nuevos apuntes de 1º Càlcul: FuncionsContinues.pdf

16 páginas

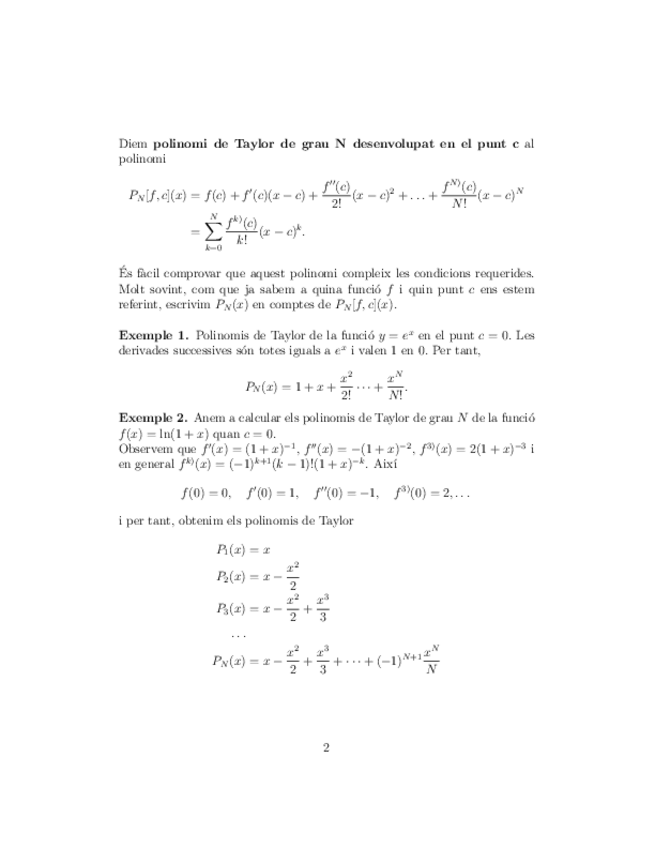
He publicado nuevos apuntes de 1º Càlcul: 4TaylorHopital.pdf

8 páginas

He publicado nuevos apuntes de 1º Càlcul: 6Equacionsdiferencials.pdf

10 páginas

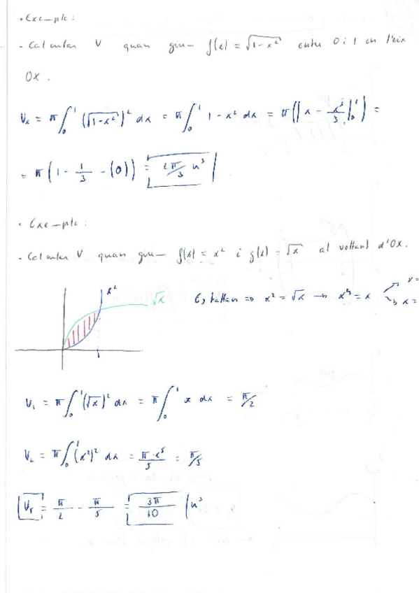
He publicado nuevos apuntes de 1º Càlcul: 5Integracio.pdf

24 páginas

He publicado nuevos apuntes de 1º Càlcul: FuncionsContinues.pdf

16 páginas

He publicado nuevos apuntes de 1º Càlcul: ApuntsComplexos.pdf

22 páginas
Anónimo

@Anónimo

He publicado nuevos apuntes de 1º Càlcul: 4TaylorHopital.pdf

8 páginas
Anónimo

@Anónimo

He publicado nuevos apuntes de 1º Càlcul: 5Integracio.pdf

24 páginas
Anónimo

@Anónimo

He publicado nuevos apuntes de 1º Càlcul: 6Equacionsdiferencials.pdf

10 páginas
Anónimo

@Anónimo

He publicado nuevos examenes de 1º Càlcul: avaluacioseminaris1617.pdf

1 página
Anónimo

@Anónimo

He publicado nuevos examenes de 1º Càlcul: avaluacioseminaris.pdf

1 página
Anónimo

@Anónimo

He publicado nuevos ejercicios de 1º Càlcul: Setmana30novembre4desembre.pdf

2 páginas
Anónimo

@Anónimo

He publicado nuevos ejercicios de 1º Càlcul: Setmana926novembre.pdf

3 páginas
Anónimo

@Anónimo

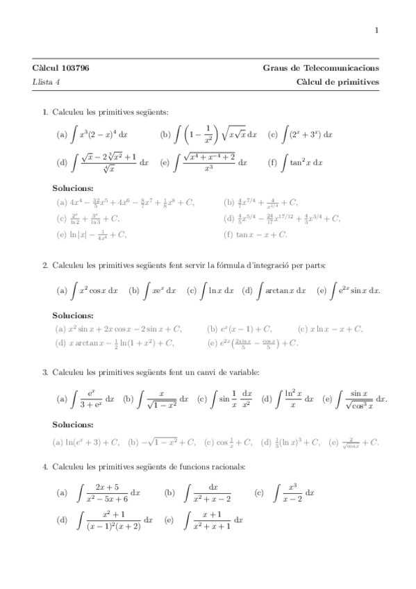
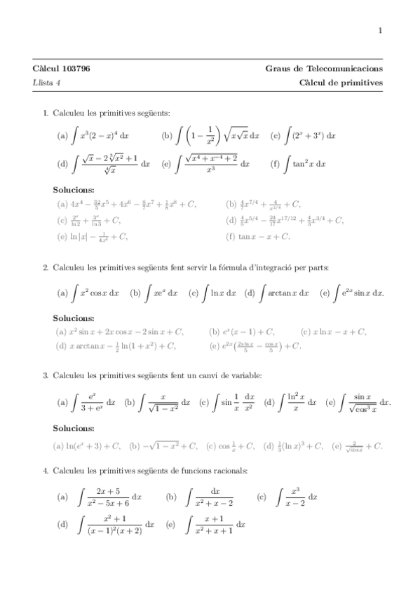
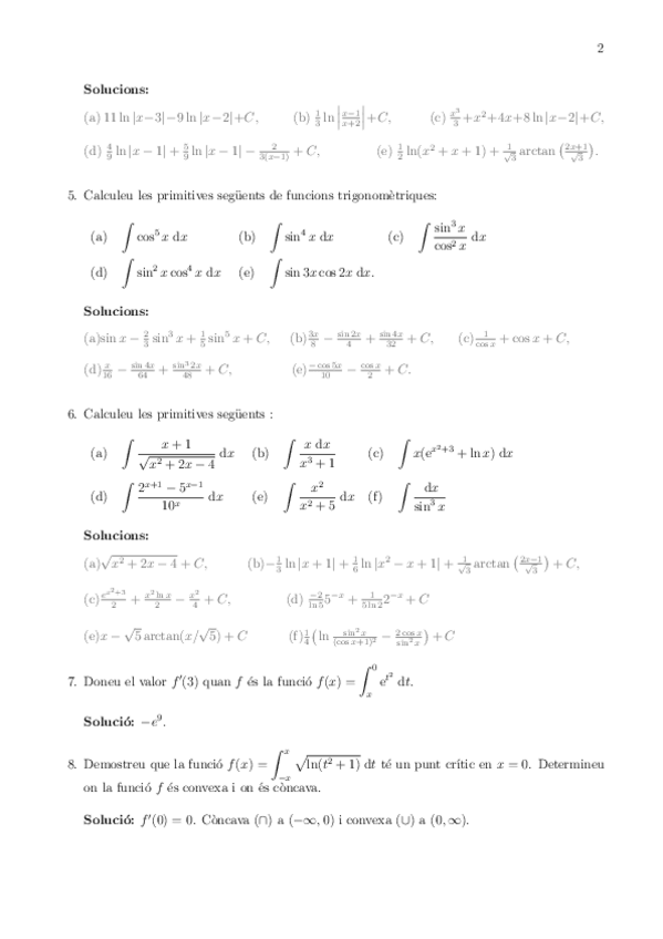
He publicado nuevos ejercicios de 1º Càlcul: llista4.pdf

3 páginas
Anónimo

@Anónimo

He publicado nuevos ejercicios de 1º Càlcul: llista3.pdf

2 páginas
Anónimo

@Anónimo

He publicado nuevos ejercicios de 1º Càlcul: ExercicisSeminari1.pdf

1 página
Anónimo

@Anónimo

He publicado nuevos ejercicios de 1º Càlcul: llista2-1.pdf

6 páginas
Anónimo

@Anónimo

He publicado nuevos ejercicios de 1º Càlcul: llista1-1.pdf

4 páginas
Anónimo

@Anónimo

He publicado nuevos apuntes de 1º Càlcul

https://www.youtube.com/playlist?list=plf4qasjpcjyvgzsfvbn2_xqzjtalr5qct