Todo
Apuntes
chevron_left
chevron_right

He publicado nuevos apuntes de 2º Cálculo Diferencial: 34.-Aplicacion-de-la-primera-segunda-y-tercera-derivada.pdf

20 páginas

He publicado nuevos apuntes de 2º Cálculo Diferencial: 33.-Optimizacion-problemas-de-aplicacion.pdf

15 páginas

He publicado nuevos apuntes de 2º Cálculo Diferencial: 32.-Repaso-derivadas.pdf

9 páginas

He publicado nuevos apuntes de 2º Cálculo Diferencial: 31.-Maximos-y-minimos.pdf

11 páginas

He publicado nuevos apuntes de 2º Cálculo Diferencial: 30.-LHopital.pdf

12 páginas

He publicado nuevos apuntes de 2º Cálculo Diferencial: 29.-Derivada-implicita-2.pdf

10 páginas

He publicado nuevos apuntes de 2º Cálculo Diferencial: 28.-Derivada-implicita.pdf

21 páginas

He publicado nuevos apuntes de 2º Cálculo Diferencial: 27.-Certamen-2-Derivadas.pdf

3 páginas

He publicado nuevos apuntes de 2º Cálculo Diferencial: 26.-Aplicacion-de-la-derivada.pdf

21 páginas

He publicado nuevos apuntes de 2º Cálculo Diferencial: 25.-Recta-tangente-y-recta-normal.pdf

19 páginas

He publicado nuevos apuntes de 2º Cálculo Diferencial: 24.-Regla-de-la-cadena-derivadas-de-orden-superior.pdf

12 páginas

He publicado nuevos apuntes de 2º Cálculo Diferencial: 23.-Algebra-de-derivadas-formulario.pdf

24 páginas

He publicado nuevos apuntes de 2º Cálculo Diferencial: 22.-Derivadas-trigonometricas-e-inversas.pdf

9 páginas

He publicado nuevos apuntes de 2º Cálculo Diferencial: 21.-Control-2.pdf

3 páginas

He publicado nuevos apuntes de 2º Cálculo Diferencial: 20.-Limites-por-definicion-y-Derivada-en-un-punto.pdf

26 páginas

He publicado nuevos apuntes de 2º Cálculo Diferencial: 19.-Continuidad-y-limite-por-definicion.pdf

20 páginas

He publicado nuevos apuntes de 2º Cálculo Diferencial: 18.-Continuidad.pdf

24 páginas

He publicado nuevos apuntes de 2º Cálculo Diferencial: 17.-Certamen-1-Limites.pdf

4 páginas

He publicado nuevos apuntes de 2º Cálculo Diferencial: 16.-Teoremas-de-limites.pdf

12 páginas

He publicado nuevos apuntes de 2º Cálculo Diferencial: 15.-Limites-al-infinito-y-asintotas.pdf

19 páginas

He publicado nuevos apuntes de 2º Cálculo Diferencial: 14.-Limites-al-infinito.pdf

10 páginas

He publicado nuevos apuntes de 2º Cálculo Diferencial: 13.-Control-1--solucion.pdf

3 páginas

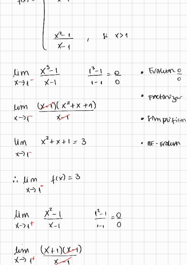
He publicado nuevos apuntes de 2º Cálculo Diferencial: 12.-Limites-laterales.pdf

20 páginas

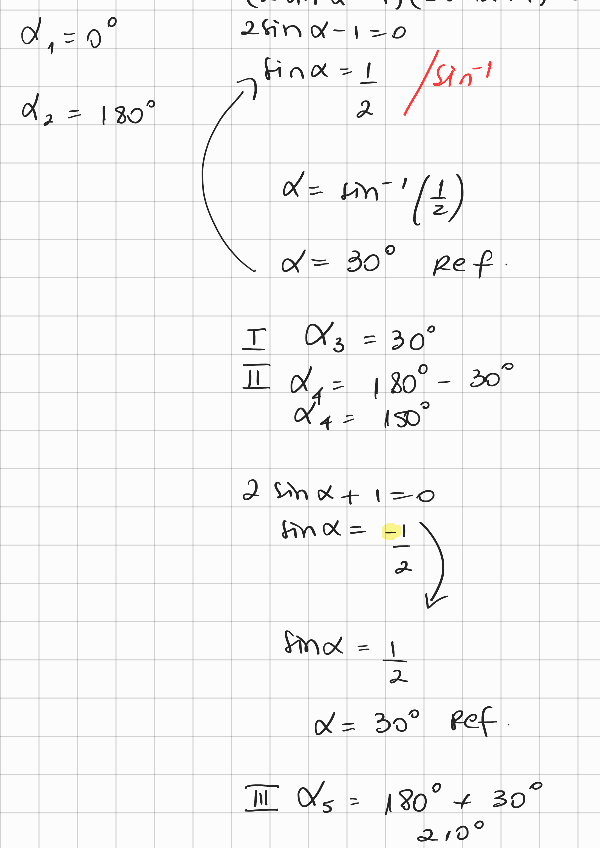
He publicado nuevos apuntes de 2º Cálculo Diferencial: 11.-Limites-trigonometricos-2.pdf

7 páginas

He publicado nuevos apuntes de 2º Cálculo Diferencial: 10.-Limites-trigonometricos.pdf

19 páginas

He publicado nuevos apuntes de 2º Cálculo Diferencial: 9.-TALLER-DE-LIMITES.pdf

1 página

He publicado nuevos apuntes de 2º Cálculo Diferencial: 8.-Limites-polinomiales-y-racionales.pdf

17 páginas

He publicado nuevos apuntes de 2º Cálculo Diferencial: 7.-Sinusoide-y-limites-de-una-funcion.pdf

21 páginas

He publicado nuevos apuntes de 2º Cálculo Diferencial: 6.-Repaso-trigonometria.pdf

8 páginas

He publicado nuevos apuntes de 2º Cálculo Diferencial: 5.-Ecuaciones-e-identidades-trigonometricas.pdf

22 páginas

He publicado nuevos apuntes de 2º Cálculo Diferencial: 4.-Funcion-biyectiva-e-inversa.pdf

17 páginas

He publicado nuevos apuntes de 2º Cálculo Diferencial: 3.-Algebra-de-funciones.pdf

20 páginas

He publicado nuevos apuntes de 2º Cálculo Diferencial: 2.-Dominio-recorrido-grafica-de-funciones.pdf

20 páginas

He publicado nuevos apuntes de 2º Cálculo Diferencial: 1.-Tipos-de-funciones.pdf

27 páginas
¡Estás al día!

¡Estás al día!

Has visto todos los archivos