chevron_left
chevron_right
Todo
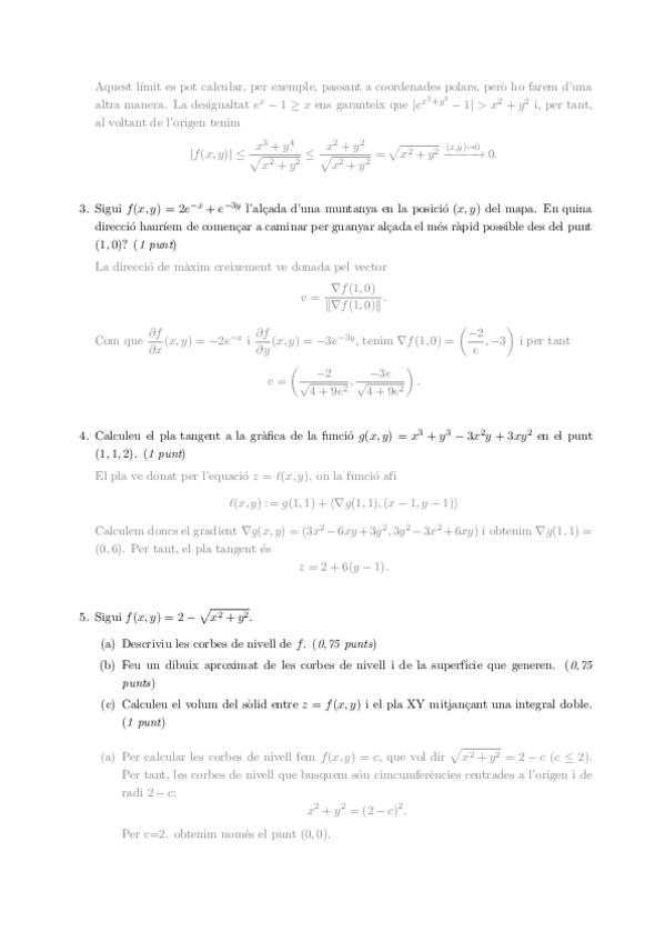
Apuntes
Ejercicios
Exámenes
chevron_left
chevron_right

Solució de la recuperació de càlcul vectorial del curs 25-26.

6 páginas

He publicado nuevos examenes de 2º Càlcul Vectorial: 1r-Parcial-2021.pdf

1 página

He publicado nuevos examenes de 2º Càlcul Vectorial: 2n-Parcial-2021.pdf

1 página
Anónimo

@Anónimo

apuntes

-

calc vectorial

He publicado nuevos apuntes de 2º Càlcul Vectorial: calc vectorial

10-11.pdf
01-03.pdf
14-14.pdf
18-19.pdf
08-09.pdf
12-13.pdf

He publicado nuevos ejercicios de 2º Càlcul Vectorial: ExercicisProposatsSolucions.pdf

40 páginas

He publicado nuevos ejercicios de 2º Càlcul Vectorial: Problemes-3.pdf

13 páginas

He publicado nuevos ejercicios de 2º Càlcul Vectorial: Problemes-2.pdf

8 páginas

He publicado nuevos examenes de 2º Càlcul Vectorial: SolucionsParcial2EQCalculVectorial.pdf

4 páginas

He publicado nuevos examenes de 2º Càlcul Vectorial: SolucionsRecuParcial2EQCalculVectorial.pdf

4 páginas

CAMPO DE GRADIENTES EN 3 VARIABLES

9 páginas

Campos escalares y vectoriales, Prop del gradiente, Prop y relaciones del gradiente y la derivada direccional

6 páginas

Teorema de la Divergencia o de Gauss Ostrogradski

4 páginas

Teorema del Rotor o Teorema de Stokes

3 páginas

PRODUCTO VECTORIAL Y PRODUCTO MIXTO, INTERPRETACIÓN GEOMÉTRICA DEL MÓDULO DEL PRODUCTO VECTORIAL

8 páginas

PRODUCTO ESCALAR ,ORIENTACIONES EN EL PLANO Y EN EL ESPACIO,Propiedades

13 páginas

MAGNITUDES ESCALARES Y VECTORIALES, VECTORES,PROPIEDADESUALDAD DE VECTORES,

35 páginas
¡Estás al día!

¡Estás al día!

Has visto todos los archivos