Cálculo diferencial e integra

chevron_left
chevron_right
Todo
Apuntes
Ejercicios
Exámenes
publication
chevron_left
chevron_right

apuntes

-

Cálculo Diferencial (1° semestre)

He publicado nuevos apuntes de 1º Cálculo diferencial e integra: Cálculo Diferencial (1° semestre)

Tema-2.-Sucesiones.pdf
Tema-4.-Derivabilidad-y-diferenciabilidad.pdf
Tema-3.-Funciones-reales.pdf

Control de cálculo del 2º cuatrimestre. Integrales impropias, Riemann, series y primitivas.

Imagen

Control CDI segundo semestre. Marzo 2026. RESUELTO

4 páginas

He publicado nuevos apuntes de 1º Cálculo diferencial e integra: ApuntesCalculo2aParte.pdf

32 páginas

Apuntes Tema 4 curso 2025-2026

22 páginas

He publicado nuevos apuntes de 1º Cálculo diferencial e integra: Calculo-T4.2-Calculo-Diferencial.pdf

18 páginas

He publicado nuevos apuntes de 1º Cálculo diferencial e integra: Calculo-T4.1-Calculo-Diferencial.pdf

16 páginas

He publicado nuevos apuntes de 1º Cálculo diferencial e integra: Calculo-T3-Funciones-Espacios-Euclideos.pdf

25 páginas

He publicado nuevos apuntes de 1º Cálculo diferencial e integra: Calculo-T2-Sucesiones-Numeros-Reales.pdf

21 páginas

He publicado nuevos apuntes de 1º Cálculo diferencial e integra: Calculo-T1-Recta-Plano-Espacio.pdf

29 páginas

He publicado nuevos examenes de 1º Cálculo diferencial e integra: Examen-calculo-primer-cuatri-2526.pdf

1 página

He publicado nuevos apuntes de 1º Cálculo diferencial e integra: cdi2cuatri.pdf

6 páginas

He publicado nuevos apuntes de 1º Cálculo diferencial e integra: cdi1cuatri.pdf

14 páginas

He publicado nuevos examenes de 1º Cálculo diferencial e integra: Segundo-parcial-CDI-2025-con-soluciones.pdf

5 páginas

apuntes

-

Matricula de honor asegurada en Calculo Integral

He publicado nuevos apuntes de 1º Cálculo diferencial e integra: Matricula de honor asegurada en Calculo Integral

Calculo-Integral-parte-1.pdf
Calculo-Integral-parte-2.pdf

He publicado nuevos apuntes de 1º Cálculo diferencial e integra: T4-Calculo-Diferencial.pdf

6 páginas

tema 4 work in progress. intentaré tenerlo antes del examen

6 páginas

He publicado nuevos apuntes de 1º Cálculo diferencial e integra: T2-Sucesiones.pdf

5 páginas

He publicado nuevos apuntes de 1º Cálculo diferencial e integra: T1-Recta-Plano-y-Espacio.pdf

9 páginas

Resumen de las cónicas y las cuádricas, con las fórmulas y un boceto orientativo.

3 páginas

Apuntes del Tema 2 de CDI - Sucesiones de números reales, con todos los contenidos y ejemplos.

9 páginas

apuntes

-

CDI-Tema4

Todos los apuntes del tema 4 (derivadas) con ejemplos

CDI-Tema4-30-44.pdf
CDI-Tema4-20-29.pdf
CDI-Tema4-10-19.pdf
CDI-Tema4-1-9.pdf

apuntes

-

CDI-Tema3

Todos los apuntes del tema 3 (funciones y continuidad) con ejemplos

CDI-Tema3-11-20.pdf
CDI-Tema3-1-10.pdf

He publicado nuevos ejercicios de 1º Cálculo diferencial e integra: Ejercicios-2o-cuatri.DOC-20240529-WA0006

Miniatura no disponible

He publicado nuevos ejercicios de 1º Cálculo diferencial e integra: Ejercicios-1er-cuatri.DOC-20240529-WA0006

Miniatura no disponible

He publicado nuevos apuntes de 1º Cálculo diferencial e integra: Resumenes-Series.pdf

4 páginas

He publicado nuevos apuntes de 1º Cálculo diferencial e integra: Resumenes-integrales-en-varias-variables-y-campo-vectorial.pdf

3 páginas

He publicado nuevos apuntes de 1º Cálculo diferencial e integra: Resumenes-integrales-en-una-variable.pdf

6 páginas

examenes

-

Exámenes Cálculo 2º Cuatri

He publicado nuevos examenes de 1º Cálculo diferencial e integra: Exámenes Cálculo 2º Cuatri

Parcial-I-Marzo-2022.pdf
Parcial-II-Mayo-2023.pdf
Parcial-II-Mayo-2021.pdf
Parcial-II-Mayo-2022.pdf
Parcial-II-Mayo-2020.pdf
Final-Junio-2021.pdf

He publicado nuevos apuntes de 1º Cálculo diferencial e integra: Tema-8.pdf

7 páginas

He publicado nuevos apuntes de 1º Cálculo diferencial e integra: Resumen-tema-8.pdf

4 páginas

He publicado nuevos ejercicios de 1º Cálculo diferencial e integra: Ejercicios-Superficies.pdf

12 páginas

He publicado nuevos ejercicios de 1º Cálculo diferencial e integra: Ejercicios-curvas.pdf

11 páginas

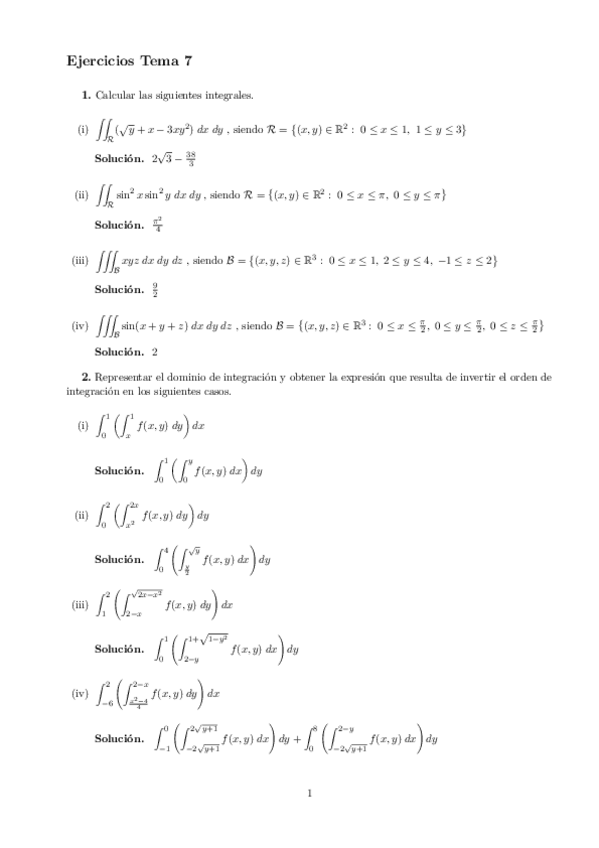
He publicado nuevos ejercicios de 1º Cálculo diferencial e integra: Tema-7.pdf

16 páginas

He publicado nuevos ejercicios de 1º Cálculo diferencial e integra: Ejer-7-sol-sin-desarrollar.pdf

6 páginas

He publicado nuevos ejercicios de 1º Cálculo diferencial e integra: Tema-6.pdf

23 páginas

He publicado nuevos ejercicios de 1º Cálculo diferencial e integra: Ejer-5-sol-sin-desarrollar.pdf

2 páginas

Teoría más ejercicios

33 páginas
Anónimo

@Anónimo

apuntes

-

CDI 2ª PARTE

He publicado nuevos apuntes de 1º Cálculo diferencial e integra: CDI 2ª PARTE

SERIES.pdf
CALCULO-INTEGRAL-EN-VARIAS-VARIABLES.pdf
CALCULO-INTEGRAL-EN-UNA-VARIABLE.pdf

He publicado nuevos apuntes de 1º Cálculo diferencial e integra: Calculo-diferencial.pdf

88 páginas

He publicado nuevos ejercicios de 1º Cálculo diferencial e integra: Ejercicios del capítulo 3.tex.pdf

3 páginas

He publicado nuevos apuntes de 1º Cálculo diferencial e integra: CDI 2016-2017.pdf

119 páginas

He publicado nuevos ejercicios de 1º Cálculo diferencial e integra: Ejercicios1712 (Soluciones).pdf

10 páginas

He publicado nuevos ejercicios de 1º Cálculo diferencial e integra: Ejercicios del capitulo 4.pdf

4 páginas

He publicado nuevos ejercicios de 1º Cálculo diferencial e integra: Ejercicios del capítulo 2.pdf

2 páginas

He publicado nuevos ejercicios de 1º Cálculo diferencial e integra: Ejercicios del capítulo 1.pdf

3 páginas
Anónimo

@Anónimo

He publicado nuevos examenes de 1º Cálculo diferencial e integra: WhatsApp Image 2016-10-06 at 20.02.07.jpeg

Imagen
¡Estás al día!

¡Estás al día!

Has visto todos los archivos