chevron_left
chevron_right
Todo
Apuntes
Ejercicios
chevron_left
chevron_right

He publicado nuevos apuntes de 1º Cálculo I: MULTIPLE-INTEGRALS.pdf

6 páginas

He publicado nuevos apuntes de 1º Cálculo I: APUNTES-INDUCCION.pdf

1 página

He publicado nuevos apuntes de 1º Cálculo I: RESUMEN-DE-CALCULO.pdf

13 páginas

ejercicios

-

EJER LIMITES + SOLUCIONES

He publicado nuevos ejercicios de 1º Cálculo I: EJER LIMITES + SOLUCIONES

EJERCICIOS-DE-LIMITES-SOLUCIONES.pdf
EJERCICIOS-DE-LIMITES.pdf

apuntes

-

Cálculo

He publicado nuevos apuntes de 1º Cálculo I: Cálculo

Examenes-Calculo-1part1.pdf
Examenes-Calculo-1part2.pdf
Transformadas-de-laplace.pdf
Parametrizacion-de-curvas.pdf
integracion.pdf
Apuntes-Calculo-I.pdf

He publicado nuevos apuntes de 1º Cálculo I: APUNTES-CALCULO-I-1.pdf

14 páginas

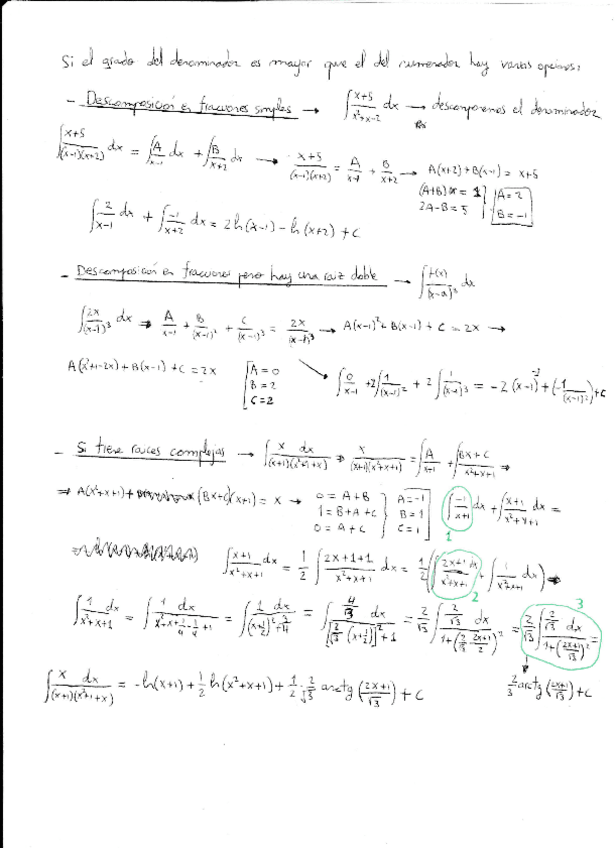
He publicado nuevos apuntes de 1º Cálculo I: ResoluciónIntegral.pdf

4 páginas
¡Estás al día!

¡Estás al día!

Has visto todos los archivos