chevron_left
chevron_right
Todo
Apuntes
Exámenes
chevron_left
chevron_right

Formulario Academia Cálculo II GTIAE 2022-2023

2 páginas

He publicado nuevos apuntes de 1º Càlcul II: C2-midterm2019SOLS.pdf

2 páginas

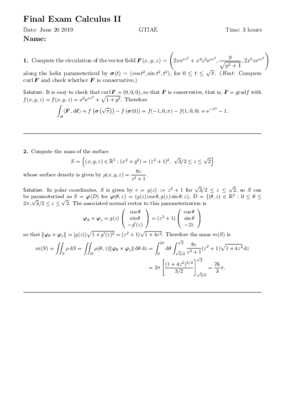
He publicado nuevos examenes de 1º Càlcul II: C2-final2019SOLS.pdf

4 páginas

He publicado nuevos examenes de 1º Càlcul II: C2-midterm2022SOLS.pdf

5 páginas

He publicado nuevos apuntes de 1º Càlcul II: Calculo-2-Apuntes-Academia.pdf

3 páginas
¡Estás al día!

¡Estás al día!

Has visto todos los archivos