Cálculo Diferencial e Integral I

Todo
Apuntes
Ejercicios
Exámenes
chevron_left
chevron_right

apuntes

-

teoria

He publicado nuevos apuntes de 1º Cálculo Diferencial e Integral I: teoria

1.-gaia-teo.pdf
2.-gaia-teo.pdf
3.-gaia-teo.pdf
4.-gaia-teo.pdf
5.-gaia-teo.pdf
6.1.-gaia-teo.pdf

He publicado nuevos ejercicios de 1º Cálculo Diferencial e Integral I: Serieak.pdf

5 páginas

He publicado nuevos ejercicios de 1º Cálculo Diferencial e Integral I: Konbergentzia-puntuala-eta-uniformea.pdf

3 páginas

He publicado nuevos ejercicios de 1º Cálculo Diferencial e Integral I: Funtzio-serie--segidak.pdf

2 páginas

He publicado nuevos ejercicios de 1º Cálculo Diferencial e Integral I: Aldagai-anitzeko-funtzioak.pdf

4 páginas

He publicado nuevos ejercicios de 1º Cálculo Diferencial e Integral I: 4.-Limiteak-eta-jarraitasuna.pdf

5 páginas

He publicado nuevos apuntes de 1º Cálculo Diferencial e Integral I: Funtzioak.pdf

2 páginas

He publicado nuevos apuntes de 1º Cálculo Diferencial e Integral I: Integralak.pdf

22 páginas

Apuntes 2° cuatri

Miniatura no disponible
11 páginas

He publicado nuevos apuntes de 1º Cálculo Diferencial e Integral I: Kalkulo.pdf

3 páginas

He publicado nuevos apuntes de 1º Cálculo Diferencial e Integral I: seminario-integrales-impropias-y-aplicaciones-1.pdf

6 páginas

apuntes

-

Kalkuluko Azterketak Ebatzita

He publicado nuevos apuntes de 1º Cálculo Diferencial e Integral I: Kalkuluko Azterketak Ebatzita

1.-Lauhilekoko-Azterketak.pdf
2.-Lauhilekoko-Azterketak.pdf

ejercicios

-

8 aldagai anitzeko funtzioa ariketak

Euskara

8-aldagai-anitzeko-funtzioak-ariketak.pdf

apuntes

-

8 aldagai anitzeko funtzioa

Euskara

8-aldagai-anitzeko-funtzioak-apunteak.pdf

ejercicios

-

7. funtzio serie eta segidak ariketak

Euskara

7.1-funtzio-segidak-ariketak.pdf
7.2-funtzio-serieak-adibideak.pdf
7.2-funtzio-serieak-ariketak.pdf

apuntes

-

7. funtzio serie eta segidak

Euskara

7-funtzio-serie-eta-segidak-apunteak.pdf

examenes

-

2. kuatriko azterketako ariketak

Euskara

6.1-Riemman-azterketako-ariketak.pdf
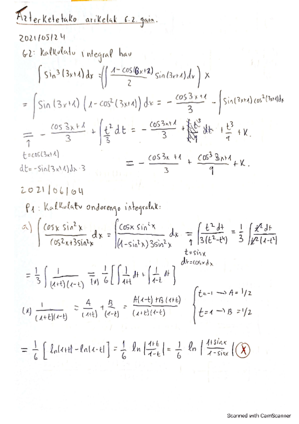
6.2-integrazioa-azterketako-ariketak.pdf
6.3-integralen-geometria-azterketako-ariketa.pdf
6.4-integral-inpropioak-ariketa-gehigarriak.pdf
6.4-integral-inpropioak-azterketako-ariketak.pdf
7.1-funtzio-segidak-ariketa-gehigarriak.pdf

ejercicios

-

6. integrazioa ariketak

Euskara

6.1-Riemman-ariketak.pdf
6.4-integral-inpropioak-ariketak.pdf

apuntes

-

6. Integrazioa apunteak

Euskara

6.1-Riemmanen-integrala-apunteak.pdf
6.2-integrazioa-apunteak.pdf
6.2-integrazioa-laburpena.pdf
6.3-integralen-geometria.pdf
6.4-integral-inpropioak-apunteak.pdf

apuntes

-

5. deribagarritasuna apunteak

Euskara

5.-deribagarritasuna-apunteak.pdf

apuntes

-

4. jarraitutasuna apunteak

Euskara

4.-jarraitutasuna-apunteak.pdf

ejercicios

-

3. serieen ariketak

Euskara

3.-serieen-ariketak.pdf

apuntes

-

3. serieen apunteak

Euskara

3.-serieen-apunteak.pdf
3.-serieen-laburpena.pdf

ejercicios

-

2. zenbaki segidak ariketak

Euskara

2.-zenbaki-segidak-ariketak.pdf

apuntes

-

2. zenbaki segidak apunteak

Euskara

2.-zenbaki-segida-laburpena.pdf
2.zenbaki-segidak-apunteak.pdf

apuntes

-

Kalkuluko Teoria Azterketarako

He publicado nuevos apuntes de 1º Cálculo Diferencial e Integral I: Kalkuluko Teoria Azterketarako

Kalkuluko-Apunteak-1.-Lauhilekoko-Teoria.pdf
Kalkuluko-Apunteak-2.-Lauhilekoko-Teoria.pdf

apuntes

-

2. Lauhilekoko Apunteak

He publicado nuevos apuntes de 1º Cálculo Diferencial e Integral I: 2. Lauhilekoko Apunteak

Kalkuluko-Apunteak-6.1-Gaia.pdf
Kalkuluko-Apunteak-6.2-Gaia.pdf
Kalkuluko-Apunteak-6.3-Gaia.pdf
Kalkuluko-Apunteak-6.4-Gaia.pdf
Kalkuluko-Apunteak-7.1-Gaia.pdf
Kalkuluko-Apunteak-7.2-Gaia.pdf

apuntes

-

1. Lauhilekoko Apunteak

He publicado nuevos apuntes de 1º Cálculo Diferencial e Integral I: 1. Lauhilekoko Apunteak

Kalkuluko-Apunteak-1.-Gaia.pdf
Kalkuluko-Apunteak-2.-Gaia.pdf
Kalkuluko-Apunteak-3.-Gaia.pdf
Kalkuluko-Apunteak-4.-Gaia.pdf
Kalkuluko-Apunteak-5.-Gaia.pdf

examenes

-

Kalkulu Diferentziala eta Integrala I azterketak ebatzita

He publicado nuevos examenes de 1º Cálculo Diferencial e Integral I: Kalkulu Diferentziala eta Integrala I azterketak ebatzita

2021-urtarrila.pdf
2021-maiatza.pdf
2021-ohikoa-1.-lauhilekoa.pdf
2021-ohikoa-2.-lauhilekoa.pdf
2022-urtarrila.pdf
2022-maiatza.pdf

apuntes

-

Kalkulu Diferentziala eta Integrala I teoria laburpenak

He publicado nuevos apuntes de 1º Cálculo Diferencial e Integral I: Kalkulu Diferentziala eta Integrala I teoria laburpenak

1.-Gaia-Zenbaki-errealak-eta-konplexuak.pdf
2.-Gaia-Segidak.pdf
3.-Gaia-Serieak.pdf
4.-Gaia-Funtzioak-limiteak-eta-jarraitasuna.pdf
5.-Gaia-Deribagarritasuna.pdf
6.1.-Gaia-Riemannen-integrala.pdf

ejercicios

-

Kalkulu Diferentziala eta Integrala I

He publicado nuevos ejercicios de 1º Cálculo Diferencial e Integral I: Kalkulu Diferentziala eta Integrala I

1LAzterketakEginda.pdf
apunteak_7.2FuntzioSerieak.pdf
apunteak_8AldagaiAnitzekoFuntzioak.pdf
ariketak_8AldagaiAnitzekoFuntzioak.pdf
2LAzterketakEginda.pdf
apunteak_1ZenbakiErrealakEtaKonplexuak.pdf

He publicado nuevos apuntes de 1º Cálculo Diferencial e Integral I: TEMA7.pdf

16 páginas

He publicado nuevos apuntes de 1º Cálculo Diferencial e Integral I: TEMA6.pdf

39 páginas

He publicado nuevos apuntes de 1º Cálculo Diferencial e Integral I: TEMA5.pdf

34 páginas

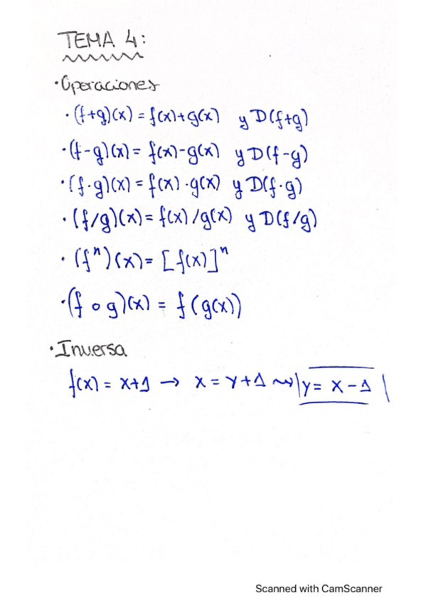
He publicado nuevos apuntes de 1º Cálculo Diferencial e Integral I: TEMA4.pdf

22 páginas

He publicado nuevos apuntes de 1º Cálculo Diferencial e Integral I: TEMA3.pdf

31 páginas

He publicado nuevos apuntes de 1º Cálculo Diferencial e Integral I: TEMA2.pdf

12 páginas

He publicado nuevos apuntes de 1º Cálculo Diferencial e Integral I: TEMA1.pdf

16 páginas

apuntes

-

Apuntes castellano 2021

He publicado nuevos apuntes de 1º Cálculo Diferencial e Integral I: Apuntes castellano 2021

T7-SucesionesYSeriesDeFunciones.pdf.pdf
T8-FuncionesElementales.pdf.pdf
T9-FuncionesDeDosVariables.pdf.pdf

apuntes

-

CÁLCULO DIFERENCIAL I

He publicado nuevos apuntes de 1º Cálculo Diferencial e Integral I: CÁLCULO DIFERENCIAL I

7.-INTEGRALES.pdf
5.-LIMITES-Y-CONTINUIDAD-2.pdf
5.-LIMITES-Y-CONTINUIDAD-1.pdf
4.-FUNCIONES-REALES-DE-UNA-VARIABLE-REAL.pdf
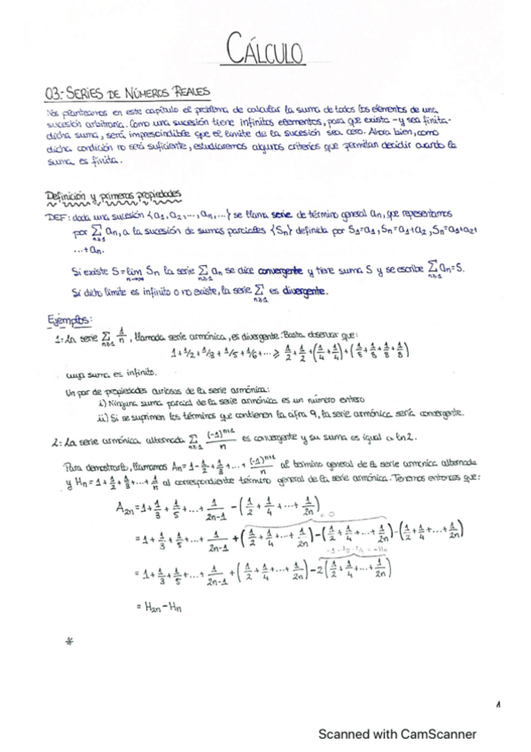
3.-SERIES-DE-NUMEROS-REALES.pdf
2.-SUCESIONES-DE-NUMEROS-REALES.pdf

examenes

-

Azterketa Guztiak 2020-2023

Hiru urteen urtarrila, maiatza, ohiko (Lehenengo lauhilabetea, Bigarren lauhilabetea eta Osoak) eta ezohiko azterketak

Urtarrila-2019-2020.pdf
Urtarrila-2020-2021.pdf
Urtarrila-2021-2022.pdf
Maiatza-2019-2020.pdf
Maiatza-2020-2021.pdf
Maiatza-2021-2022.pdf

examenes

-

2018-19 EXÁMENES

He publicado nuevos examenes de 1º Cálculo Diferencial e Integral I: 2018-19 EXÁMENES

2.-parcial.pdf
EXTRAORDINARIA.pdf
ORDINARIA.-1.-parcial.pdf
ORDINARIA.-2.-parcial.pdf
1.-parcial.pdf

apuntes

-

1. lauhilekoa (teorioa)

He publicado nuevos apuntes de 1º Cálculo Diferencial e Integral I: 1. lauhilekoa (teorioa)

2.-Gaia-zenbaki-errealen-segidak.pdf
3.gaia-zenbaki-serieak.pdf
1.-Gaia-zenbaki-erreal-eta-konplexuak.pdf
Lehenengo-3-Gaien-laburpena.pdf
4.-Gaia-funtzioak-limiteak-eta-jarraitutasuna.pdf

He publicado nuevos examenes de 1º Cálculo Diferencial e Integral I: ordinaria-calculo.pdf

2 páginas

He publicado nuevos examenes de 1º Cálculo Diferencial e Integral I: parcial-segundo-cuatri-calculo.pdf

1 página

apuntes

-

Kalkulko 2.kuatri

He publicado nuevos apuntes de 1º Cálculo Diferencial e Integral I: Kalkulko 2.kuatri

6.1-Riemannen-Integrala.pdf

He publicado nuevos apuntes de 1º Cálculo Diferencial e Integral I: Kalkulo-apunteak-6-4.gaia.pdf

5 páginas

He publicado nuevos apuntes de 1º Cálculo Diferencial e Integral I: Kalkulo-apunteak-6-3.gaia.pdf

3 páginas

He publicado nuevos apuntes de 1º Cálculo Diferencial e Integral I: Kalkulo-apunteak-6-1.gaia.pdf

11 páginas

He publicado nuevos apuntes de 1º Cálculo Diferencial e Integral I: Serieak-laburpena.pdf

3 páginas

He publicado nuevos apuntes de 1º Cálculo Diferencial e Integral I: Segidak-laburpena.pdf

3 páginas

He publicado nuevos apuntes de 1º Cálculo Diferencial e Integral I: Series.pdf

1 página

ejercicios

-

Algunos entregables resueltos (CDI 2º cuatri)

He publicado nuevos ejercicios de 1º Cálculo Diferencial e Integral I: Algunos entregables resueltos (CDI 2º cuatri)

Task-2.pdf
Task-1.pdf

He publicado nuevos apuntes de 1º Cálculo Diferencial e Integral I: Apuntes-tema-1.pdf

116 páginas

He publicado nuevos apuntes de 1º Cálculo Diferencial e Integral I: 7.1-Riemannintegrala.pdf

9 páginas

He publicado nuevos apuntes de 1º Cálculo Diferencial e Integral I: Apuntes-segundo-cuatrimestre.pdf

128 páginas
Anónimo

@Anónimo

He publicado nuevos apuntes de 1º Cálculo Diferencial e Integral I: Apuntes-primer-cuatrimestre.pdf

140 páginas

He publicado nuevos apuntes de 1º Cálculo Diferencial e Integral I: Kalkulo-apunteak-4.gaia.pdf

14 páginas

He publicado nuevos apuntes de 1º Cálculo Diferencial e Integral I: Kalkulo-apunteak-1.gaia.pdf

4 páginas

He publicado nuevos apuntes de 1º Cálculo Diferencial e Integral I: Kalkulo-apunteak-3.gaia.pdf

8 páginas