Todo
Apuntes
Trabajos
chevron_left
chevron_right

He publicado nuevos trabajos de 1º Cálculo Diferencial e Integral: Definicion-de-Calculo-Integral-y-Diferencial.pdf

2 páginas

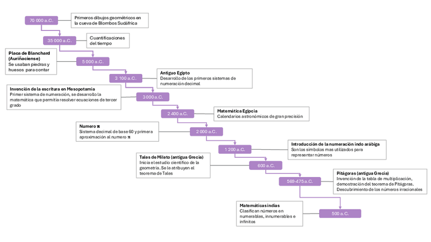
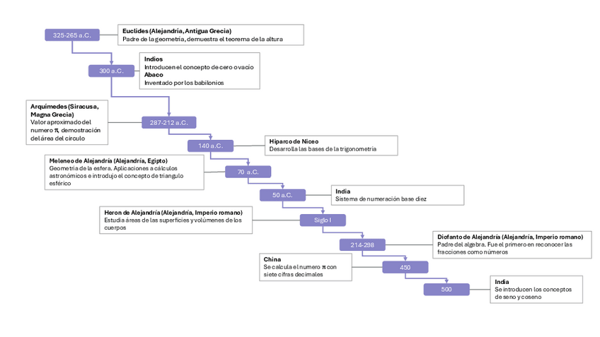
He publicado nuevos trabajos de 1º Cálculo Diferencial e Integral: EN-PASO-DEL-TIMEPO-POR-LAS-MATEMATICAS.pdf

6 páginas

He publicado nuevos apuntes de 1º Cálculo Diferencial e Integral: Integracion-por-sustitucion.pdf

30 páginas

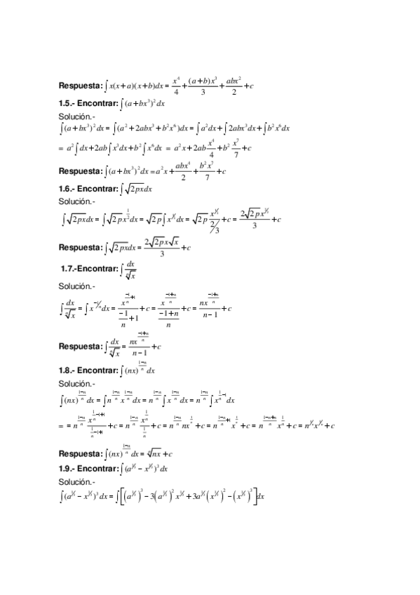
He publicado nuevos apuntes de 1º Cálculo Diferencial e Integral: Integrales-elementales.pdf

17 páginas

He publicado nuevos apuntes de 1º Cálculo Diferencial e Integral: Integrales-abreviaturas-y-datos-basicos..pdf

5 páginas

He publicado nuevos apuntes de 1º Cálculo Diferencial e Integral: CDI-Tarea-1.1-Parcial-1..pdf

3 páginas
¡Estás al día!

¡Estás al día!

Has visto todos los archivos