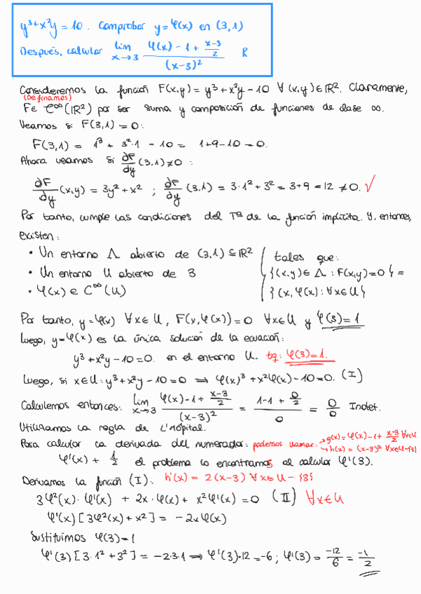
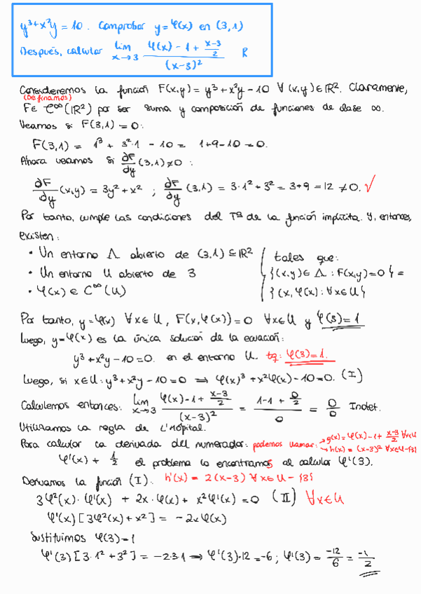
Cálculo Diferencial e Integral

chevron_left
chevron_right
Todo
Apuntes
Ejercicios
Exámenes
chevron_left
chevron_right

He publicado nuevos examenes de 2º Cálculo Diferencial e Integral: Examen-Extraordinario-Calculo-Abril-2026.pdf

1 página

ejercicios

-

Ejercicios

He publicado nuevos ejercicios de 2º Cálculo Diferencial e Integral: Ejercicios

Practica-T3.pdf
GT.pdf

examenes

-

Exámenes resueltos

He publicado nuevos examenes de 2º Cálculo Diferencial e Integral: Exámenes resueltos

Examen-19-Junio-2024.pdf
Examen-3-Abril-2025.pdf
Examen-9-Julio-2024.pdf
Examen-21-Noviembre-2024.pdf

He publicado nuevos examenes de 2º Cálculo Diferencial e Integral: Segundo-parcial-resuelto-mayo-2024/25.pdf

5 páginas

He publicado nuevos apuntes de 2º Cálculo Diferencial e Integral: Punto-Fijo-y-Regla-de-la-Cadena.pdf

2 páginas

He publicado nuevos apuntes de 2º Cálculo Diferencial e Integral: Tipos-de-conjuntos-continuidad-derivadas-direccionales-y-diferenciabilidad.pdf

4 páginas

He publicado nuevos apuntes de 2º Cálculo Diferencial e Integral: Inversa-local-y-global.pdf

2 páginas

He publicado nuevos apuntes de 2º Cálculo Diferencial e Integral: Extremos-relativos-y-absolutos.pdf

3 páginas

He publicado nuevos examenes de 2º Cálculo Diferencial e Integral: Parcial-2025.pdf

1 página

He publicado nuevos apuntes de 2º Cálculo Diferencial e Integral: ResultadosT4.pdf

2 páginas

apuntes

-

Ejercicios resueltos

He publicado nuevos apuntes de 2º Cálculo Diferencial e Integral: Ejercicios resueltos

Ejercicios-interior-cierre-y-frontera.pdf
Ejercicios-funciones-T2-1.pdf
Ejercicios-derivadas-de-orden-superior-y-Teorema-de-Taylor-extremos-relativos.pdf
Ejercicios-teorema-de-la-funcion-inversaimplicita-y-extremos-restringidos.pdf
Ejercicios-T3-derivabilidad.pdf
Ejercicios-integrales-dobles-y-triples.pdf

Todas las demostraciones

23 páginas
Anónimo

@Anónimo

He publicado nuevos apuntes de 2º Cálculo Diferencial e Integral: tema-5-integrales.pdf

26 páginas
Anónimo

@Anónimo

He publicado nuevos apuntes de 2º Cálculo Diferencial e Integral: Tema2-sin-ejercicios.pdf

50 páginas
Anónimo

@Anónimo

He publicado nuevos apuntes de 2º Cálculo Diferencial e Integral: Tema-4.pdf

45 páginas
Anónimo

@Anónimo

He publicado nuevos apuntes de 2º Cálculo Diferencial e Integral: tema-3-parte-2.pdf

13 páginas
Anónimo

@Anónimo

He publicado nuevos apuntes de 2º Cálculo Diferencial e Integral: ejerT2ycuatroseccionesT3.pdf

56 páginas
Anónimo

@Anónimo

He publicado nuevos apuntes de 2º Cálculo Diferencial e Integral: T1defi.pdf

57 páginas

examenes

-

Exámenes 2024 grado matemáticas

He publicado nuevos examenes de 2º Cálculo Diferencial e Integral: Exámenes 2024 grado matemáticas

Final-2024.pdf
Parcial-2024.pdf
Examen-extraordinaria-2024.pdf

He publicado nuevos examenes de 2º Cálculo Diferencial e Integral: Ordinaria-2024.pdf

6 páginas

apuntes

-

Demostraciones

He publicado nuevos apuntes de 2º Cálculo Diferencial e Integral: Demostraciones

Demostraciones-T.-1.pdf
Demostraciones-T.-2.pdf
Demostraciones-extraordinaria-2024.pdf

apuntes

-

Demostraciones

He publicado nuevos apuntes de 2º Cálculo Diferencial e Integral: Demostraciones

Demostraciones-primera-parte.pdf

ejercicios

-

Ejercicios temas 3 y 4 gt2

He publicado nuevos ejercicios de 2º Cálculo Diferencial e Integral: Ejercicios temas 3 y 4 gt2

Ejercicios-tema-3-gt2.pdf
Ejercicios-tema-4-gt2.pdf

He publicado nuevos ejercicios de 2º Cálculo Diferencial e Integral: EJERCICIOS-GT2-CALCULO.pdf

43 páginas

He publicado nuevos apuntes de 2º Cálculo Diferencial e Integral: Demostraciones-Primer-Parcial.pdf

5 páginas

He publicado nuevos apuntes de 2º Cálculo Diferencial e Integral: DEMOSTRACIONES-1-PARCIAL.pdf

14 páginas

Ejercicios Tema 2 GTs 1 y 2 (hasta 22/12/2023)

8 páginas

He publicado nuevos ejercicios de 2º Cálculo Diferencial e Integral: Ejercicios-Calculo-Tema1.pdf

24 páginas

He publicado nuevos ejercicios de 2º Cálculo Diferencial e Integral: EJERCICIOS-CALCULO-GT2.pdf

34 páginas

He publicado nuevos apuntes de 2º Cálculo Diferencial e Integral: Para-examenRepaso-limites-y-diferenciabilidad.pdf

9 páginas

apuntes

-

Resúmenes

He publicado nuevos apuntes de 2º Cálculo Diferencial e Integral: Resúmenes

Resumen-Tema-1.pdf
Resumen-tema-3.pdf
Resumen-tema-6.pdf
Resumen-tema-4.pdf
Resumen-tema-2.pdf
Resumen-tema-5.pdf

ejercicios

-

Ejercicios

He publicado nuevos ejercicios de 2º Cálculo Diferencial e Integral: Ejercicios

Ejercicios-GTs-temas-1-2-y-3.pdf
Ejercicios-tema-5.pdf
Ejercicios-tema-4.pdf
Ejercicios-tema-6.pdf
Ejercicios-tema-3.pdf
Ejercicios-tema-2.pdf

apuntes

-

Demostraciones

He publicado nuevos apuntes de 2º Cálculo Diferencial e Integral: Demostraciones

Demos-temas-5-y-6.pdf
Demos-tema-4.pdf
Demos-temas-2-y-3.pdf
Demos-tema-1.pdf
todas-las-demos.pdf

examenes

-

Examenes

He publicado nuevos examenes de 2º Cálculo Diferencial e Integral: Examenes

Examenes.pdf
Anónimo

@Anónimo

ejercicios

-

Ejercicios

He publicado nuevos ejercicios de 2º Cálculo Diferencial e Integral: Ejercicios

Cambio-de-variables220601064018.pdf
Continuidad-por-componentes220528173441.pdf
Continuidad-y-dif-con-parametros220531125337.pdf
Continuidad-derivadas-parciales-ydiferenciabilid220530234043.pdf
Continuidad220528191350.pdf
Curvas-de-nivel220528171310.pdf

He publicado nuevos ejercicios de 2º Cálculo Diferencial e Integral: PASOS-PARA-RESOLVER-DE-10-LOS-EJERCICIOS-DE-CALCULO-COMPLETO.pdf

26 páginas

He publicado nuevos apuntes de 2º Cálculo Diferencial e Integral: APUNTES-TEORIA-CALCULO.pdf

48 páginas

He publicado nuevos apuntes de 2º Cálculo Diferencial e Integral: DEMOSTRACIONES (HASTA ORDINARIA DE MAYO).pdf

18 páginas

He publicado nuevos apuntes de 2º Cálculo Diferencial e Integral: 2-cuatrimestre-calculo.pdf

18 páginas

He publicado nuevos apuntes de 2º Cálculo Diferencial e Integral: Integrales-multiples220518113527.pdf

13 páginas

He publicado nuevos ejercicios de 2º Cálculo Diferencial e Integral: Practica-Control-4.pdf

32 páginas

He publicado nuevos ejercicios de 2º Cálculo Diferencial e Integral: Practica-Examen-Final220602084918.pdf

20 páginas

He publicado nuevos apuntes de 2º Cálculo Diferencial e Integral: Apuntes-Integrales220703091901.pdf

4 páginas

He publicado nuevos ejercicios de 2º Cálculo Diferencial e Integral: Practica-Calculo-Control3220601210828.pdf

16 páginas

He publicado nuevos apuntes de 2º Cálculo Diferencial e Integral: Demostraciones220530115823.pdf

6 páginas

He publicado nuevos apuntes de 2º Cálculo Diferencial e Integral: teoria-calculo.pdf

27 páginas

He publicado nuevos apuntes de 2º Cálculo Diferencial e Integral: CONICAS-Y-CUADRICAS.pdf

2 páginas

He publicado nuevos apuntes de 2º Cálculo Diferencial e Integral: demos.pdf

11 páginas

apuntes

-

Tema 5

He publicado nuevos apuntes de 2º Cálculo Diferencial e Integral: Tema 5

Apuntes-Calculo-T5220721200616.pdf
Calculo-T5-academia220721200626.pdf
Practica-Calculo-Control3220721200603.pdf
Gt-Calculo-220721200456.pdf

He publicado nuevos apuntes de 2º Cálculo Diferencial e Integral: Tema-4-Resumen.pdf

4 páginas

He publicado nuevos apuntes de 2º Cálculo Diferencial e Integral: Listado-final-teoria-.pdf

14 páginas
Anónimo

@Anónimo

examenes

-

ExamenesResueltos

He publicado nuevos examenes de 2º Cálculo Diferencial e Integral: ExamenesResueltos

TodoslosExamenes201819.pdf
TodoslosExamenes201920.pdf
TodosExamenes2021.pdf
Anónimo

@Anónimo

apuntes

-

Resumenes to apañaicos

He publicado nuevos apuntes de 2º Cálculo Diferencial e Integral: Resumenes to apañaicos

ResumenConicasyCuadricasCDI.pdf
ApuntesCalculoIntegral.pdf
ResumenTema3FuncDiferenciales.pdf
ResumenT4ThTaylorExtLibres.pdf
TemarioExtraCalculoIntegral.pdf
SuperResumenCalculoIntegral.pdf
Anónimo

@Anónimo

apuntes

-

EjerciciosPrácticosParaExamen

He publicado nuevos apuntes de 2º Cálculo Diferencial e Integral: EjerciciosPrácticosParaExamen

EjT5ExtremosRestringidos.pdf
EjerReglaCadenaT4.pdf
EjerciciosCalculoIntegral.pdf

apuntes

-

Teoría primer parcial

He publicado nuevos apuntes de 2º Cálculo Diferencial e Integral: Teoría primer parcial

Producto-escalar-norma-distancia-y-topologia.pdf
Convergencia-sucesiones-y-Bolzano-Weiertrass.pdf
Caracterizaciones-secuenciales-Continuidad-funcion-vectorial-y-sus-componentes.pdf
Caracterizacion-global-continuidad-y-Weiertrass.pdf
Punto-fijo-y-limites.pdf

La 3ª Demostración, es prácticamente igual a la 1ª. Se divide E/raiz(M) y despues se hacen las raíces y sumatorias para que al final salga E. Es prácticamente igual a la 1.

7 páginas

He publicado nuevos apuntes de 2º Cálculo Diferencial e Integral: Parcial1CDI.pdf

15 páginas

He publicado nuevos apuntes de 2º Cálculo Diferencial e Integral: CamScanner-10-26-2021-16.pdf

21 páginas

apuntes

-

Calculo Diferencial e Integral

He publicado nuevos apuntes de 2º Cálculo Diferencial e Integral: Calculo Diferencial e Integral

TEMA-1-Conceptos-y-ejercicios.pdf

He publicado nuevos apuntes de 2º Cálculo Diferencial e Integral: Tema-2-Calculo-19-10.pdf

14 páginas