chevron_left
chevron_right
Todo
Apuntes
Ejercicios
Exámenes
publication
Trabajos
chevron_left
chevron_right

examenes

-

EXAMENES 2020-2021 Con Solución

He publicado nuevos examenes de 1º Cálculo Avanzado de Estructuras: EXAMENES 2020-2021 Con Solución

Final-21.pdf

He publicado nuevos apuntes de 1º Cálculo Avanzado de Estructuras: Practica5Estructuras.pdf

7 páginas

He publicado nuevos apuntes de 1º Cálculo Avanzado de Estructuras: Practica3Estructuras.pdf

7 páginas

He publicado nuevos apuntes de 1º Cálculo Avanzado de Estructuras: Practica4Estructuras.pdf

8 páginas

He publicado nuevos apuntes de 1º Cálculo Avanzado de Estructuras: Practica2Estructuras.pdf

12 páginas

He publicado nuevos apuntes de 1º Cálculo Avanzado de Estructuras: Practica1Estructuras.pdf

15 páginas

trabajos

-

Trabajos en Patran

He publicado nuevos trabajos de 1º Cálculo Avanzado de Estructuras: Trabajos en Patran

pandeomtc.pdf
pandeoplacas.pdf
pandeoporticono-lineal3D.pdf

He publicado nuevos ejercicios de 1º Cálculo Avanzado de Estructuras: Problemas-CAE-tipo-examen.pdf

6 páginas
Anónimo

@Anónimo

examenes

-

Recopilación

He publicado nuevos examenes de 1º Cálculo Avanzado de Estructuras: Recopilación

2018-Extraordinario.pdf
2016-Junio-Resp.pdf
2016-Julio-CAE.pdf
2015-Julio-CAE.pdf
Anónimo

@Anónimo

He publicado nuevos examenes de 1º Cálculo Avanzado de Estructuras: Preguntas-de-Examen.pdf

21 páginas

apuntes

-

CAE - Apuntes por temas

Apuntes por temas de la asignatura Cálculo Avanzado de Estructuras (CAE)

CAE-Apuntes-Tema-4-Grandes-deformaciones.pdf
CAE-Apuntes-Tema-1-Complementos-de-estabilidad-y-pandeo.pdf
CAE-Apuntes-Tema-2-Pandeo-en-placas.pdf
CAE-Apuntes-Tema-3-Calculo-no-lineal-de-estructuras.pdf
CAE-Apuntes-Tema-5-Hiperelasticidad.pdf

apuntes

-

Practicas

He publicado nuevos apuntes de 1º Cálculo Avanzado de Estructuras: Practicas

Entregable1PandeoColumna.pdf
Entregable3PandeoPlacaCortante.pdf
Entregable2PandeoPlaca.pdf
Entregable4-NoLineal.pdf
Entregable5-MuelleNoLineal.pdf
Entregable6-MaterialNoLineal.pdf

He publicado nuevos apuntes de 1º Cálculo Avanzado de Estructuras: Exámenes a mano.pdf

13 páginas

apuntes

-

Apuntes 21-22

He publicado nuevos apuntes de 1º Cálculo Avanzado de Estructuras: Apuntes 21-22

Tema-3-Plasticidad-y-Criterios-de-Fallo.pdf
Tema-2-Calculo-No-Lineal.pdf
Tema-4-Grandes-Desplazamientos.pdf
Tema-5-Hiperelasticidad.pdf

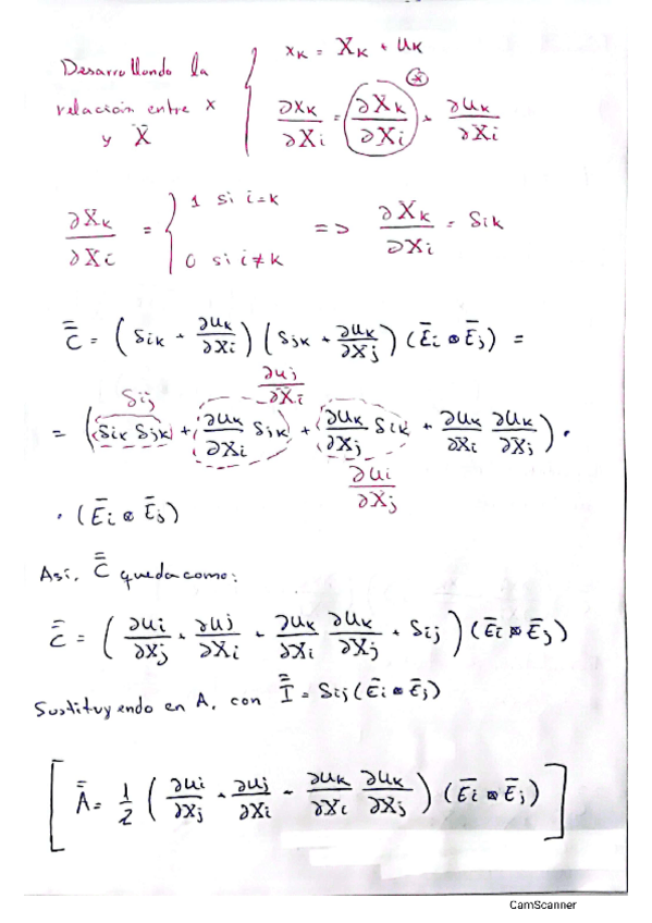
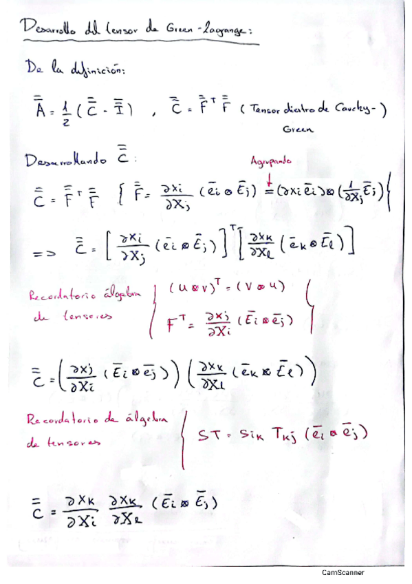
He publicado nuevos apuntes de 1º Cálculo Avanzado de Estructuras: desarrollotensoresgreenalmansi.pdf

4 páginas

He publicado nuevos apuntes de 1º Cálculo Avanzado de Estructuras: CAE.pdf

31 páginas

examenes

-

Exámenes DCCA 2020-2021

He publicado nuevos examenes de 1º Cálculo Avanzado de Estructuras: Exámenes DCCA 2020-2021

ExFinalDCCA2021.pdf

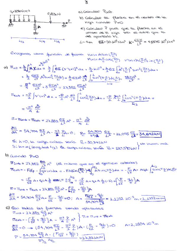
He publicado nuevos apuntes de 1º Cálculo Avanzado de Estructuras: Julio2018ejercicio3.jpg

Imagen

He publicado nuevos apuntes de 1º Cálculo Avanzado de Estructuras: Apuntes-Completos.pdf

46 páginas

He publicado nuevos apuntes de 1º Cálculo Avanzado de Estructuras: Resumen-GrandesDeformaciones.pdf

4 páginas

ejercicios

-

Ejercicios CAE 2020

He publicado nuevos ejercicios de 1º Cálculo Avanzado de Estructuras: Ejercicios CAE 2020

Porticosolucionanalitica.pdf
Portico.pdf
Fuerzas-virtuales.pdf

apuntes

-

Apuntes de cada tema.

He publicado nuevos apuntes de 1º Cálculo Avanzado de Estructuras: Apuntes de cada tema.

1-Estabilidad-y-pandeo.pdf
2-Calculo-no-lineal.pdf
3-Grandes-deformaciones.pdf
4-Hiperelasticidad.pdf

He publicado nuevos apuntes de 1º Cálculo Avanzado de Estructuras: Apuntes-completos-CAE.pdf

28 páginas

APUNTES DEL MOODLE

BUENAS. ALGUIEN TIENE ESTOS APUNTES?

He publicado nuevos apuntes de 1º Cálculo Avanzado de Estructuras: CAE - TEORÍA - Marita CONFORTO 17-18.pdf

48 páginas

He publicado nuevos apuntes de 1º Cálculo Avanzado de Estructuras: Manual_referencia_profesor.pdf

698 páginas

He publicado nuevos apuntes de 1º Cálculo Avanzado de Estructuras: -210213.pdf

6 páginas

He publicado nuevos apuntes de 1º Cálculo Avanzado de Estructuras: The Finite Element Method Vol3 - Fluid Dynamics - R. Taylor.pdf

347 páginas

apuntes

-

Libros de referencia y ejercicios MEF

He publicado nuevos apuntes de 1º Cálculo Avanzado de Estructuras: Libros de referencia y ejercicios MEF

Zienkiewicz O_C_ Taylor R_L_ Vol_ 1_ The finite element met.pdf
problemas_mef.pdf
Zienkiewicz O_C_- Taylor R_L_ Vol_ 2_ The finite element met.pdf
¡Estás al día!

¡Estás al día!

Has visto todos los archivos