chevron_left
chevron_right
Todo
Apuntes
Ejercicios
Exámenes
Otros
chevron_left
chevron_right
Anónimo

@Anónimo

He publicado nuevos apuntes de 1º Càlcul I: C1-ReExa-22-1-2010.pdf

5 páginas
Anónimo

@Anónimo

He publicado nuevos apuntes de 1º Càlcul I: Exa-C1-25-6-09-ModelA.pdf

4 páginas
Anónimo

@Anónimo

He publicado nuevos apuntes de 1º Càlcul I: Finales.pdf

31 páginas
Anónimo

@Anónimo

He publicado nuevos apuntes de 1º Càlcul I: Resolucio-Exa-10-1-08.pdf

7 páginas

Examen FInal Q1 2024-2025

5 páginas

He publicado nuevos examenes de 1º Càlcul I: Solucion-Examen-Primer-Parcial.pdf

2 páginas

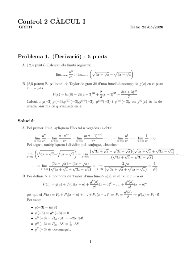
He publicado nuevos examenes de 1º Càlcul I: 2doExControl.pdf

1 página

He publicado nuevos examenes de 1º Càlcul I: SolPrimerExCtrolC1.pdf

1 página

He publicado nuevos examenes de 1º Càlcul I: SolucioControl22-1.pdf

2 páginas

He publicado nuevos examenes de 1º Càlcul I: Parcialsoluciabril22-1.pdf

2 páginas

He publicado nuevos examenes de 1º Càlcul I: Final-Calcul-I-Solucio-1.pdf

4 páginas

He publicado nuevos examenes de 1º Càlcul I: Parcial-Calcul-I-Solucio-1.pdf

4 páginas

He publicado nuevos examenes de 1º Càlcul I: Control-1-de-Calcul-I-2021-3.pdf

2 páginas

He publicado nuevos examenes de 1º Càlcul I: 2018-19-Q1-Final-B-Resolt-1.pdf

2 páginas

He publicado nuevos apuntes de 1º Càlcul I: 2018-19-Q1-Final-A-Resolt-1.pdf

2 páginas

He publicado nuevos examenes de 1º Càlcul I: 2016-17-Q2-Final-B-Resolt.pdf

7 páginas

He publicado nuevos examenes de 1º Càlcul I: 2016-17-Q2-Final-A-Resolt.pdf

7 páginas

He publicado nuevos examenes de 1º Càlcul I: EJERCICIOS-CONTROL-2.pdf

5 páginas

TODOS LOS EJERCICIOS QUE ENTRAN EN EL CONTROL 1

7 páginas

He publicado nuevos ejercicios de 1º Càlcul I: EJERCICIOS-VARIOS-FINAL-CALCULO-I.pdf

16 páginas
Anónimo

@Anónimo

apuntes

-

Apunts

He publicado nuevos apuntes de 1º Càlcul I: Apunts

1.-Els-Nombres.pdf
1.-Els-Nombres.pdf
2.-Funcions.pdf
2.-Funcions.pdf
3.-Derivacio.pdf
3.-Derivacio.pdf

He publicado nuevos apuntes de 1º Càlcul I: FORMULARIO-PARCIAL.pdf

2 páginas

He publicado nuevos apuntes de 1º Càlcul I: FORMULARIO-FINAL.pdf

2 páginas

He publicado nuevos apuntes de 1º Càlcul I: FORMULARI_Parcial1_C1.pdf

2 páginas

He publicado nuevos examenes de 1º Càlcul I: Solucion_Parcial1_C1.pdf

2 páginas

He publicado nuevos apuntes de 1º Càlcul I: Metodo-de-resolucion-Calculo-I.pdf

1 página

He publicado nuevos otros de 1º Càlcul I: Formulario-3-Calculo-I.pdf

2 páginas

He publicado nuevos otros de 1º Càlcul I: Formulario-1-Calculo-I.pdf

1 página

He publicado nuevos ejercicios de 1º Càlcul I: Ejercicios-de-examen-Calculo-I.pdf

6 páginas

He publicado nuevos otros de 1º Càlcul I: Formulario-2-Calculo-I.pdf

2 páginas

He publicado nuevos otros de 1º Càlcul I: Formulario-4-Calculo-I.pdf

2 páginas

apuntes

-

Teoría - Cálculo I

He publicado nuevos apuntes de 1º Càlcul I: Teoría - Cálculo I

Teoria-Integracion-Calculo-I.pdf
Teoria-Integracion-Calculo-I.pdf
Teoria-Derivacion-Calculo-I.pdf
Teoria-Derivacion-Calculo-I.pdf
Teoria-Numeros-reales-y-complejos-Calculo-I.pdf
Teoria-Numeros-reales-y-complejos-Calculo-I.pdf

ejercicios

-

Ejercicios - Cálculo I

He publicado nuevos ejercicios de 1º Càlcul I: Ejercicios - Cálculo I

Integracion-Calculo-I.pdf
Integracion-Calculo-I.pdf
Funciones-Calculo-I.pdf
Funciones-Calculo-I.pdf
Derivacion-Calculo-I.pdf
Derivacion-Calculo-I.pdf

parcial amb solucio

2 páginas

final amb solucions

4 páginas

He publicado nuevos apuntes de 1º Càlcul I: Tipus-de-funcions.pages

Miniatura no disponible
word

He publicado nuevos examenes de 1º Càlcul I: Formulario-Final.pdf

2 páginas

apuntes

-

Cálculo

He publicado nuevos apuntes de 1º Càlcul I: Cálculo

Examenes-Calculo-1part2.pdf
Examenes-Calculo-1part2.pdf
Libro-de-integrales-resueltas.pdf
Libro-de-integrales-resueltas.pdf
integracion.pdf
integracion.pdf

He publicado nuevos apuntes de 1º Càlcul I: Llibre teoria i exercicis.pdf

359 páginas
¡Estás al día!

¡Estás al día!

Has visto todos los archivos