chevron_left
chevron_right
Todo
Apuntes
chevron_left
chevron_right

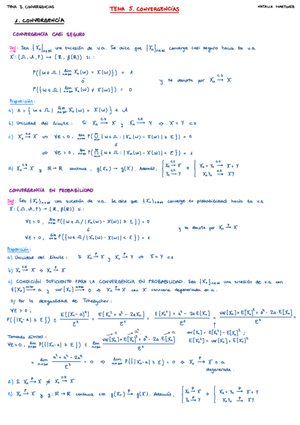
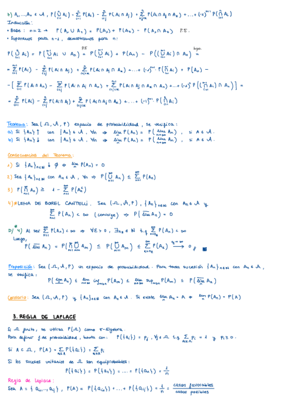
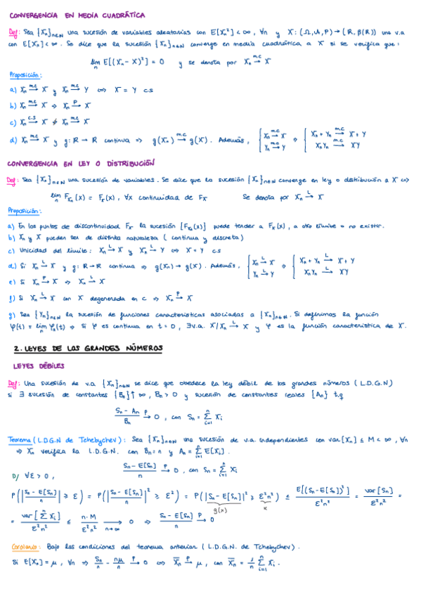
He publicado nuevos apuntes de 2º Cálculo de Probabilidades: TEMA-5.-COVERGENCIAS.pdf

3 páginas

He publicado nuevos apuntes de 2º Cálculo de Probabilidades: TEMA-3.-PARTE-2.-V.A.-UNIDIMENSIONALES.pdf

4 páginas

He publicado nuevos apuntes de 2º Cálculo de Probabilidades: TEMA-4.-V.A-MULTIDIMENSIONALES.pdf

6 páginas

He publicado nuevos apuntes de 2º Cálculo de Probabilidades: APUNTES-con-demostraciones-Y-EJERCICIOS-CALCULO-DE-PROBABILIDADES-PARTE-2.pdf

13 páginas

He publicado nuevos apuntes de 2º Cálculo de Probabilidades: APUNTES-con-demostraciones-Y-EJERCICIOS-CALCULO-DE-PROBABILIDADES-PARTE-1.pdf

24 páginas

He publicado nuevos apuntes de 2º Cálculo de Probabilidades: TEMA-2.-PROBABILIDAD.pdf

4 páginas

He publicado nuevos apuntes de 2º Cálculo de Probabilidades: TEMA-3.-V.A.-UNIDIMENSIONALES.pdf

4 páginas

He publicado nuevos apuntes de 2º Cálculo de Probabilidades: TEMA-1.-INTRODUCCION-PROBABILIDAD.pdf

2 páginas
¡Estás al día!

¡Estás al día!

Has visto todos los archivos