Calculo 1

chevron_left
chevron_right
Todo
Apuntes
Ejercicios
Exámenes
Otros
Prácticas
chevron_left
chevron_right

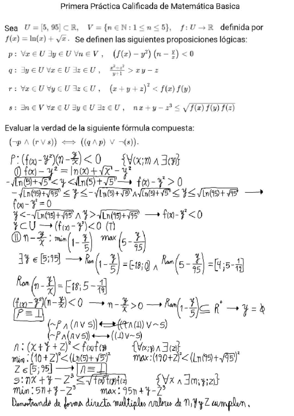
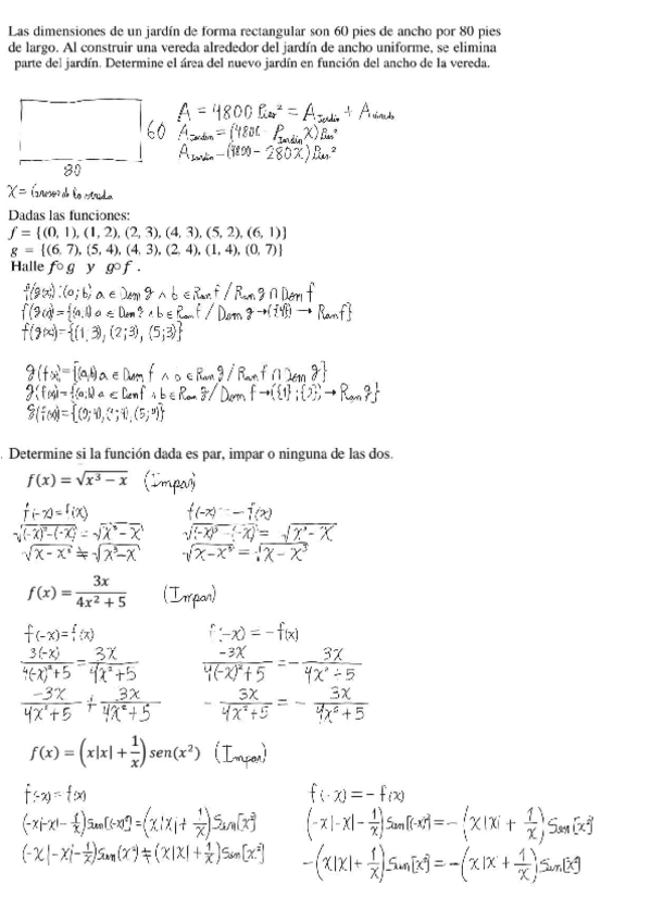
Solucionario de la primera practica calificada de la asignatura matematica basica. Al no estar registrada la asignatura de matematica basica dentro de la carrera de fisica decidi publicar el documento en la asignatura de calculo 1

2 páginas

He publicado nuevos ejercicios de 1º Calculo 1: Solucionario.pdf

8 páginas

Examen enero Calculo I

1 página

Parcial tema 1 y 2 Calculo I

1 página

Conceptos más importantes tema 2

2 páginas

Conceptos más importantes tema 1

4 páginas

Formulario de Integrales

1 página

Formulario de Derivadas

1 página
Anónimo

@Anónimo

He publicado nuevos apuntes de 1º Calculo 1: 20-Guia-Ecuac-Diferenc.pdf

12 páginas
Anónimo

@Anónimo

He publicado nuevos apuntes de 1º Calculo 1: 19-Series-de-Potencias.pdf

10 páginas
Anónimo

@Anónimo

Teoría dada por el profesor en pandemia, actualmente sigue siendo valida

25 páginas
Anónimo

@Anónimo

Teoría dada por el profesor en pandemia, actualmente sigue siendo valida

12 páginas
Anónimo

@Anónimo

Teoría dada por el profesor en pandemia, actualmente sigue siendo valida

15 páginas
Anónimo

@Anónimo

Teoría dada por el profesor en pandemia, actualmente sigue siendo valida

14 páginas
Anónimo

@Anónimo

Teoría dada por el profesor en pandemia, actualmente sigue siendo valida

15 páginas
Anónimo

@Anónimo

He publicado nuevos apuntes de 1º Calculo 1: 13-Diferenciacion-logaritmica-e-implicita.pdf

10 páginas
Anónimo

@Anónimo

He publicado nuevos apuntes de 1º Calculo 1: 12-Derivadas-de-Funciones-Trascendentes.pdf

13 páginas
Anónimo

@Anónimo

He publicado nuevos apuntes de 1º Calculo 1: 11-Derivadas.pdf

25 páginas

He publicado nuevos apuntes de 1º Calculo 1: ley-numeros-reales-.pdf

1 página

He publicado nuevos ejercicios de 3º Calculo 1: TALLER-1.pdf

11 páginas
¡Estás al día!

¡Estás al día!

Has visto todos los archivos