Cálculo de Probabilidades

chevron_left
chevron_right
Todo
Apuntes
Ejercicios
Exámenes
chevron_left
chevron_right

examenes

-

Exámenes/Ejercicios

He publicado nuevos examenes de 1º Cálculo de Probabilidades: Exámenes/Ejercicios

PrimeraConvocatoria2024.pdf
SegundaConvocatoria2024.pdf
PrimerParcial2022.pdf
Solucion1oConvo2024.pdf
Solucion2oConvo.pdf
Sol1oParcial2024.pdf

Documento con los contenidos más repetidos de exámenes de la teoría de Cálculo de Probabilidades.

1 página

ejercicios

-

Ejercicios en general

He publicado nuevos ejercicios de 1º Cálculo de Probabilidades: Ejercicios en general

EjerciciosCP.pdf

He publicado nuevos apuntes de 1º Cálculo de Probabilidades: TABLA-DISTRIBUCIONES-DISCRETAS.pdf

1 página

He publicado nuevos examenes de 1º Cálculo de Probabilidades: 2oPARCIAL.pdf

2 páginas

He publicado nuevos apuntes de 1º Cálculo de Probabilidades: TEMA-6.pdf

5 páginas

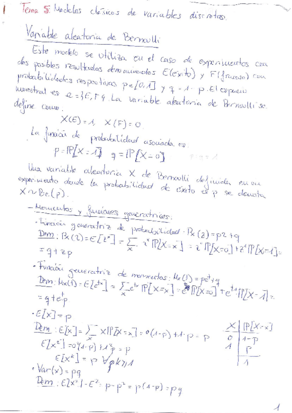
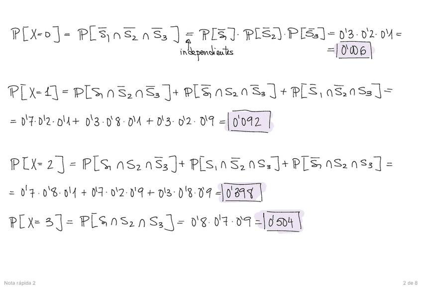
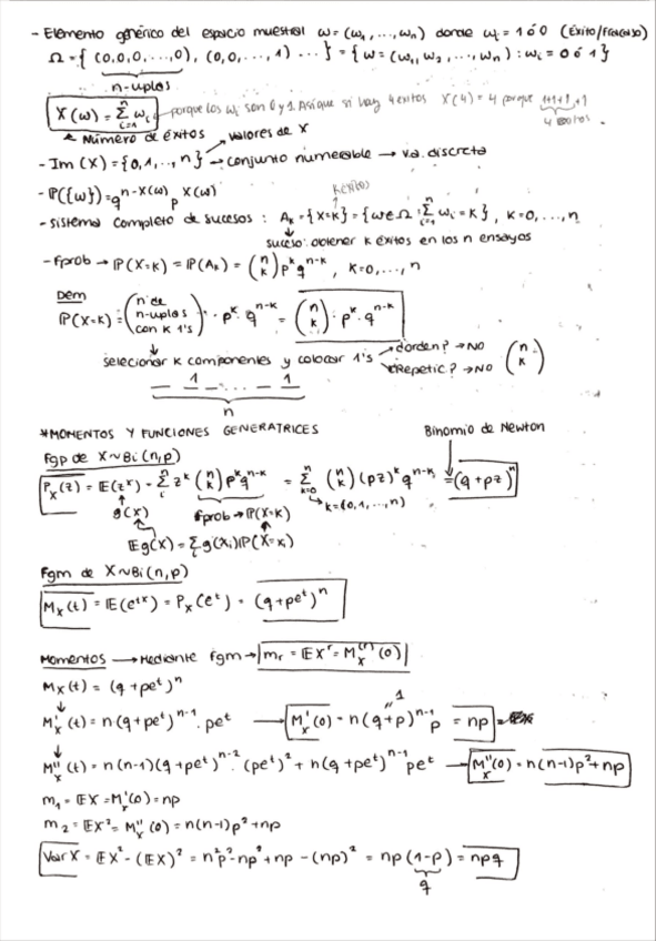
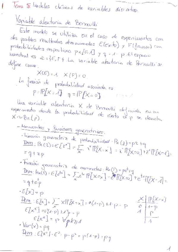
He publicado nuevos apuntes de 1º Cálculo de Probabilidades: TEMA-5.pdf

10 páginas

He publicado nuevos apuntes de 1º Cálculo de Probabilidades: TEMA-4.pdf

5 páginas

He publicado nuevos apuntes de 1º Cálculo de Probabilidades: TEMA-2.pdf

4 páginas

He publicado nuevos apuntes de 1º Cálculo de Probabilidades: TEMA-3.pdf

3 páginas

He publicado nuevos apuntes de 1º Cálculo de Probabilidades: TEMA-1.pdf

5 páginas

He publicado nuevos apuntes de 1º Cálculo de Probabilidades: Tercera-Convocatoria-CP-2024.pdf

2 páginas

He publicado nuevos examenes de 1º Cálculo de Probabilidades: Parcial12018.pdf

4 páginas

He publicado nuevos examenes de 1º Cálculo de Probabilidades: PrimerparcialCP10-11-23.pdf

6 páginas

He publicado nuevos apuntes de 1º Cálculo de Probabilidades: Tema-6-CP-con-Demostraciones.pdf

4 páginas

He publicado nuevos apuntes de 1º Cálculo de Probabilidades: TEMA-5-CP-con-Demostraciones.pdf

8 páginas

He publicado nuevos apuntes de 1º Cálculo de Probabilidades: TEMA-4-CP-con-Demostraciones.pdf

7 páginas

He publicado nuevos apuntes de 1º Cálculo de Probabilidades: TEMA-3-CP.pdf

3 páginas

He publicado nuevos apuntes de 1º Cálculo de Probabilidades: TEMA-2-CP.pdf

4 páginas

He publicado nuevos apuntes de 1º Cálculo de Probabilidades: TEMA-1-CP.pdf

8 páginas

He publicado nuevos apuntes de 1º Cálculo de Probabilidades: DEFINICIONES-TEMAS-4-5-6-CP.pdf

4 páginas

He publicado nuevos apuntes de 1º Cálculo de Probabilidades: DEFINICIONES-TEMAS-1-2-3-CP.pdf

3 páginas

He publicado nuevos apuntes de 1º Cálculo de Probabilidades: RESUMENESQUEMA-TEMA-5-CP.pdf

2 páginas

He publicado nuevos apuntes de 1º Cálculo de Probabilidades: Resumen-Tema-4-CPdemost..pdf

8 páginas

He publicado nuevos apuntes de 1º Cálculo de Probabilidades: Resumen-Tema-3-CPdemost..pdf

4 páginas

He publicado nuevos apuntes de 1º Cálculo de Probabilidades: Resumen-Tema-2-CPdemost..pdf

6 páginas

He publicado nuevos apuntes de 1º Cálculo de Probabilidades: Resumen-Tema-1-CP.pdf

8 páginas

He publicado nuevos apuntes de 1º Cálculo de Probabilidades: Tema-2-Calculo-de-probabilidad.pdf

4 páginas

He publicado nuevos apuntes de 1º Cálculo de Probabilidades: Tema-1-Calculo-de-probabilidad.pdf

5 páginas

He publicado nuevos apuntes de 1º Cálculo de Probabilidades: Tema-3.pdf

7 páginas

He publicado nuevos apuntes de 1º Cálculo de Probabilidades: Tema-2.pdf

6 páginas

He publicado nuevos apuntes de 1º Cálculo de Probabilidades: Tema-1.pdf

7 páginas

He publicado nuevos examenes de 1º Cálculo de Probabilidades: Examen-segundo-parcial-2022.pdf

2 páginas

He publicado nuevos examenes de 1º Cálculo de Probabilidades: Examen-primer-parcial-2022.pdf

2 páginas

He publicado nuevos examenes de 1º Cálculo de Probabilidades: Examen-primer-parcial-2021.pdf

2 páginas

He publicado nuevos apuntes de 1º Cálculo de Probabilidades: Tema-6-CP.pdf

6 páginas

He publicado nuevos apuntes de 1º Cálculo de Probabilidades: Tema-5-CP.pdf

13 páginas

He publicado nuevos apuntes de 1º Cálculo de Probabilidades: Tema-4-CP.pdf

11 páginas

He publicado nuevos apuntes de 1º Cálculo de Probabilidades: Tema-3-CP.pdf

4 páginas

He publicado nuevos apuntes de 1º Cálculo de Probabilidades: Tema-2-CP.pdf

7 páginas

He publicado nuevos apuntes de 1º Cálculo de Probabilidades: Tema-1-CP.pdf

8 páginas

He publicado nuevos apuntes de 1º Cálculo de Probabilidades: Segundo-Parcial-Calculo-de-probabilidades-2022-2023.pdf

2 páginas

He publicado nuevos examenes de 1º Cálculo de Probabilidades: EXAMEN-CP-ENERO-2020.pdf

8 páginas

He publicado nuevos examenes de 1º Cálculo de Probabilidades: EXAMEN-CP-3a-CONVOCATORIA-24-11-2022.pdf

7 páginas

He publicado nuevos examenes de 1º Cálculo de Probabilidades: SOLUCION-EXAMEN-CALCULO-DE-PROBABILIDADES-01092021.pdf

9 páginas

He publicado nuevos apuntes de 1º Cálculo de Probabilidades: Tabla-variables-discretas.pdf

1 página

examenes

-

Exámenes

He publicado nuevos examenes de 1º Cálculo de Probabilidades: Exámenes

Examen-CP-6-Febrero-2020.pdf
Examen-CP-1-Septiembre-2021.pdf
Examen-CP-26-Noviembre-2020.pdf
Examen-CP-13-Noviembre-2019.pdf

He publicado nuevos examenes de 1º Cálculo de Probabilidades: Calculo-de-Probabilidades-parcial-1.pdf

2 páginas

apuntes

-

Cálculo de Probabilidad

He publicado nuevos apuntes de 1º Cálculo de Probabilidades: Cálculo de Probabilidad

9F292805-879C-48FB-A770-F75AF25E1448.png
9D5FC331-B505-42E9-8E32-6FA01C5B4534.jpg
TEMA-1.pdf
Tema2.pdf
Tema-3.pdf

He publicado nuevos apuntes de 1º Cálculo de Probabilidades: Resumen-CP.pdf

29 páginas

He publicado nuevos ejercicios de 1º Cálculo de Probabilidades: 1-a-136.pdf

58 páginas

He publicado nuevos apuntes de 1º Cálculo de Probabilidades: Tema-5-CP.pdf

16 páginas

He publicado nuevos apuntes de 1º Cálculo de Probabilidades: Tema-6-CP.pdf

8 páginas

He publicado nuevos apuntes de 1º Cálculo de Probabilidades: Tema-4-CP.pdf

20 páginas

He publicado nuevos apuntes de 1º Cálculo de Probabilidades: Tema-1-CP.pdf

19 páginas

examenes

-

Exámenes CP

He publicado nuevos examenes de 1º Cálculo de Probabilidades: Exámenes CP

parcial-2018.pdf

apuntes

-

Teoria temas 1-3

He publicado nuevos apuntes de 1º Cálculo de Probabilidades: Teoria temas 1-3

tema-3.pdf
tema-1.pdf
tema-2.pdf

He publicado nuevos apuntes de 1º Cálculo de Probabilidades: Ejercicios-resueltos.pdf

5 páginas

He publicado nuevos apuntes de 1º Cálculo de Probabilidades: Teoremas-examen.pdf

1 página

apuntes

-

Acts cp

He publicado nuevos apuntes de 1º Cálculo de Probabilidades: Acts cp

Acts-t2-cp.pdf
Acts-t3-cp.pdf
Acts-t5-cp.pdf
Acts-t1-cp.pdf
Acts-t6-cp.pdf
Acts-t4-cp.pdf