chevron_left
chevron_right
Todo
Apuntes
Ejercicios
chevron_left
chevron_right

Grado en ingeniería Biomédica

30 páginas

Grado en ingeniería Biomédica

16 páginas

Grado en ingeniería Biomédica

23 páginas

He publicado nuevos ejercicios de 1º Cálculo I: Problemas-de-derivacion.pdf

6 páginas

He publicado nuevos ejercicios de 1º Cálculo I: Plano-Tangente.pdf

6 páginas

He publicado nuevos ejercicios de 1º Cálculo I: ejercicios-calculoI.pdf

4 páginas

He publicado nuevos ejercicios de 1º Cálculo I: ejercicios-examen.pdf

11 páginas

He publicado nuevos ejercicios de 1º Cálculo I: limites-funciones-de-dos-variables.pdf

2 páginas

He publicado nuevos apuntes de 1º Cálculo I: sucesiones-limites.pdf

1 página

He publicado nuevos ejercicios de 1º Cálculo I: derivadas-parciales.pdf

4 páginas
Anónimo

@Anónimo

He publicado nuevos apuntes de 1º Cálculo I: Liova-Perez-integrales-.pdf

2 páginas
Anónimo

@Anónimo

He publicado nuevos apuntes de 1º Cálculo I: 1.docx

word

apuntes

-

Integral definida

He publicado nuevos apuntes de 1º Cálculo I: Integral definida

Integrales indefinidas (parte 3).pdf
Integrales indefinidas.pdf

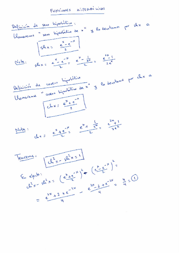
He publicado nuevos apuntes de 1º Cálculo I: Funciones Hiperbólicas.pdf

7 páginas

He publicado nuevos apuntes de 1º Cálculo I: Macrorresumen Cálculo.pdf

62 páginas
¡Estás al día!

¡Estás al día!

Has visto todos los archivos