Todo
Apuntes
Preguntas
Ejercicios
Exámenes
Otros
PEC
Prácticas
publication
Test
Trabajos
chevron_left
chevron_right

examenes

-

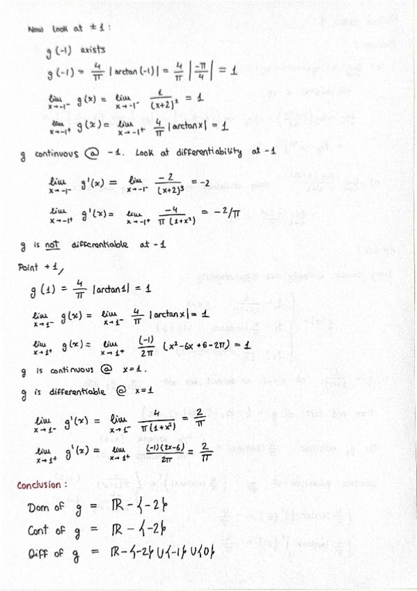
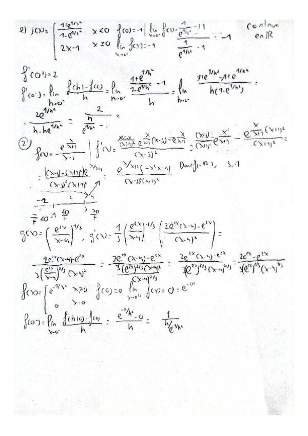
Soluciones examen de enero curso 24 - 25 (Grupo Tarde)

Contiene las soluciones del examen de enero del año pasado que se realizo el día 13 de enero de 2025.

Pagina-1.png
Pagina-2.png
Pagina-3.png
Pagina-4.png
Pagina-5.png
Pagina-6.png

examenes

-

Soluciones examen de enero curso 18 - 19 (Grupo Tarde)

Contiene los ejercicios resueltos del examen de enero.

Pagina-1.png
Pagina-2.png
Pagina-3.png
Pagina-4.png
Pagina-5.png
Pagina-6.png

He publicado nuevos examenes de 1º Cálculo I: Control-2-Calculo-I-11-25.pdf

1 página
Anónimo

@Anónimo

Primer Examen Parcial 25-26 Tema Repaso

4 páginas
Anónimo

@Anónimo

He publicado nuevos examenes de 1º Cálculo I: Calculo-I-enero-2025.pdf

4 páginas
Anónimo

@Anónimo

He publicado nuevos examenes de 1º Cálculo I: Calculo-I-julio-2024.pdf

5 páginas
Anónimo

@Anónimo

He publicado nuevos examenes de 1º Cálculo I: Calculo-I-enero-2024.pdf

7 páginas
Anónimo

@Anónimo

He publicado nuevos examenes de 1º Cálculo I: Calculo-I-julio-2023.pdf

6 páginas
Anónimo

@Anónimo

He publicado nuevos examenes de 1º Cálculo I: Calculo-I-enero-2023.pdf

5 páginas

Formulario para el segundo examen de Noemi de 25/26 de Calculo 1

2 páginas

He publicado nuevos ejercicios de 1º Cálculo I: Ejercicios-Sucesiones-y-Series.pdf

1 página

He publicado nuevos ejercicios de 1º Cálculo I: Ejercicios-Series-de-Potencias.pdf

2 páginas

He publicado nuevos examenes de 1º Cálculo I: 2025-11-11-Parcial-soluciones.pdf

4 páginas

He publicado nuevos apuntes de 1º Cálculo I: 2aparte-Ejercicios-de-examen-y-apuntes-N-Complejos.pdf

9 páginas

He publicado nuevos apuntes de 1º Cálculo I: 1a-parte-Apuntes-y-ejercicios-resueltos-N-Complejos.pdf

9 páginas

He publicado nuevos apuntes de 1º Cálculo I: Aplicaciones-de-las-integrales-Ejercicios-resueltos.pdf

5 páginas

He publicado nuevos apuntes de 1º Cálculo I: Ejercicios-de-examenes-resueltos-Tecnicas-de-integracion.pdf

9 páginas

He publicado nuevos apuntes de 1º Cálculo I: Ejercicios-resueltos-Integrales-impropias.pdf

2 páginas

He publicado nuevos apuntes de 1º Cálculo I: CONTENIDO-FINAL-Calculo-Metodo-de-los-trapecios.pdf

2 páginas

He publicado nuevos examenes de 1º Cálculo I: CONTENIDO-FINAL-Metodo-Newton.pdf

2 páginas

apuntes

-

Cálculo I

He publicado nuevos apuntes de 1º Cálculo I: Cálculo I

APUNTES-T2-Calculo-Diferencial.pdf
APUNTES-T1-Numeros-Complejos.pdf
APUNTES-T3-Calculo-Diferencial-de-Varias-Variables.pdf
APUNTES-T4-Calculo-Diferencial-II.pdf
APUNTES_T5_Calculo_Integral.pdf.pdf
APUNTES_T6_Integrales_Dobles.pdf.pdf
Anónimo

@Anónimo

He publicado nuevos examenes de 1º Cálculo I: 1o-Parcial.-Calculo-I.-curso-25-26.pdf

1 página

He publicado nuevos examenes de 1º Cálculo I: Soluciones-Parcial-2.pdf

5 páginas

He publicado nuevos examenes de 1º Cálculo I: Soluciones-Parcial-1.pdf

5 páginas

He publicado nuevos examenes de 1º Cálculo I: Soluciones-FINALjulio.pdf

9 páginas

He publicado nuevos examenes de 1º Cálculo I: Soluciones-2o-parcial-GRUPO-2.pdf

5 páginas

He publicado nuevos examenes de 1º Cálculo I: Soluciones-2o-parcial-GRUPO-1.pdf

5 páginas

He publicado nuevos examenes de 1º Cálculo I: Soluciones-1er-parcial-GRUPO-2.pdf

5 páginas

He publicado nuevos examenes de 1º Cálculo I: Soluciones-1er-parcial-GRUPO-1.pdf

5 páginas

He publicado nuevos apuntes de 1º Cálculo I: Segundo-parcial-calculo-1.pdf

18 páginas

Resumen de los apuntes del Tema 7: Polinomio y Serie de Taylor, de Cálculo I, con ejemplos y fórmulas importantes destacadas

6 páginas
Anónimo

@Anónimo

Es lo más parecido que vais a encontrar a un examen de Matlab a papel.

4 páginas
Anónimo

@Anónimo

Es lo más parecido que vais a encontrar a un examen de Matlab a papel.

4 páginas
Anónimo

@Anónimo

Es lo más parecido que vais a encontrar a un examen de Matlab a papel.

4 páginas
Anónimo

@Anónimo

Es lo más parecido que vais a encontrar a un examen de Matlab a papel.

5 páginas
Anónimo

@Anónimo

Es lo más parecido que vais a encontrar a un examen de Matlab a papel.

5 páginas
Anónimo

@Anónimo

Es lo más parecido que vais a encontrar a un examen de Matlab a papel.

5 páginas

He publicado nuevos examenes de 1º Cálculo I: PEI-2-16-12-24.pdf

8 páginas

He publicado nuevos examenes de 1º Cálculo I: Final-Calculo-24-25.pdf

7 páginas

He publicado nuevos examenes de 1º Cálculo I: extra-calculo-24-25.pdf

7 páginas
Anónimo

@Anónimo

Es lo más parecido que vais a encontrar a un examen de Matlab a papel.

4 páginas
Anónimo

@Anónimo

Es lo más parecido que vais a encontrar a un examen de Matlab a papel.

4 páginas
Anónimo

@Anónimo

Es lo más parecido que vais a encontrar a un examen de Matlab a papel.

4 páginas

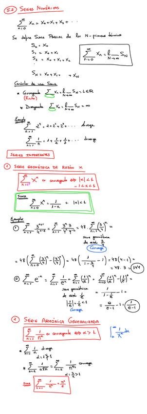
Dejo por aquí ejercicios del tema 3 de cálculo (series) resueltos.

8 páginas

Dejo por aquí un resumen completo del tema 3 de cálculo: SERIES.

3 páginas

He publicado nuevos examenes de 1º Cálculo I: Final-de-calculo.pdf

4 páginas

He publicado nuevos apuntes de 1º Cálculo I: APUNTES-TODO-CALCULO-1.pdf

14 páginas

Dejo por aquí un esquema del tema 3 de cálculo: Series.

1 página

apuntes intensivo academia

23 páginas

examenes

-

Exámenes 2023-2024 Con Solución

He publicado nuevos examenes de 1º Cálculo I: Exámenes 2023-2024 Con Solución

1o-parcial-2023-24.pdf
2o-parcial-2023-24.pdf
UC3MEXAMS.pdf

examenes

-

RECOPILACIÓN DE EXAMENES CON SOLUCIÓN

He publicado nuevos examenes de 1º Cálculo I: RECOPILACIÓN DE EXAMENES CON SOLUCIÓN

Final-2018-Biomedica.pdf
UC3MEXAMS.pdf

examenes

-

Exámenes 2024-2025 Con Solución

He publicado nuevos examenes de 1º Cálculo I: Exámenes 2024-2025 Con Solución

Final-exam-january-2025-solutions.pdf
UC3MEXAMS.pdf

examenes

-

Exámenes 2023-2024 Con Solución

He publicado nuevos examenes de 1º Cálculo I: Exámenes 2023-2024 Con Solución

1o-Parcial-CON-SOLUCION-2324.pdf
2o-Parcial-CON-SOLUCION-2324.pdf
FINAL-CALCULO-I-2324.pdf
UC3MEXAMS.pdf
Anónimo

@Anónimo

examenes

-

EXAMENES 2024-2025 DE Cálculo Con Solución

He publicado nuevos examenes de 1º Cálculo I: EXAMENES 2024-2025 DE Cálculo Con Solución

Extraordinario-2024-25.pdf
Ordinario-2024-25.pdf
PEI-1-2024-25.pdf
PEI-2-2024-25.pdf
Extraordinario-2023-24.pdf
Ordinario-2023-24.pdf

examenes

-

Exámenes 2022-2023 Con Solución

He publicado nuevos examenes de 1º Cálculo I: Exámenes 2022-2023 Con Solución

Enero-2022-23.pdf
Parcial-1-22-23-gulag-free.pdf
Parcial-2-1-22-23.pdf

Resumen de los apuntes del Tema 6 - Aplicaciones de la Integral, de Cálculo I, con las fórmulas importantes destacadas y ejemplos resueltos

2 páginas

Apuntes/Formulario sobre Trigonometría, todo lo necesario sobre este campo para realizar los exámenes de Calculo I

3 páginas

examenes

-

RECOPILACIÓN DE EXAMENES CON SOLUCIÓN

He publicado nuevos examenes de 1º Cálculo I: RECOPILACIÓN DE EXAMENES CON SOLUCIÓN

Examenes-del-curso-2019-2020.pdf
20202021PEC3soluciones.pdf
Examenes20172020sol.pdf
Aerogo.pdf

He publicado nuevos apuntes de 1º Cálculo I: 2122025.pdf

2 páginas

Dejo por aquí el tema 4 de cálculo I: Series.

5 páginas