Càlcul de Diverses Variables

chevron_left
chevron_right
Todo
Apuntes
Ejercicios
Prácticas
chevron_left
chevron_right

He publicado nuevos practicas de 2º Càlcul de Diverses Variables: Entrega-2-CDV-curs-22-23.pdf

2 páginas

He publicado nuevos practicas de 2º Càlcul de Diverses Variables: Entrega-1-CDV-curs-22-23.pdf

3 páginas

He publicado nuevos ejercicios de 2º Càlcul de Diverses Variables: Problemes-Full-1-CDV.pdf

pdf

He publicado nuevos ejercicios de 2º Càlcul de Diverses Variables: Problemes-Full-4-CDV.pdf

pdf

He publicado nuevos ejercicios de 2º Càlcul de Diverses Variables: Problemes-Full-6-CdV.pdf

pdf

He publicado nuevos ejercicios de 2º Càlcul de Diverses Variables: Problemes-Full-3-CDV.pdf

pdf

He publicado nuevos ejercicios de 2º Càlcul de Diverses Variables: Problemes-Full-2-CDV.pdf

pdf

ejercicios

-

Entregues17-18

He publicado nuevos ejercicios de 2º Càlcul de Diverses Variables: Entregues17-18

CVV-Full1.pdf
CVV-Full2.pdf

practicas

-

Lliuraments 2022-2023

He publicado nuevos practicas de 2º Càlcul de Diverses Variables: Lliuraments 2022-2023

Lliurament-4.pdf
Lliurament-1.pdf
Lliurament-2.pdf

He publicado nuevos ejercicios de 2º Càlcul de Diverses Variables: Full-8-Teoremes-integrals-de-Stokes-i-Gauss.pdf

19 páginas

He publicado nuevos ejercicios de 2º Càlcul de Diverses Variables: Full-7-Integrals-dobles-i-triples-II.pdf

5 páginas

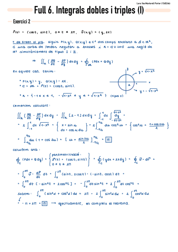
He publicado nuevos ejercicios de 2º Càlcul de Diverses Variables: Full-6-Integrals-dobles-i-triples-I.pdf

6 páginas

He publicado nuevos ejercicios de 2º Càlcul de Diverses Variables: Full-5-Integrals-dobles-i-de-linia.pdf

10 páginas

He publicado nuevos ejercicios de 2º Càlcul de Diverses Variables: Full-4-Diferenciabilitat-II.pdf

20 páginas

He publicado nuevos ejercicios de 2º Càlcul de Diverses Variables: Full-3-Diferenciabilitat-I.pdf

13 páginas

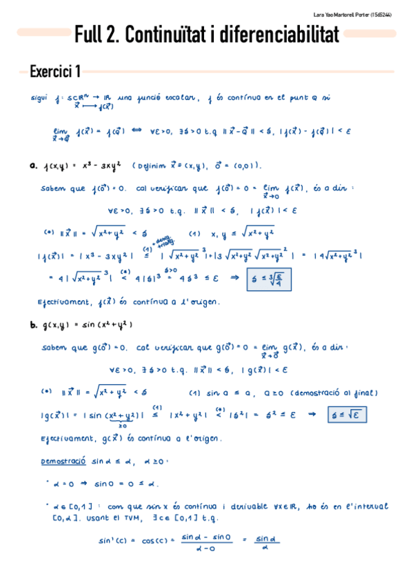
He publicado nuevos ejercicios de 2º Càlcul de Diverses Variables: Full-2-Continuitat-i-diferenciabilitat.pdf

10 páginas

He publicado nuevos ejercicios de 2º Càlcul de Diverses Variables: Full-1-Superficies-i-volums-en-3D.pdf

5 páginas

He publicado nuevos apuntes de 2º Càlcul de Diverses Variables: T6-Integrals-de-linia.pdf

11 páginas

He publicado nuevos apuntes de 2º Càlcul de Diverses Variables: T8-Geometria-diferencial-de-superficies.pdf

12 páginas

He publicado nuevos apuntes de 2º Càlcul de Diverses Variables: T7-Integrals-multiples.pdf

15 páginas

He publicado nuevos apuntes de 2º Càlcul de Diverses Variables: T5-Funcio-implicita.pdf

8 páginas

He publicado nuevos apuntes de 2º Càlcul de Diverses Variables: T4-Maxims-i-minims.pdf

9 páginas

He publicado nuevos apuntes de 2º Càlcul de Diverses Variables: T3-Derivacio-de-funcions.pdf

12 páginas

He publicado nuevos apuntes de 2º Càlcul de Diverses Variables: T2-Continuitat-de-funcions.pdf

5 páginas

He publicado nuevos apuntes de 2º Càlcul de Diverses Variables: T1.pdf

1 página
¡Estás al día!

¡Estás al día!

Has visto todos los archivos