Cálculo Diferencial en Diversas Variables

chevron_left
chevron_right
Todo
Apuntes
chevron_left
chevron_right

He publicado nuevos apuntes de 2º Cálculo Diferencial en Diversas Variables: Tema-3.-Derivabilitat-en-funcions-de-diverses-variables.pdf

24 páginas

He publicado nuevos apuntes de 2º Cálculo Diferencial en Diversas Variables: Tema-4.Aplicacions-de-la-diferenciacio.pdf

32 páginas

He publicado nuevos apuntes de 2º Cálculo Diferencial en Diversas Variables: Tema-1.-Introduccio-als-espai-normats-i-euclidians.pdf

10 páginas

He publicado nuevos apuntes de 2º Cálculo Diferencial en Diversas Variables: Series de nombres reals.pdf

20 páginas

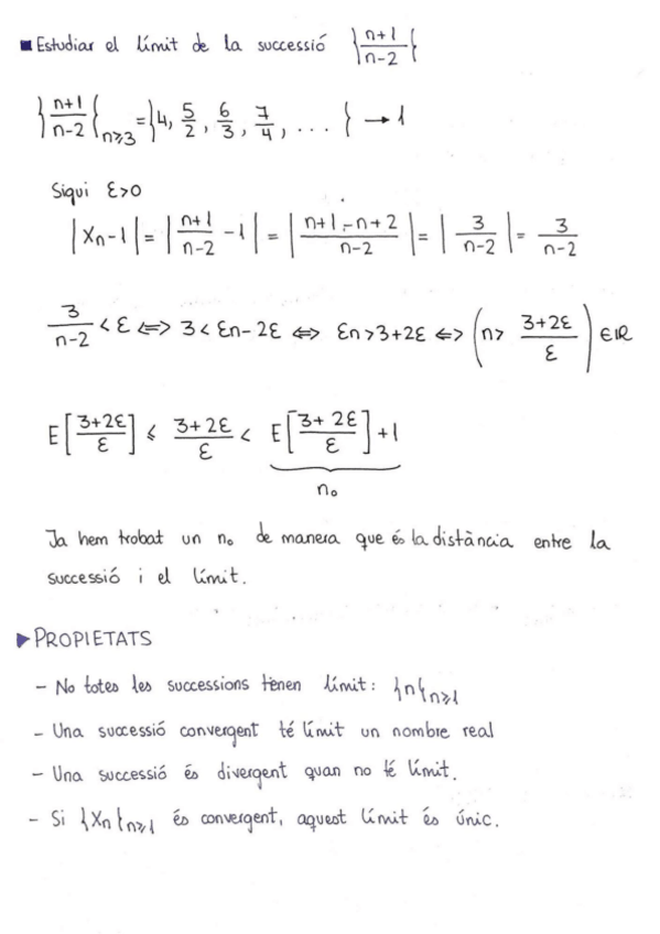
He publicado nuevos apuntes de 2º Cálculo Diferencial en Diversas Variables: Successions.pdf

48 páginas
Anónimo

@Anónimo

apuntes

-

Equacions Diferencials

Apunts d'equacions diferencials ordinàries, amb apunts presos a classe i teoria del professor

Apunts.pdf
Teoria Equacions Diferencials.pdf

apuntes

-

Métodos de Integración. Integral Definida. áreas y Volúmenes

Apuntes en catalán

Apunts.pdf
Teoria càlcul integral.pdf
¡Estás al día!

¡Estás al día!

Has visto todos los archivos