chevron_left
chevron_right
Todo
Apuntes
Ejercicios
Exámenes
chevron_left
chevron_right

Parcial 1 resuelto curso 24/25. Inducción, series, continuidad de funciones, límites, convergencia...

3 páginas

He publicado nuevos ejercicios de 1º Cálculo I: EJS-TEMA-3.pdf

2 páginas

He publicado nuevos apuntes de 1º Cálculo I: Series.pdf

1 página

He publicado nuevos ejercicios de 1º Cálculo I: EJS-TEMA-1.pdf

8 páginas

He publicado nuevos ejercicios de 1º Cálculo I: ejs-tema-2.pdf

3 páginas

He publicado nuevos ejercicios de 1º Cálculo I: EJS-TEMA-2.pdf

7 páginas

He publicado nuevos apuntes de 1º Cálculo I: ESQUEMA-TEMA-1-6.pdf

13 páginas

Examen final de junio resuelto

7 páginas

Resuelto entero menos un apartado que me dio pereza

7 páginas
Anónimo

@Anónimo

He publicado nuevos examenes de 1º Cálculo I: Examen-Junio-2020.pdf

3 páginas
Anónimo

@Anónimo

Es material de elaboración propia, aunque lo he revisado varias veces se me puede haber escapado algún detalle, si dudas de algo, contrástalo. .

5 páginas

Resuelvo ejercicios del examen de cálculo 1 primer parcial año 2022

2 páginas

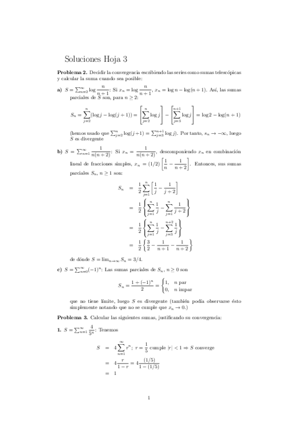
Resuelvo ejercicios de la hoja 3 de series

6 páginas

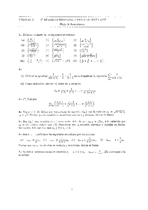
Resuelvo todos los ejercicios de la hoja 2 de sucesiones del tema 2

6 páginas
Anónimo

@Anónimo

He publicado nuevos examenes de 1º Cálculo I: Soluciones-Final-Enero-2020.pdf

7 páginas

apuntes

-

T1 Cálculo I

He publicado nuevos apuntes de 1º Cálculo I: T1 Cálculo I

H1C1.pdf
H1solC1.pdf
T1C1.pdf
Anónimo

@Anónimo

examenes

-

Exámenes resueltos

He publicado nuevos examenes de 1º Cálculo I: Exámenes resueltos

Parcial-1-2012.pdf
Parcial-2-2012.pdf
Examenes-varios-resueltos-Calculo-I.pdf
Anónimo

@Anónimo

examenes

-

Enunciados de examen

He publicado nuevos examenes de 1º Cálculo I: Enunciados de examen

Parcial-1-2011.pdf
Parcial-2-2010.pdf
Parcial-4-2010.pdf
Parcial-1-2010.pdf
Parcial-3-2010.pdf
Parcial-1-2009.pdf
Anónimo

@Anónimo

ejercicios

-

Ejercicios

He publicado nuevos ejercicios de 1º Cálculo I: Ejercicios

Ejercicios-hojas-2012-2013.pdf

He publicado nuevos ejercicios de 1º Cálculo I: Guia-igualacion-sistema-de-ecuaciones.pdf

1 página

He publicado nuevos ejercicios de 1º Cálculo I: Guia-sistema-de-ecuaciones.pdf

3 páginas

He publicado nuevos apuntes de 1º Cálculo I: Sistema-de-ecuaciones.pdf

3 páginas

apuntes

-

Cálculo I - Temario y ejercicios

Cálculo I - Temario y ejercicios

Calculo-I-Primer-Parcial.pdf
Calculo-I-Segundo-Parcial.pdf
Anónimo

@Anónimo

He publicado nuevos examenes de 1º Cálculo I: Calculo-I.pdf

1 página
Anónimo

@Anónimo

He publicado nuevos examenes de 1º Cálculo I: Solparcial2020.pdf

5 páginas

He publicado nuevos examenes de 1º Cálculo I: SolFinal-Enero-2021.pdf

17 páginas
Anónimo

@Anónimo

ejercicios

-

SOLUCIONES HOJAS 1-7

He publicado nuevos ejercicios de 1º Cálculo I: SOLUCIONES HOJAS 1-7

Soluciones-H3.pdf
Soluciones-H2.pdf
SolucionesH7.pdf
Soluciones-H4.pdf
Soluciones-H5.pdf
Soluciones-H1.pdf

He publicado nuevos examenes de 1º Cálculo I: SolFinal-Enero-2022.pdf

8 páginas

He publicado nuevos examenes de 1º Cálculo I: SolParc2.pdf

6 páginas

ejercicios

-

Ejercicios Resueltos

He publicado nuevos ejercicios de 1º Cálculo I: Ejercicios Resueltos

EjerciciosHoja4.pdf
EjerciciosHoja2.pdf
EjerciciosHoja8.pdf
EjerciciosHoja3.pdf
EjerciciosHoja1.pdf
EjerciciosHoja7.pdf

He publicado nuevos ejercicios de 1º Cálculo I: ejscalculo.pdf

65 páginas
Anónimo

@Anónimo

He publicado nuevos examenes de 1º Cálculo I: 2020.pdf

3 páginas

He publicado nuevos examenes de 1º Cálculo I: 2020.pdf

3 páginas
Anónimo

@Anónimo

apuntes

-

Apuntes

He publicado nuevos apuntes de 1º Cálculo I: Apuntes

Series.pdf
Anónimo

@Anónimo

apuntes

-

Teoría Calculo COMPLETA

He publicado nuevos apuntes de 1º Cálculo I: Teoría Calculo COMPLETA

Ap-Integral-6.pdf
Ap-Integral-19.pdf
Ap-Integral-20.pdf
Ap-Numeros-5.pdf
Ap-Integral-10.pdf
Ap-Integral-18.pdf
Anónimo

@Anónimo

He publicado nuevos apuntes de 1º Cálculo I: calcI-2018-mSOLUCIONES.pdf

4 páginas

apuntes

-

APUNTES CALCULO DEFINITIVOS

He publicado nuevos apuntes de 1º Cálculo I: APUNTES CALCULO DEFINITIVOS

Week01.pdf
Calculo-1-WEEK-02.pdf
Week-03.pdf

He publicado nuevos apuntes de 1º Cálculo I: Calculo-1-parte-5-Integrales.pdf

3 páginas

He publicado nuevos apuntes de 1º Cálculo I: Calculo-1-parte-4.pdf

13 páginas

He publicado nuevos apuntes de 1º Cálculo I: Calculo-1-Parte-3.pdf

7 páginas

He publicado nuevos apuntes de 1º Cálculo I: APUNTES-INDUCCION-con-marca-de-agua-con-marca-de-agua.pdf

1 página

He publicado nuevos apuntes de 1º Cálculo I: RESUMEN-DE-CALCULO-con-marca-de-agua-con-marca-de-agua.pdf

13 páginas

ejercicios

-

EJERCICIOS DE LIMITES + SOLUCIONES

He publicado nuevos ejercicios de 1º Cálculo I: EJERCICIOS DE LIMITES + SOLUCIONES

EJERCICIOS-DE-LIMITES-con-marca-de-agua-con-marca-de-agua.pdf
EJERCICIOS-DE-LIMITES-SOLUCIONES-con-marca-de-agua-con-marca-de-agua.pdf

He publicado nuevos apuntes de 1º Cálculo I: Calculo-1-Parte-2.pdf

10 páginas

He publicado nuevos apuntes de 1º Cálculo I: Calculo-1-Parte-1.pdf

11 páginas

He publicado nuevos apuntes de 1º Cálculo I: Apuntes_Calculo.pdf

28 páginas

He publicado nuevos apuntes de 1º Cálculo I: CAL 2 - Límites y Sucesiones.pdf

19 páginas

He publicado nuevos apuntes de 1º Cálculo I: CAL 4 - Series.pdf

6 páginas

He publicado nuevos apuntes de 1º Cálculo I: MACRO RESUMEN CALCULITO.pdf

62 páginas

He publicado nuevos apuntes de 1º Cálculo I: CAL 1 - Conjuntos Numéricos- Numeros Complejos y Definiciones.pdf

20 páginas

He publicado nuevos apuntes de 1º Cálculo I: CAL 3 - Funciones- Derivadas, Teoremas....pdf

17 páginas

examenes

-

Examenes resueltos

He publicado nuevos examenes de 1º Cálculo I: Examenes resueltos

Examen 01.pdf
Examen 02.pdf
Examen 03.pdf
Soluciones Final.pdf
Soluciones Parcial 02.pdf

He publicado nuevos apuntes de 1º Cálculo I: Mis apuntes.pdf

43 páginas

examenes

-

Examenes resueltos 2014 a 2016

He publicado nuevos examenes de 1º Cálculo I: Examenes resueltos 2014 a 2016

calc_I-ing-inform-2014-15-ex_final-enero_SOLUCIONES.pdf
calc_I-ing-inform-2014-15-ex_final-junio-CONVOCATORIA-EXTRAORDINARIA.pdf
calc_I-ing-inform-2015-16-ex_final-enero-soln.pdf
calc_I-ing-inform-2015-16-parc1-m-soln.pdf
calc_I-ing-inform-2015-16-parc2-m-soln.pdf

He publicado nuevos examenes de 1º Cálculo I: Examen_AM_Enero_2011.pdf

2 páginas

He publicado nuevos examenes de 1º Cálculo I: Examenes_Calculo_2012-2013.pdf

6 páginas

apuntes

-

Ejercicios

He publicado nuevos apuntes de 1º Cálculo I: Ejercicios

hoja 1.pdf
hoja 2.pdf
hoja 3.pdf
hoja de problemas de repaso.pdf
calc_I-ing-inform-2015-16-h4-1.pdf
calc_I-ing-inform-2015-16-h5-1.pdf

He publicado nuevos examenes de 1º Cálculo I: calc_I_inf-2015-16_probl-res-2.pdf

15 páginas
Anónimo

@Anónimo

Soluciones del primer parcial de Calculo I del año 2013/2014

6 páginas
Anónimo

@Anónimo

Resúmen de toda la asignatura de Cálculo I realiza por Fernando Chamizo. Realizada de forma que se comprende y entiende todo de manera más sencilla.

22 páginas