Cálculo de Varias Variables

chevron_left
chevron_right
Todo
Apuntes
Ejercicios
Exámenes
Otros
chevron_left
chevron_right

He publicado nuevos examenes de 2º Cálculo de Varias Variables: PEP-3-solucion.pdf

3 páginas

Examen 24nov 2025

2 páginas

Primer parcial 13 oct 2025

3 páginas

He publicado nuevos apuntes de 2º Cálculo de Varias Variables: Tema-2-Teoria.pdf

8 páginas

He publicado nuevos apuntes de 2º Cálculo de Varias Variables: Tema-1-Teoria.pdf

9 páginas

He publicado nuevos apuntes de 2º Cálculo de Varias Variables: Resumen-segunda-parte.pdf

4 páginas

He publicado nuevos apuntes de 2º Cálculo de Varias Variables: formulario-derivadas.pdf

7 páginas

He publicado nuevos apuntes de 2º Cálculo de Varias Variables: Formulario-hasta-extremos-con-hielo.pdf

9 páginas

apuntes

-

Tema 3. Ecuaciones diferenciales y ecuación del calor

He publicado nuevos apuntes de 2º Cálculo de Varias Variables: Tema 3. Ecuaciones diferenciales y ecuación del calor

Miniatura no disponible
Apuntes-Ec-diferenciales-y-ec-del-calor.pdf
Miniatura no disponible
Ejercicios-entregables-Tema-3.pdf
Miniatura no disponible
Ejercicios-Tema-3.pdf

apuntes

-

Tema 2. Integración Múltiple

He publicado nuevos apuntes de 2º Cálculo de Varias Variables: Tema 2. Integración Múltiple

Miniatura no disponible
Apuntes-Integracion-Multiple.pdf
Miniatura no disponible
Ejercicios-Entregables-Tema-2.pdf
Ejercicios-Tema-2.pdf

apuntes

-

Tema 1. Derivación Parcial

He publicado nuevos apuntes de 2º Cálculo de Varias Variables: Tema 1. Derivación Parcial

Miniatura no disponible
Apuntes-Derivacion-Parcial.pdf
Ejercicios-Tema-1.pdf
Miniatura no disponible
Ejercicios-entregables-Tema-1.pdf

apuntes

-

Exámenes

He publicado nuevos apuntes de 2º Cálculo de Varias Variables: Exámenes

Examenes.pdf

apuntes

-

CVV

hay ejercicios y apuntes

Parcial2022cvv.pdf
EJERESTUDIO.pdf
CVVT1.pdf
CVVEc.diferenciales.pdf
CVVFourier.pdf
CVVEc.calor.pdf

He publicado nuevos apuntes de 2º Cálculo de Varias Variables: Temas-1-2-y-3-todo-el-temario.pdf

141 páginas

He publicado nuevos apuntes de 2º Cálculo de Varias Variables: TEORIA-derivacion.pdf

6 páginas

He publicado nuevos apuntes de 2º Cálculo de Varias Variables: TEORIA-tema-1.pdf

11 páginas

apuntes

-

resumenes

He publicado nuevos apuntes de 2º Cálculo de Varias Variables: resumenes

formulario-tema-3.pdf
resumen-tema-2.pdf
resumen-tema-3-calculo.pdf
resumenes-tema-1.pdf

apuntes

-

apuntes

He publicado nuevos apuntes de 2º Cálculo de Varias Variables: apuntes

tema-2-calculo.pdf
tema-3-calculo.pdf

examenes

-

Exámenes

He publicado nuevos examenes de 2º Cálculo de Varias Variables: Exámenes

solucion-examen-ordinario-de-enero-22.pdf
solucion-PEC-1-2021.pdf
solucion-PEC-2-2021.pdf
1a-PEC-2019.pdf
PEC1-1a-parte-2020.pdf

Ejercicio Teorema de Green

1 página

He publicado nuevos apuntes de 3º Cálculo de Varias Variables: Puntos-de-calculo-vectorial.pdf

2 páginas

He publicado nuevos apuntes de 1º Cálculo de Varias Variables: Calcul-II-successions.pdf

2 páginas

He publicado nuevos apuntes de 1º Cálculo de Varias Variables: Calcul-de-diverses-variables.pdf

50 páginas

Juny2011, 2012 i 2013 amb Solució Oficial. Juny 2011, 2012, 2013 Resolts. Parcial, exàmens de teoria i problemes de 2015

33 páginas

He publicado nuevos apuntes de 1º Cálculo de Varias Variables: Calcul.pdf

2 páginas

He publicado nuevos apuntes de 3º Cálculo de Varias Variables: Derivadasspaciales-de-2o-orden.pdf

1 página

He publicado nuevos apuntes de 3º Cálculo de Varias Variables: Derivadas-parciales-de-1er-orden.pdf

2 páginas

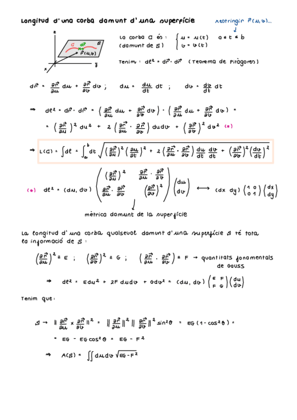
He publicado nuevos apuntes de 2º Cálculo de Varias Variables: T8-Geometria-diferencial-de-superficies.pdf

12 páginas

He publicado nuevos apuntes de 2º Cálculo de Varias Variables: T7-Integrals-multiples.pdf

15 páginas

He publicado nuevos apuntes de 2º Cálculo de Varias Variables: T6-Integrals-de-linia.pdf

11 páginas

He publicado nuevos apuntes de 2º Cálculo de Varias Variables: T5-Funcio-implicita.pdf

8 páginas

He publicado nuevos apuntes de 2º Cálculo de Varias Variables: T4-Maxims-i-minims.pdf

9 páginas

He publicado nuevos apuntes de 2º Cálculo de Varias Variables: T3-Derivacio-de-funcions.pdf

12 páginas

He publicado nuevos apuntes de 2º Cálculo de Varias Variables: T2-Continuitat-de-funcions.pdf

5 páginas

He publicado nuevos apuntes de 2º Cálculo de Varias Variables: T1.pdf

1 página

He publicado nuevos apuntes de 1º Cálculo de Varias Variables: Calculdiversesvariables.pdf

7 páginas

Resolució d'alguns exercicis de la col·lecció de primavera 2015. Els enunciats també estan penjats. Escanejat: per defecte.

71 páginas

Enunciats de la col·lecció de primavera 2015. La resolució dels exercicis també està penjada.

20 páginas

Resolució d'alguns exercicis de la col·lecció de primavera 2015. Els enunciats també estan penjats. Escanejat: amb augment de contrast.

71 páginas

He publicado nuevos apuntes de 1º Cálculo de Varias Variables: CÀLCUL DE DIVERSES VARIABLES (formulari).pdf

4 páginas

He publicado nuevos otros de 1º Cálculo de Varias Variables: CÀLCUL DE DIVERSES VARIABLES (formulari).pdf

4 páginas
Anónimo

@Anónimo

examenes

-

Examen cálculo vv

He publicado nuevos examenes de 2º Cálculo de Varias Variables: Examen cálculo vv

2013-01-15_cvv_exafc.pdf
01exa_cvvfc.pdf

He publicado nuevos examenes de 2º Cálculo de Varias Variables: Examen final enero 2011.pdf

10 páginas
¡Estás al día!

¡Estás al día!

Has visto todos los archivos